ZHCSCK2 June   2014

PRODUCTION DATA.  

  1. 特性
  2. 应用范围
  3. 说明
  4. 简化电路原理图
  5. 修订历史记录
  6. Pin Configuration and Functions
  7. Specifications
    1. 7.1 Absolute Maximum Ratings
    2. 7.2 Handling Ratings
    3. 7.3 Recommended Operating Conditions
    4. 7.4 Thermal Characteristics
    5. 7.5 Electrical Characteristics
    6. 7.6 Timing Requirements
    7. 7.7 Typical Characteristics
  8. Parametric Measurement Information
  9. Detailed Description
    1. 9.1 Overview
    2. 9.2 Functional Block Diagram
    3. 9.3 Feature Description
      1. 9.3.1 Enable and Adjusting Undervoltage Lockout
      2. 9.3.2 Overvoltage Protection (OVP)
      3. 9.3.3 Hot Plug-in and In-Rush Current Control
      4. 9.3.4 Overload and Short Circuit Protection :
        1. 9.3.4.1 Overload Protection
        2. 9.3.4.2 Short Circuit Protection
        3. 9.3.4.3 Start-Up with Short on Output
        4. 9.3.4.4 Constant Current Limit Behavior During Overcurrent Faults
      5. 9.3.5 FAULT Response
      6. 9.3.6 Current Monitoring:
      7. 9.3.7 Power Good Comparator
      8. 9.3.8 IN, OUT and GND Pins
      9. 9.3.9 Thermal Shutdown:
    4. 9.4 Device Functional Modes
      1. 9.4.1 DevSleep Mode for SATA® Interface Devices
      2. 9.4.2 Shutdown Control
  10. 10Application and Implementation
    1. 10.1 Application Information
    2. 10.2 Typical Application
      1. 10.2.1 eFuse for Enterprise SSDs
        1. 10.2.1.1 Design Requirements
        2. 10.2.1.2 Detailed Design Procedure
          1. 10.2.1.2.1 Step by Step Design Procedure
          2. 10.2.1.2.2 Programming the Current-Limit Threshold: R(ILIM) Selection
          3. 10.2.1.2.3 Undervoltage Lockout and Overvoltage Set Point
          4. 10.2.1.2.4 Programming Current Monitoring Resistor - RIMON
          5. 10.2.1.2.5 Setting Output Voltage Ramp time (tdVdT)
            1. 10.2.1.2.5.1 Case1: Start-up Without Load: Only Output Capacitance C(OUT) Draws Current During Start-up
            2. 10.2.1.2.5.2 Case 2: Start-up With Load: Output Capacitance C(OUT) and Load Draws Current During Start-up
          6. 10.2.1.2.6 Programing the Power Good Set Point
          7. 10.2.1.2.7 Support Component Selections - R6, R7 and CIN
        3. 10.2.1.3 Application Curves
    3. 10.3 System Examples
      1. 10.3.1 Power Failure Protection and Data Retention in SSDs
      2. 10.3.2 Boost Power Rail Configuration for Data Retