SPNS240A October   2014  – June 2015

PRODUCTION DATA.  

  1. 1Device Overview
    1. 1.1 Features
    2. 1.2 Applications
    3. 1.3 Description
    4. 1.4 Functional Block Diagram
  2. 2Revision History
  3. 3Device Comparison
  4. 4Terminal Configuration and Functions
    1. 4.1 PZ QFP Package Pinout (100-Pin)
    2. 4.2 Terminal Functions
      1. 4.2.1  High-End Timer (N2HET)
      2. 4.2.2  Enhanced Quadrature Encoder Pulse Modules (eQEP)
      3. 4.2.3  General-Purpose Input/Output (GPIO)
      4. 4.2.4  Controller Area Network Interface Modules (DCAN1, DCAN2)
      5. 4.2.5  Multibuffered Serial Peripheral Interface (MibSPI1)
      6. 4.2.6  Standard Serial Peripheral Interface (SPI2)
      7. 4.2.7  Local Interconnect Network Controller (LIN)
      8. 4.2.8  Multibuffered Analog-to-Digital Converter (MibADC)
      9. 4.2.9  System Module
      10. 4.2.10 Error Signaling Module (ESM)
      11. 4.2.11 Main Oscillator
      12. 4.2.12 Test/Debug Interface
      13. 4.2.13 Flash
      14. 4.2.14 Core Supply
      15. 4.2.15 I/O Supply
      16. 4.2.16 Core and I/O Supply Ground Reference
    3. 4.3 Output Multiplexing and Control
      1. 4.3.1 Notes on Output Multiplexing
      2. 4.3.2 General Rules for Multiplexing Control Registers
    4. 4.4 Special Multiplexed Options
      1. 4.4.1 Filtering for eQEP Inputs
        1. 4.4.1.1 eQEPA Input
        2. 4.4.1.2 eQEPB Input
        3. 4.4.1.3 eQEPI Input
        4. 4.4.1.4 eQEPS Input
      2. 4.4.2 N2HET PIN_nDISABLE Input Port
  5. 5Specifications
    1. 5.1  Absolute Maximum Ratings
    2. 5.2  ESD Ratings
    3. 5.3  Power-On Hours (POH)
    4. 5.4  Recommended Operating Conditions
    5. 5.5  Switching Characteristics Over Recommended Operating Conditions for Clock Domains
    6. 5.6  Wait States Required
    7. 5.7  Power Consumption
    8. 5.8  Thermal Resistance Characteristics for PZ
    9. 5.9  Input/Output Electrical Characteristics
    10. 5.10 Output Buffer Drive Strengths
    11. 5.11 Input Timings
    12. 5.12 Output Timings
  6. 6System Information and Electrical Specifications
    1. 6.1  Voltage Monitor Characteristics
      1. 6.1.1 Important Considerations
      2. 6.1.2 Voltage Monitor Operation
      3. 6.1.3 Supply Filtering
    2. 6.2  Power Sequencing and Power-On Reset
      1. 6.2.1 Power-Up Sequence
      2. 6.2.2 Power-Down Sequence
      3. 6.2.3 Power-On Reset: nPORRST
        1. 6.2.3.1 nPORRST Electrical and Timing Requirements
    3. 6.3  Warm Reset (nRST)
      1. 6.3.1 Causes of Warm Reset
      2. 6.3.2 nRST Timing Requirements
    4. 6.4  ARM Cortex-R4 CPU Information
      1. 6.4.1 Summary of ARM Cortex-R4 CPU Features
      2. 6.4.2 ARM Cortex-R4 CPU Features Enabled by Software
      3. 6.4.3 Dual Core Implementation
      4. 6.4.4 Duplicate clock tree after GCLK
      5. 6.4.5 ARM Cortex-R4 CPU Compare Module (CCM) for Safety
      6. 6.4.6 CPU Self-Test
        1. 6.4.6.1 Application Sequence for CPU Self-Test
        2. 6.4.6.2 CPU Self-Test Clock Configuration
        3. 6.4.6.3 CPU Self-Test Coverage
    5. 6.5  Clocks
      1. 6.5.1 Clock Sources
        1. 6.5.1.1 Main Oscillator
          1. 6.5.1.1.1 Timing Requirements for Main Oscillator
        2. 6.5.1.2 Low-Power Oscillator
          1. 6.5.1.2.1 Features
          2. 6.5.1.2.2 LPO Electrical and Timing Specifications
        3. 6.5.1.3 Phase Locked Loop (PLL) Clock Modules
          1. 6.5.1.3.1 Block Diagram
          2. 6.5.1.3.2 PLL Timing Specifications
      2. 6.5.2 Clock Domains
        1. 6.5.2.1 Clock Domain Descriptions
        2. 6.5.2.2 Mapping of Clock Domains to Device Modules
      3. 6.5.3 Clock Test Mode
    6. 6.6  Clock Monitoring
      1. 6.6.1 Clock Monitor Timings
      2. 6.6.2 External Clock (ECLK) Output Functionality
      3. 6.6.3 Dual Clock Comparator
        1. 6.6.3.1 Features
        2. 6.6.3.2 Mapping of DCC Clock Source Inputs
    7. 6.7  Glitch Filters
    8. 6.8  Device Memory Map
      1. 6.8.1 Memory Map Diagram
      2. 6.8.2 Memory Map Table
      3. 6.8.3 Master/Slave Access Privileges
    9. 6.9  Flash Memory
      1. 6.9.1 Flash Memory Configuration
      2. 6.9.2 Main Features of Flash Module
      3. 6.9.3 ECC Protection for Flash Accesses
      4. 6.9.4 Flash Access Speeds
    10. 6.10 Flash Program and Erase Timings for Program Flash
    11. 6.11 Flash Program and Erase Timings for Data Flash
    12. 6.12 Tightly Coupled RAM Interface Module
      1. 6.12.1 Features
      2. 6.12.2 TCRAMW ECC Support
    13. 6.13 Parity Protection for Accesses to peripheral RAMs
    14. 6.14 On-Chip SRAM Initialization and Testing
      1. 6.14.1 On-Chip SRAM Self-Test Using PBIST
        1. 6.14.1.1 Features
        2. 6.14.1.2 PBIST RAM Groups
      2. 6.14.2 On-Chip SRAM Auto Initialization
    15. 6.15 Vectored Interrupt Manager
      1. 6.15.1 VIM Features
      2. 6.15.2 Interrupt Request Assignments
    16. 6.16 Real-Time Interrupt Module
      1. 6.16.1 Features
      2. 6.16.2 Block Diagrams
      3. 6.16.3 Clock Source Options
    17. 6.17 Error Signaling Module
      1. 6.17.1 Features
      2. 6.17.2 ESM Channel Assignments
    18. 6.18 Reset / Abort / Error Sources
    19. 6.19 Digital Windowed Watchdog
    20. 6.20 Debug Subsystem
      1. 6.20.1 Block Diagram
      2. 6.20.2 Debug Components Memory Map
      3. 6.20.3 JTAG Identification Code
      4. 6.20.4 Debug ROM
      5. 6.20.5 JTAG Scan Interface Timings
      6. 6.20.6 Advanced JTAG Security Module
      7. 6.20.7 Boundary Scan Chain
  7. 7Peripheral Information and Electrical Specifications
    1. 7.1 Peripheral Legend
    2. 7.2 Multibuffered 12-Bit Analog-to-Digital Converter
      1. 7.2.1 Features
      2. 7.2.2 Event Trigger Options
        1. 7.2.2.1 MIBADC Event Trigger Hookup
      3. 7.2.3 ADC Electrical and Timing Specifications
      4. 7.2.4 Performance (Accuracy) Specifications
        1. 7.2.4.1 MibADC Nonlinearity Errors
        2. 7.2.4.2 MibADC Total Error
    3. 7.3 General-Purpose Input/Output
      1. 7.3.1 Features
    4. 7.4 Enhanced High-End Timer (N2HET)
      1. 7.4.1 Features
      2. 7.4.2 N2HET RAM Organization
      3. 7.4.3 Input Timing Specifications
      4. 7.4.4 N2HET Checking
        1. 7.4.4.1 Output Monitoring using Dual Clock Comparator (DCC)
      5. 7.4.5 Disabling N2HET Outputs
      6. 7.4.6 High-End Timer Transfer Unit (N2HET)
        1. 7.4.6.1 Features
        2. 7.4.6.2 Trigger Connections
    5. 7.5 Controller Area Network (DCAN)
      1. 7.5.1 Features
      2. 7.5.2 Electrical and Timing Specifications
    6. 7.6 Local Interconnect Network Interface (LIN)
      1. 7.6.1 LIN Features
    7. 7.7 Multibuffered / Standard Serial Peripheral Interface
      1. 7.7.1 Features
      2. 7.7.2 MibSPI Transmit and Receive RAM Organization
      3. 7.7.3 MibSPI Transmit Trigger Events
        1. 7.7.3.1 MIBSPI1 Event Trigger Hookup
      4. 7.7.4 MibSPI/SPI Master Mode I/O Timing Specifications
      5. 7.7.5 SPI Slave Mode I/O Timings
    8. 7.8 Enhanced Quadrature Encoder (eQEP)
      1. 7.8.1 Clock Enable Control for eQEPx Modules
      2. 7.8.2 Using eQEPx Phase Error
      3. 7.8.3 Input Connections to eQEPx Modules
      4. 7.8.4 Enhanced Quadrature Encoder Pulse (eQEPx) Timing
  8. 8Device and Documentation Support
    1. 8.1 Device Support
      1. 8.1.1 Development Support
        1. 8.1.1.1 Getting Started
      2. 8.1.2 Device Nomenclature
    2. 8.2 Documentation Support
      1. 8.2.1 Related Documentation from Texas Instruments
    3. 8.3 Community Resources
    4. 8.4 Trademarks
    5. 8.5 Electrostatic Discharge Caution
    6. 8.6 Glossary
    7. 8.7 Device Identification Code Register
    8. 8.8 Die Identification Registers
    9. 8.9 Module Certifications
      1. 8.9.1 DCAN Certification
      2. 8.9.2 LIN Certifications
        1. 8.9.2.1 LIN Master Mode
        2. 8.9.2.2 LIN Slave Mode - Fixed Baud Rate
        3. 8.9.2.3 LIN Slave Mode - Adaptive Baud Rate
  9. 9Mechanical Packaging and Orderable Addendum
    1. 9.1 Packaging Information

7 Peripheral Information and Electrical Specifications

7.1 Peripheral Legend

Table 7-1 Peripheral Legend

ABBREVIATION FULL NAME
MibADC Multibuffered Analog-to-Digital Converter
CCM-R4 CPU Compare Module – Cortex-R4
CRC Cyclic Redundancy Check
DCAN Controller Area Network
DCC Dual Clock Comparator
ESM Error Signaling Module
GIO General-Purpose Input/Output
HTU High-End Timer Transfer Unit
LIN Local Interconnect Network
MibSPI Multibuffered Serial Peripheral Interface
N2HET Platform High-End Timer
RTI Real-Time Interrupt Module
SCI Serial Communications Interface
SPI Serial Peripheral Interface
VIM Vectored Interrupt Manager

7.2 Multibuffered 12-Bit Analog-to-Digital Converter

The multibuffered A-to-D converter (MibADC) has a separate power bus for its analog circuitry that enhances the A-to-D performance by preventing digital switching noise on the logic circuitry which could be present on VSS and VCC from coupling into the A-to-D analog stage. All A-to-D specifications are given with respect to ADREFLO unless otherwise noted.

Table 7-2 MibADC Overview

DESCRIPTION VALUE
Resolution 12 bits
Monotonic Assured
Output conversion code 00h to FFFh [00 for VAI ≤ ADREFLO; FFF for VAI ≥ ADREFHI]

7.2.1 Features

  • 12-bit resolution
  • ADREFHI and ADREFLO pins (high and low reference voltages)
  • Total Sample/Hold/Convert time: 600 ns Typical Minimum at 30 MHz ADCLK
  • One memory region per conversion group is available (event, group 1, group 2)
  • Allocation of channels to conversion groups is completely programmable
  • Memory regions are serviced by interrupt
  • Programmable interrupt threshold counter is available for each group
  • Programmable magnitude threshold interrupt for each group for any one channel
  • Option to read either 8-, or 10-, or 12-bit values from memory regions
  • Single or continuous conversion modes
  • Embedded self-test
  • Embedded calibration logic
  • Enhanced power-down mode
    • Optional feature to automatically power down ADC core when no conversion is in progress
  • External event pin (ADEVT) programmable as general-purpose I/O

7.2.2 Event Trigger Options

The ADC module supports three conversion groups: Event Group, Group1, and Group2. Each of these three groups can be configured to be hardware event-triggered. In that case, the application can select from among eight event sources to be the trigger for the conversions of a group.

7.2.2.1 MIBADC Event Trigger Hookup

Table 7-3 MIBADC Event Trigger Hookup

EVENT NUMBER SOURCE SELECT BITS
For G1, G2, or EVENT
(G1SRC[2:0], G2SRC[2:0], or EVSRC[2:0])
TRIGGER
1 000 ADEVT
2 001 N2HET[8]
3 010 N2HET[10]
4 011 RTI compare 0 interrupt
5 100 N2HET[12]
6 101 N2HET[14]
7 110 N2HET[17]
8 111 N2HET[19]

NOTE

For ADEVT, N2HET trigger sources, the connection to the MibADC module trigger input is made from the output side of the input buffer. This way, a trigger condition can be generated either by configuring the function as output onto the pad, or by driving the function from an external trigger source as input. If the mux controller module is used to select different functionality instead of ADEVT or N2HET[x], care must be taken to disable these signals from triggering conversions; there is no multiplexing on input connections.

NOTE

For the RTI compare 0 interrupt source, the connection is made directly from the output of the RTI module. That is, the interrupt condition can be used as a trigger source even if the actual interrupt is not signaled to the CPU.

7.2.3 ADC Electrical and Timing Specifications

Table 7-4 MibADC Recommended Operating Conditions

PARAMETER MIN MAX UNIT
ADREFHI A-to-D high-voltage reference source ADREFLO VCCAD V
ADREFLO A-to-D low-voltage reference source VSSAD ADREFHI V
VAI Analog input voltage ADREFLO ADREFHI V
IAIC Analog input clamp current
(VAI < VSSAD – 0.3 or VAI > VCCAD + 0.3)
–2 2 mA

Table 7-5 MibADC Electrical Characteristics Over Full Ranges of Recommended Operating Conditions(1)

PARAMETER DESCRIPTION/CONDITIONS MIN TYP MAX UNIT
Rmux Analog input mux on-resistance See Figure 7-1 95 250 Ω
Rsamp ADC sample switch on-resistance See Figure 7-1 60 250 Ω
Cmux Input mux capacitance See Figure 7-1 7 16 pF
Csamp ADC sample capacitance See Figure 7-1 8 13 pF
IAIL Analog off-state input leakage current VCCAD = 3.6 V MAX VSSAD < VIN < VSSAD + 100 mV –300 –1 200 nA
VSSAD + 100 mV < VIN < VCCAD - 200 mV –200 –0.3 200
VCCAD - 200 mV < VIN < VCCAD –200 1 500
IAOSB Analog on-state input bias VCCAD = 3.6 V MAX VSSAD < VIN < VSSAD + 100 mV –8 2 µA
VSSAD + 100 mV < VIN < VCCAD - 200 mV –4 2
VCCAD - 200 mV < VIN < VCCAD –4 12
IADREFHI ADREFHI input current ADREFHI = VCCAD, ADREFLO = VSSAD 3 mA
ICCAD Static supply current Normal operating mode  (2) mA
ADC core in power-down mode 5 µA
(1) 1 LSB = (ADREFHI – ADREFLO)/ 2n where n = 10 in 10-bit mode and 12 in 12-bit mode
(2) See Section 5.7.
RM41L232 mibadc_circuit_spns186.gifFigure 7-1 MibADC Input Equivalent Circuit

Table 7-6 MibADC Timing Specifications

PARAMETER MIN NOM MAX UNIT
tc(ADCLK)(2) Cycle time, MibADC clock 33 ns
td(SH)(3) Delay time, sample and hold time 200 ns
td(PU-ADV) Delay time from ADC power on until first input can be sampled 1 µs
12-BIT MODE
td(C) Delay time, conversion time 400 ns
td(SHC)(1) Delay time, total sample/hold and conversion time 600 ns
10-BIT MODE
td(C) Delay time, conversion time 330 ns
td(SHC)(1) Delay time, total sample/hold and conversion time 530 ns
(1) This is the minimum sample/hold and conversion time that can be achieved. These parameters are dependent on many factors for example, the prescale settings.
(2) The MibADC clock is the ADCLK, generated by dividing down the VCLK by a prescale factor defined by the ADCLOCKCR register bits 4:0.
(3) The sample and hold time for the ADC conversions is defined by the ADCLK frequency and the AD<GP>SAMP register for each conversion group. The sample time must be determined by accounting for the external impedance connected to the input channel as well as the internal impedance of the ADC.

Table 7-7 MibADC Operating Characteristics Over Full Ranges of Recommended Operating Conditions

PARAMETER DESCRIPTION/CONDITIONS MIN TYP MAX UNIT
CR Conversion range over which specified accuracy is maintained ADREFHI - ADREFLO 3 3.6 V
ZSET Offset Error Difference between the first ideal transition (from code 000h to 001h) and the actual transition 10-bit mode With ADC Calibration 1 LSB(1)
Without ADC Calibration 2
12-bit mode With ADC Calibration 2
Without ADC Calibration 4
FSET Gain Error Difference between the last ideal transition (from code FFEh to FFFh) and the actual transition minus offset. 10-bit mode 2 LSB
12-bit mode 3
EDNL Differential nonlinearity error Difference between the actual step width and the ideal value.
(See Figure 7-2)
10-bit mode ± 1.5 LSB
12-bit mode ± 2
EINL Integral nonlinearity error Maximum deviation from the best straight line through the MibADC. MibADC transfer characteristics, excluding the quantization error.
(See Figure 7-3)
10-bit mode ± 2 LSB
12-bit mode ± 2
ETOT Total unadjusted error Maximum value of the difference between an analog value and the ideal midstep value. (See Figure 7-4) 10-bit mode With ADC Calibration ± 2 LSB
Without ADC Calibration ± 4
12-bit mode With ADC Calibration ± 4
Without ADC Calibration ± 7
(1) 1 LSB = (ADREFHI – ADREFLO)/ 2n where n = 10 in 10-bit mode and 12 in 12-bit mode

7.2.4 Performance (Accuracy) Specifications

7.2.4.1 MibADC Nonlinearity Errors

The differential nonlinearity error shown in Figure 7-2 (sometimes referred to as differential linearity) is the difference between an actual step width and the ideal value of 1 LSB.

RM41L232 dnl_error_12bit_spns187.gifFigure 7-2 Differential Nonlinearity (DNL) Error

The integral nonlinearity error shown in Figure 7-3 (sometimes referred to as linearity error) is the deviation of the values on the actual transfer function from a straight line.

RM41L232 inl_error_12bit_spns186.gifFigure 7-3 Integral Nonlinearity (INL) Error

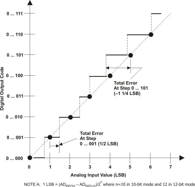
7.2.4.2 MibADC Total Error

The absolute accuracy or total error of an MibADC as shown in Figure 7-4 is the maximum value of the difference between an analog value and the ideal midstep value.

RM41L232 total_error_12bit_spns186.gifFigure 7-4 Absolute Accuracy (Total) Error

7.3 General-Purpose Input/Output

The GPIO module on this device supports one port GIOA. The I/O pins are bidirectional and bit-programmable. GIOA supports external interrupt capability.

7.3.1 Features

The GPIO module has the following features:

  • Each I/O pin can be configured as:
    • Input
    • Output
    • Open Drain
  • The interrupts have the following characteristics:
    • Programmable interrupt detection either on both edges or on a single edge (set in GIOINTDET)
    • Programmable edge-detection polarity, either rising or falling edge (set in GIOPOL register)
    • Individual interrupt flags (set in GIOFLG register)
    • Individual interrupt enables, set and cleared through GIOENASET and GIOENACLR registers respectively
    • Programmable interrupt priority, set through GIOLVLSET and GIOLVLCLR registers
  • Internal pullup/pulldown allows unused I/O pins to be left unconnected

For information on input and output timings see Section 5.11 and Section 5.12

7.4 Enhanced High-End Timer (N2HET)

The N2HET is an advanced intelligent timer that provides sophisticated timing functions for real-time applications. The timer is software-controlled, using a reduced instruction set, with a specialized timer micromachine and an attached I/O port. The N2HET can be used for pulse width modulated outputs, capture or compare inputs, or general-purpose I/O.. It is especially well suited for applications requiring multiple sensor information and drive actuators with complex and accurate time pulses.

7.4.1 Features

The N2HET module has the following features:

  • Programmable timer for input and output timing functions
  • Reduced instruction set (30 instructions) for dedicated time and angle functions
  • 128 words of instruction RAM protected by parity
  • User defined number of 25-bit virtual counters for timer, event counters and angle counters
  • 7-bit hardware counters for each pin allow up to 32-bit resolution in conjunction with the 25-bit virtual counters
  • Up to 19 pins usable for input signal measurements or output signal generation
  • Programmable suppression filter for each input pin with adjustable limiting frequency
  • Low CPU overhead and interrupt load
  • Efficient data transfer to or from the CPU memory with dedicated High-End-Timer Transfer Unit (HTU)
  • Diagnostic capabilities with different loopback mechanisms and pin status readback functionality

7.4.2 N2HET RAM Organization

The timer RAM uses 4 RAM banks, where each bank has two port access capability. This means that one RAM address may be written while another address is read. The RAM words are 96-bits wide, which are split into three 32-bit fields (program, control, and data).

7.4.3 Input Timing Specifications

The N2HET instructions PCNT and WCAP impose some timing constraints on the input signals.

RM41L232 nhet_input_timings_pns160.gifFigure 7-5 N2HET Input Capture Timings

Table 7-8 Dynamic Characteristics for the N2HET Input Capture Functionality

PARAMETER MIN(1)(2) MAX(1)(2) UNIT
1 Input signal period, PCNT or WCAP for rising edge to rising edge (hr)(lr) tc(VCLK2) + 2 225(hr)(lr)tc(VCLK2) - 2 ns
2 Input signal period, PCNT or WCAP for falling edge to falling edge (hr) (lr) tc(VCLK2) + 2 225 (hr)(lr) tc(VCLK2) - 2 ns
3 Input signal high phase, PCNT or WCAP for rising edge to falling edge 2(hr) tc(VCLK2) + 2 225 (hr)(lr) tc(VCLK2) - 2 ns
4 Input signal low phase, PCNT or WCAP for falling edge to rising edge 2(hr) tc(VCLK2) + 2 225 (hr)(lr) tc(VCLK2) - 2 ns
(1) hr = High-resolution prescaler, configured using the HRPFC field of the Prescale Factor Register (HETPFR).
(2) lr = Loop-resolution prescaler, configured using the LFPRC field of the Prescale Factor Register (HETPFR).

7.4.4 N2HET Checking

7.4.4.1 Output Monitoring using Dual Clock Comparator (DCC)

N2HET[31] is connected as a clock source for counter 1 in DCC1. This allows the application to measure the frequency of the pulse-width modulated (PWM) signal on N2HET[31].

N2HET[31] can be configured to be an internal-only channel. That is, the connection to the DCC module is made directly from the output of the N2HET module (from the input of the output buffer).

For more information on DCC, see Section 6.6.3.

7.4.5 Disabling N2HET Outputs

Some applications require the N2HET outputs to be disabled under some fault condition. The N2HET module provides this capability through the "Pin Disable" input signal. This signal, when driven low, causes the N2HET outputs identified by a programmable register (HETPINDIS) to be tri-stated.

For more details on the "N2HET Pin Disable" feature, see the device-specific Technical Reference Manual listed in Section 8.2.1.

GIOA[5] and EQEPERR are connected to the "Pin Disable" input for N2HET. In the case of GIOA[5] connection, this connection is made from the output of the input buffer. In the case of EQEPERR, the EQEPERR output signal is asserted in the event of a phase error. This signal is inverted and double-synchronized to VCLK2 for input into the N2HET PIN_nDISABLE port.

The PIN_nDISABLE port input source is selectable between the GIOA[5] and EQEPERR sources. This is achieved through the PINMMR9[1:0] bits.

7.4.6 High-End Timer Transfer Unit (N2HET)

A High-End Timer Transfer Unit (N2HET) can perform DMA type transactions to transfer N2HET data to or from main memory. A Memory Protection Unit (MPU) is built into the N2HET.

7.4.6.1 Features

  • CPU independent
  • Master Port to access system memory
  • 8 control packets supporting dual buffer configuration
  • Control packet information is stored in RAM protected by parity
  • Event synchronization (N2HET transfer requests)
  • Supports 32- or 64-bit transactions
  • Addressing modes for N2HET address (8 byte or 16 byte) and system memory address (fixed, 32-bit or 64-bit)
  • One shot, circular, and auto switch buffer transfer modes
  • Request lost detection

7.4.6.2 Trigger Connections

Table 7-9 N2HET Request Line Connection

MODULES REQUEST SOURCE HTU REQUEST
N2HET HTUREQ[0] HTU DCP[0]
N2HET HTUREQ[1] HTU DCP[1]
N2HET HTUREQ[2] HTU DCP[2]
N2HET HTUREQ[3] HTU DCP[3]
N2HET HTUREQ[4] HTU DCP[4]
N2HET HTUREQ[5] HTU DCP[5]
N2HET HTUREQ[6] HTU DCP[6]
N2HET HTUREQ[7] HTU DCP[7]

7.5 Controller Area Network (DCAN)

The DCAN supports the CAN 2.0B protocol standard and uses a serial, multimaster communication protocol that efficiently supports distributed real-time control with robust communication rates of up to 1 Mbps. The DCAN is ideal for applications operating in noisy and harsh environments (for example, automotive and industrial fields) that require reliable serial communication or multiplexed wiring.

7.5.1 Features

Features of the DCAN module include:

  • Supports CAN protocol version 2.0 part A, B
  • Bit rates up to 1 Mbps
  • The CAN kernel can be clocked by the oscillator for baud-rate generation.
  • 32 and 16 mailboxes on DCAN1 and DCAN2, respectively
  • Individual identifier mask for each message object
  • Programmable FIFO mode for message objects
  • Programmable loop-back modes for self-test operation
  • Automatic bus on after Bus-Off state by a programmable 32-bit timer
  • Message RAM protected by parity
  • Direct access to Message RAM during test mode
  • CAN RX / TX pins configurable as general-purpose I/O pins
  • Message RAM Auto Initialization

For more information on the DCAN, see the device-specific Technical Reference Manual listed in Section 8.2.1.

7.5.2 Electrical and Timing Specifications

Table 7-10 Dynamic Characteristics for the DCANx TX and RX pins

PARAMETER MIN MAX UNIT
td(CANnTX) Delay time, transmit shift register to CANnTX pin(1) 15 ns
td(CANnRX) Delay time, CANnRX pin to receive shift register 5 ns
(1) These values do not include rise/fall times of the output buffer.

7.6 Local Interconnect Network Interface (LIN)

The SCI/LIN module can be programmed to work either as an SCI or as a LIN. The core of the module is an SCI. The SCI’s hardware features are augmented to achieve LIN compatibility.

The SCI module is a universal asynchronous receiver-transmitter that implements the standard nonreturn to zero format. The SCI can be used to communicate, for example, through an RS-232 port or over a K-line.

The LIN standard is based on the SCI (UART) serial data link format. The communication concept is single-master/multiple-slave with a message identification for multicast transmission between any network nodes.

7.6.1 LIN Features

The following are features of the LIN module:

  • Compatible to LIN 1.3, 2.0 and 2.1 protocols
  • Multibuffered receive and transmit units
  • Identification masks for message filtering
  • Automatic Master Header Generation
    • Programmable Synch Break Field
    • Synch Field
    • Identifier Field
  • Slave Automatic Synchronization
    • Synch break detection
    • Optional baudrate update
    • Synchronization Validation
  • 231 programmable transmission rates with 7 fractional bits
  • Error detection
  • 2 Interrupt lines with priority encoding

7.7 Multibuffered / Standard Serial Peripheral Interface

The MibSPI is a high-speed synchronous serial input/output port that allows a serial bit stream of programmed length (2 to 16 bits) to be shifted in and out of the device at a programmed bit-transfer rate. Typical applications for the SPI include interfacing to external peripherals, such as I/Os, memories, display drivers, and ADCs.

7.7.1 Features

Both Standard and MibSPI modules have the following features:

  • 16-bit shift register
  • Receive buffer register
  • 11-bit baud clock generator
  • SPICLK can be internally generated (master mode) or received from an external clock source (slave mode)
  • Each word transferred can have a unique format
  • SPI I/Os not used in the communication can be used as digital input/output signals

Table 7-11 MibSPI/SPI Default Configurations

MibSPIx/SPIx I/Os
MibSPI1 MIBSPI1SIMO[0], MIBSPI1SOMI[0], MIBSPI1CLK, MIBSPI1nCS[3:0], MIBSPI1nENA
SPI2 SPI2SIMO, SPI2SOMI, SPI2CLK, SPI2nCS[0]
SPI3 SPI3SIMO, SPI3SOMI, SPI3CLK, SPI3nENA, SPI3nCS[0]

7.7.2 MibSPI Transmit and Receive RAM Organization

The Multibuffer RAM is comprised of 128 buffers. Each entry in the Multibuffer RAM consists of four parts: a 16-bit transmit field, a 16-bit receive field, a 16-bit control field, and a 16-bit status field. The Multibuffer RAM can be partitioned into multiple transfer group with variable number of buffers each.

7.7.3 MibSPI Transmit Trigger Events

Each of the transfer groups can be configured individually. For each of the transfer groups a trigger event and a trigger source can be chosen. A trigger event can be, for example, a rising edge or a permanent low level at a selectable trigger source. Up to 15 trigger sources are available which can be used by each transfer group. These trigger options are listed in Table 7-12.

7.7.3.1 MIBSPI1 Event Trigger Hookup

Table 7-12 MIBSPI1 Event Trigger Hookup

EVENT NO. TGxCTRL TRIGSRC[3:0] TRIGGER
Disabled 0000 No trigger source
EVENT0 0001 GIOA[0]
EVENT1 0010 GIOA[1]
EVENT2 0011 GIOA[2]
EVENT3 0100 GIOA[3]
EVENT4 0101 GIOA[4]
EVENT5 0110 GIOA[5]
EVENT6 0111 GIOA[6]
EVENT7 1000 GIOA[7]
EVENT8 1001 N2HET[8]
EVENT9 1010 N2HET[10]
EVENT10 1011 N2HET[12]
EVENT11 1100 N2HET[14]
EVENT12 1101 N2HET[16]
EVENT13 1110 N2HET[18]
EVENT14 1111 Internal Tick counter

NOTE

For N2HET trigger sources, the connection to the MibSPI1 module trigger input is made from the input side of the output buffer (at the N2HET module boundary). This way, a trigger condition can be generated even if the N2HET signal is not selected to be output on the pad.

NOTE

For GIOx trigger sources, the connection to the MibSPI1 module trigger input is made from the output side of the input buffer. This way, a trigger condition can be generated either by selecting the GIOx pin as an output pin, or by driving the GIOx pin from an external trigger source.

7.7.4 MibSPI/SPI Master Mode I/O Timing Specifications

Table 7-13 SPI Master Mode External Timing Parameters (CLOCK PHASE = 0, SPICLK = output, SPISIMO = output, and SPISOMI = input)(1)(2)(3)

NO. PARAMETER MIN MAX UNIT
1 tc(SPC)M Cycle time, SPICLK(4) 40 256tc(VCLK) ns
2(5) tw(SPCH)M Pulse duration, SPICLK high (clock polarity = 0) 0.5tc(SPC)M – tr(SPC)M – 3 0.5tc(SPC)M + 3 ns
tw(SPCL)M Pulse duration, SPICLK low (clock polarity = 1) 0.5tc(SPC)M – tf(SPC)M – 3 0.5tc(SPC)M + 3
3(5) tw(SPCL)M Pulse duration, SPICLK low (clock polarity = 0) 0.5tc(SPC)M – tf(SPC)M – 3 0.5tc(SPC)M + 3 ns
tw(SPCH)M Pulse duration, SPICLK high (clock polarity = 1) 0.5tc(SPC)M – tr(SPC)M – 3 0.5tc(SPC)M + 3
4(5) td(SPCH-SIMO)M Delay time, SPISIMO valid before SPICLK low (clock polarity = 0) 0.5tc(SPC)M – 6 ns
td(SPCL-SIMO)M Delay time, SPISIMO valid before SPICLK high (clock polarity = 1) 0.5tc(SPC)M – 6
5(5) tv(SPCL-SIMO)M Valid time, SPISIMO data valid after SPICLK low (clock polarity = 0) 0.5tc(SPC)M – tf(SPC) – 4 ns
tv(SPCH-SIMO)M Valid time, SPISIMO data valid after SPICLK high (clock polarity = 1) 0.5tc(SPC)M – tr(SPC) – 4
6(5) tsu(SOMI-SPCL)M Setup time, SPISOMI before SPICLK low (clock polarity = 0) tf(SPC) + 2.2 ns
tsu(SOMI-SPCH)M Setup time, SPISOMI before SPICLK high (clock polarity = 1) tr(SPC) + 2.2
7(5) th(SPCL-SOMI)M Hold time, SPISOMI data valid after SPICLK low (clock polarity = 0) 10 ns
th(SPCH-SOMI)M Hold time, SPISOMI data valid after SPICLK high (clock polarity = 1) 10
8(6) tC2TDELAY Setup time CS active until SPICLK high (clock polarity = 0) CSHOLD = 0 C2TDELAY*tc(VCLK) + 2*tc(VCLK) - tf(SPICS) + tr(SPC) – 7 (C2TDELAY+2) * tc(VCLK) - tf(SPICS) + tr(SPC) + 5.5 ns
CSHOLD = 1 C2TDELAY*tc(VCLK) + 3*tc(VCLK) - tf(SPICS) + tr(SPC) – 7 (C2TDELAY+3) * tc(VCLK) - tf(SPICS) + tr(SPC) + 5.5
Setup time CS active until SPICLK low (clock polarity = 1) CSHOLD = 0 C2TDELAY*tc(VCLK) + 2*tc(VCLK) - tf(SPICS) + tf(SPC) – 7 (C2TDELAY+2) * tc(VCLK) - tf(SPICS) + tf(SPC) + 5.5 ns
CSHOLD = 1 C2TDELAY*tc(VCLK) + 3*tc(VCLK) - tf(SPICS) + tf(SPC) – 7 (C2TDELAY+3) * tc(VCLK) - tf(SPICS) + tf(SPC) + 5.5
9(6) tT2CDELAY Hold time SPICLK low until CS inactive (clock polarity = 0) 0.5*tc(SPC)M + T2CDELAY*tc(VCLK) + tc(VCLK) - tf(SPC) + tr(SPICS) - 7 0.5*tc(SPC)M + T2CDELAY*tc(VCLK) + tc(VCLK) - tf(SPC) + tr(SPICS) + 11 ns
Hold time SPICLK high until CS inactive (clock polarity = 1) 0.5*tc(SPC)M + T2CDELAY*tc(VCLK) + tc(VCLK) - tr(SPC) + tr(SPICS) - 7 0.5*tc(SPC)M + T2CDELAY*tc(VCLK) + tc(VCLK) - tr(SPC) + tr(SPICS) + 11 ns
10 tSPIENA SPIENAn Sample point (C2TDELAY+1) * tc(VCLK) - tf(SPICS) – 29 (C2TDELAY+1)*tc(VCLK) ns
11 tSPIENAW SPIENAn Sample point from write to buffer (C2TDELAY+2)*tc(VCLK) ns
(1) The MASTER bit (SPIGCR1.0) is set and the CLOCK PHASE bit (SPIFMTx.16) is cleared.
(2) tc(VCLK) = interface clock cycle time = 1 / f(VCLK)
(3) For rise and fall timings, see Table 5-6.
(4) When the SPI is in Master mode, the following must be true:
For PS values from 1 to 255: tc(SPC)M ≥ (PS +1)tc(VCLK) ≥ 40 ns, where PS is the prescale value set in the SPIFMTx.[15:8] register bits.
For PS values of 0: tc(SPC)M = 2tc(VCLK) ≥ 40 ns.
The external load on the SPICLK pin must be less than 60 pF.
(5) The active edge of the SPICLK signal referenced is controlled by the CLOCK POLARITY bit (SPIFMTx.17).
(6) C2TDELAY and T2CDELAY is programmed in the SPIDELAY register
RM41L232 master_mode_external_timing_phase0_pns160.gifFigure 7-6 SPI Master Mode External Timing (CLOCK PHASE = 0)
RM41L232 master_mode_chip_select_phase0_pns160.gifFigure 7-7 SPI Master Mode Chip Select Timing (CLOCK PHASE = 0)

Table 7-14 SPI Master Mode External Timing Parameters (CLOCK PHASE = 1, SPICLK = output, SPISIMO = output, and SPISOMI = input)(1)(2)(3)

NO. PARAMETER MIN MAX UNIT
1 tc(SPC)M Cycle time, SPICLK (4) 40 256tc(VCLK) ns
2(5) tw(SPCH)M Pulse duration, SPICLK high (clock polarity = 0) 0.5tc(SPC)M – tr(SPC)M – 3 0.5tc(SPC)M + 3 ns
tw(SPCL)M Pulse duration, SPICLK low (clock polarity = 1) 0.5tc(SPC)M – tf(SPC)M – 3 0.5tc(SPC)M + 3
3(5) tw(SPCL)M Pulse duration, SPICLK low (clock polarity = 0) 0.5tc(SPC)M – tf(SPC)M – 3 0.5tc(SPC)M + 3 ns
tw(SPCH)M Pulse duration, SPICLK high (clock polarity = 1) 0.5tc(SPC)M – tr(SPC)M – 3 0.5tc(SPC)M + 3
4(5) tv(SIMO-SPCH)M Valid time, SPICLK high after SPISIMO data valid (clock polarity = 0) 0.5tc(SPC)M – 6 ns
tv(SIMO-SPCL)M Valid time, SPICLK low after SPISIMO data valid (clock polarity = 1) 0.5tc(SPC)M – 6
5(5) tv(SPCH-SIMO)M Valid time, SPISIMO data valid after SPICLK high (clock polarity = 0) 0.5tc(SPC)M – tr(SPC) – 4 ns
tv(SPCL-SIMO)M Valid time, SPISIMO data valid after SPICLK low (clock polarity = 1) 0.5tc(SPC)M – tf(SPC) – 4
6(5) tsu(SOMI-SPCH)M Setup time, SPISOMI before SPICLK high (clock polarity = 0) tr(SPC) + 2.2 ns
tsu(SOMI-SPCL)M Setup time, SPISOMI before SPICLK low (clock polarity = 1) tf(SPC) + 2.2
7(5) tv(SPCH-SOMI)M Valid time, SPISOMI data valid after SPICLK high (clock polarity = 0) 10 ns
tv(SPCL-SOMI)M Valid time, SPISOMI data valid after SPICLK low (clock polarity = 1) 10
8(6) tC2TDELAY Setup time CS active until SPICLK high (clock polarity = 0) CSHOLD = 0 0.5*tc(SPC)M + (C2TDELAY+2) * tc(VCLK) - tf(SPICS) + tr(SPC) – 7 0.5*tc(SPC)M + (C2TDELAY+2) * tc(VCLK) - tf(SPICS) + tr(SPC) + 5.5 ns
CSHOLD = 1 0.5*tc(SPC)M + (C2TDELAY+3) * tc(VCLK) - tf(SPICS) + tr(SPC) – 7 0.5*tc(SPC)M + (C2TDELAY+3) * tc(VCLK) - tf(SPICS) + tr(SPC) + 5.5
Setup time CS active until SPICLK low (clock polarity = 1) CSHOLD = 0 0.5*tc(SPC)M + (C2TDELAY+2) * tc(VCLK) - tf(SPICS) + tf(SPC) – 7 0.5*tc(SPC)M + (C2TDELAY+2) * tc(VCLK) - tf(SPICS) + tf(SPC) + 5.5 ns
CSHOLD = 1 0.5*tc(SPC)M + (C2TDELAY+3) * tc(VCLK) - tf(SPICS) + tf(SPC) – 7 0.5*tc(SPC)M + (C2TDELAY+3) * tc(VCLK) - tf(SPICS) + tf(SPC) + 5.5
9(6) tT2CDELAY Hold time SPICLK low until CS inactive (clock polarity = 0) T2CDELAY*tc(VCLK) + tc(VCLK) - tf(SPC) + tr(SPICS) - 7 T2CDELAY*tc(VCLK) + tc(VCLK) - tf(SPC) + tr(SPICS) + 11 ns
Hold time SPICLK high until CS inactive (clock polarity = 1) T2CDELAY*tc(VCLK) + tc(VCLK) - tr(SPC) + tr(SPICS) - 7 T2CDELAY*tc(VCLK) + tc(VCLK) - tr(SPC) + tr(SPICS) + 11 ns
10 tSPIENA SPIENAn Sample Point (C2TDELAY+1)* tc(VCLK) - tf(SPICS) – 29 (C2TDELAY+1)*tc(VCLK) ns
11 tSPIENAW SPIENAn Sample point from write to buffer (C2TDELAY+2)*tc(VCLK) ns
(1) The MASTER bit (SPIGCR1.0) is set and the CLOCK PHASE bit (SPIFMTx.16) is set.
(2) tc(VCLK) = interface clock cycle time = 1 / f(VCLK)
(3) For rise and fall timings, see the Table 5-6.
(4) When the SPI is in Master mode, the following must be true:
For PS values from 1 to 255: tc(SPC)M ≥ (PS +1)tc(VCLK) ≥ 40 ns, where PS is the prescale value set in the SPIFMTx.[15:8] register bits.
For PS values of 0: tc(SPC)M = 2tc(VCLK) ≥ 40 ns.
The external load on the SPICLK pin must be less than 60 pF.
(5) The active edge of the SPICLK signal referenced is controlled by the CLOCK POLARITY bit (SPIFMTx.17).
(6) C2TDELAY and T2CDELAY is programmed in the SPIDELAY register
RM41L232 master_mode_external_timing_phase1_pns160.gifFigure 7-8 SPI Master Mode External Timing (CLOCK PHASE = 1)
RM41L232 master_mode_chip_select_phase1_pns160.gifFigure 7-9 SPI Master Mode Chip Select Timing (CLOCK PHASE = 1)

7.7.5 SPI Slave Mode I/O Timings

Table 7-15 SPI Slave Mode External Timing Parameters (CLOCK PHASE = 0, SPICLK = input, SPISIMO = input, and SPISOMI = output)(1)(2)(3)(4)

NO. PARAMETER MIN MAX UNIT
1 tc(SPC)S Cycle time, SPICLK(5) 40 ns
2(6) tw(SPCH)S Pulse duration, SPICLK high (clock polarity = 0) 14 ns
tw(SPCL)S Pulse duration, SPICLK low (clock polarity = 1) 14
3(6) tw(SPCL)S Pulse duration, SPICLK low (clock polarity = 0) 14 ns
tw(SPCH)S Pulse duration, SPICLK high (clock polarity = 1) 14
4(6) td(SPCH-SOMI)S Delay time, SPISOMI valid after SPICLK high (clock polarity = 0) trf(SOMI) + 20 ns
td(SPCL-SOMI)S Delay time, SPISOMI valid after SPICLK low (clock polarity = 1) trf(SOMI) + 20
5(6) th(SPCH-SOMI)S Hold time, SPISOMI data valid after SPICLK high (clock polarity =0) 2 ns
th(SPCL-SOMI)S Hold time, SPISOMI data valid after SPICLK low (clock polarity =1) 2
6(6) tsu(SIMO-SPCL)S Setup time, SPISIMO before SPICLK low (clock polarity = 0) 4 ns
tsu(SIMO-SPCH)S Setup time, SPISIMO before SPICLK high (clock polarity = 1) 4
7(6) th(SPCL-SIMO)S Hold time, SPISIMO data valid after SPICLK low (clock polarity = 0) 2 ns
th(SPCH-SIMO)S Hold time, SPISIMO data valid after S PICLK high (clock polarity = 1) 2
8 td(SPCL-SENAH)S Delay time, SPIENAn high after last SPICLK low (clock polarity = 0) 1.5tc(VCLK) 2.5tc(VCLK)+tr(ENAn)+ 22 ns
td(SPCH-SENAH)S Delay time, SPIENAn high after last SPICLK high (clock polarity = 1) 1.5tc(VCLK) 2.5tc(VCLK)+ tr(ENAn) + 22
9 td(SCSL-SENAL)S Delay time, SPIENAn low after SPICSn low (if new data has been written to the SPI buffer) tf(ENAn) tc(VCLK)+tf(ENAn)+27 ns
(1) The MASTER bit (SPIGCR1.0) is cleared and the CLOCK PHASE bit (SPIFMTx.16) is cleared.
(2) If the SPI is in slave mode, the following must be true: tc(SPC)S ≥ (PS + 1) tc(VCLK), where PS = prescale value set in SPIFMTx.[15:8].
(3) For rise and fall timings, see Table 5-6.
(4) tc(VCLK) = interface clock cycle time = 1 /f(VCLK)
(5) When the SPI is in Slave mode, the following must be true:
For PS values from 1 to 255: tc(SPC)S ≥ (PS +1)tc(VCLK) ≥ 40 ns, where PS is the prescale value set in the SPIFMTx.[15:8] register bits.
For PS values of 0: tc(SPC)S = 2tc(VCLK) ≥ 40 ns.
(6) The active edge of the SPICLK signal referenced is controlled by the CLOCK POLARITY bit (SPIFMTx.17).
RM41L232 slave_mode_external_timing_phase0_pns160.gifFigure 7-10 SPI Slave Mode External Timing (CLOCK PHASE = 0)
RM41L232 slave_mode_enable_timing_phase0_pns160.gifFigure 7-11 SPI Slave Mode Enable Timing (CLOCK PHASE = 0)

Table 7-16 SPI Slave Mode External Timing Parameters (CLOCK PHASE = 1, SPICLK = input, SPISIMO = input, and SPISOMI = output)(1)(2)(3)(4)

NO. PARAMETER MIN MAX UNIT
1 tc(SPC)S Cycle time, SPICLK(5) 40 ns
2(6) tw(SPCH)S Pulse duration, SPICLK high (clock polarity = 0) 14 ns
tw(SPCL)S Pulse duration, SPICLK low (clock polarity = 1) 14
3(6) tw(SPCL)S Pulse duration, SPICLK low (clock polarity = 0) 14 ns
tw(SPCH)S Pulse duration, SPICLK high (clock polarity = 1) 14
4(6) td(SOMI-SPCL)S Dealy time, SPISOMI data valid after SPICLK low (clock polarity = 0) trf(SOMI) + 20 ns
td(SOMI-SPCH)S Delay time, SPISOMI data valid after SPICLK high (clock polarity = 1) trf(SOMI) + 20
5(6) th(SPCL-SOMI)S Hold time, SPISOMI data valid after SPICLK high (clock polarity =0) 2 ns
th(SPCH-SOMI)S Hold time, SPISOMI data valid after SPICLK low (clock polarity =1) 2
6(6) tsu(SIMO-SPCH)S Setup time, SPISIMO before SPICLK high (clock polarity = 0) 4 ns
tsu(SIMO-SPCL)S Setup time, SPISIMO before SPICLK low (clock polarity = 1) 4
7(6) tv(SPCH-SIMO)S High time, SPISIMO data valid after SPICLK high (clock polarity = 0) 2 ns
tv(SPCL-SIMO)S High time, SPISIMO data valid after SPICLK low (clock polarity = 1) 2
8 td(SPCH-SENAH)S Delay time, SPIENAn high after last SPICLK high (clock polarity = 0) 1.5tc(VCLK) 2.5tc(VCLK)+tr(ENAn) + 22 ns
td(SPCL-SENAH)S Delay time, SPIENAn high after last SPICLK low (clock polarity = 1) 1.5tc(VCLK) 2.5tc(VCLK)+tr(ENAn) + 22
9 td(SCSL-SENAL)S Delay time, SPIENAn low after SPICSn low (if new data has been written to the SPI buffer) tf(ENAn) tc(VCLK)+tf(ENAn)+ 27 ns
10 td(SCSL-SOMI)S Delay time, SOMI valid after SPICSn low (if new data has been written to the SPI buffer) tc(VCLK) 2tc(VCLK)+trf(SOMI)+ 28 ns
(1) The MASTER bit (SPIGCR1.0) is cleared and the CLOCK PHASE bit (SPIFMTx.16) is set.
(2) If the SPI is in slave mode, the following must be true: tc(SPC)S ≤ (PS + 1) tc(VCLK), where PS = prescale value set in SPIFMTx.[15:8].
(3) For rise and fall timings, see Table 5-6.
(4) tc(VCLK) = interface clock cycle time = 1 /f(VCLK)
(5) When the SPI is in Slave mode, the following must be true:
For PS values from 1 to 255: tc(SPC)S ≥ (PS +1)tc(VCLK) ≥ 40 ns, where PS is the prescale value set in the SPIFMTx.[15:8] register bits.
For PS values of 0: tc(SPC)S = 2tc(VCLK) ≥ 40 ns.
(6) The active edge of the SPICLK signal referenced is controlled by the CLOCK POLARITY bit (SPIFMTx.17).
RM41L232 slave_mode_external_timing_phase1_pns160.gifFigure 7-12 SPI Slave Mode External Timing (CLOCK PHASE = 1)
RM41L232 slave_mode_enable_timing_phase1_pns160.gifFigure 7-13 SPI Slave Mode Enable Timing (CLOCK PHASE = 1)

7.8 Enhanced Quadrature Encoder (eQEP)

Figure 7-14 shows the eQEP module interconnections on the device.

RM41L232 eQEP_connections_spns186.gifFigure 7-14 eQEP Module Interconnections

7.8.1 Clock Enable Control for eQEPx Modules

The device level control of the eQEP clock is accomplished through the enable/disable of the VCLK clock domain for eQEP only. This is realized using bit 9 of the CLKDDIS register. The eQEP clock source is enabled by default.

7.8.2 Using eQEPx Phase Error

The eQEP module sets the EQEPERR signal output whenever a phase error is detected in its inputs EQEPxA and EQEPxB. This error signal from both the eQEP modules is input to the connection selection multiplexor. As shown in Figure 7-14, the output of this selection multiplexor is inverted and connected to the N2HET module. This connection allows the application to define the response to a phase error indicated by the eQEP modules.

7.8.3 Input Connections to eQEPx Modules

The input connections to each of the eQEP modules can be selected between a double-VCLK-synchronized input or a double-VCLK-synchronized and filtered input, as shown in Table 7-17.

Table 7-17 Device-Level Input Synchronization

INPUT SIGNAL CONTROL FOR DOUBLE-SYNCHRONIZED
CONNECTION TO eQEPx
CONTROL FOR DOUBLE-SYNCHRONIZED
AND FILTERED CONNECTION TO eQEPx
eQEPA PINMMR8[0] = 1 PINMMR8[0] = 0 and PINMMR8[1] = 1
eQEPB PINMMR8[8] = 1 PINMMR8[8] = 0 and PINMMR8[9] = 1
eQEPI PINMMR8[16] = 1 PINMMR8[16] = 0 and PINMMR8[17] = 1
eQEPS PINMMR8[24] = 1 PINMMR8[24] = 0 and PINMMR8[25] = 1

7.8.4 Enhanced Quadrature Encoder Pulse (eQEPx) Timing

Table 7-18 eQEPx Timing Requirements

PARAMETER TEST CONDITIONS MIN MAX UNIT
tw(QEPP) QEP input period Synchronous 2 tc(VCLK) cycles
Synchronous, with input filter 2 tc(VCLK) + filter width cycles
tw(INDEXH) QEP Index Input High Time Synchronous 2 tc(VCLK) cycles
Synchronous, with input filter 2 tc(VCLK) + filter width cycles
tw(INDEXL) QEP Index Input Low Time Synchronous 2 tc(VCLK) cycles
Synchronous, with input filter 2 tc(VCLK) + filter width cycles
tw(STROBH) QEP Strobe Input High Time Synchronous 2 tc(VCLK) cycles
Synchronous, with input filter 2 tc(VCLK) + filter width cycles
tw(STROBL) QEP Strobe Input Low Time Synchronous 2 tc(VCLK) cycles
Synchronous, with input filter 2 tc(VCLK) + filter width cycles

Table 7-19 eQEPx Switching Characteristics

PARAMETER MIN MAX UNIT
td(CNTR)xin Delay time, external clock to counter increment 4 tc(VCLK) cycles
td(PCS-OUT)QEP Delay time, QEP input edge to position compare sync output 6 tc(VCLK) cycles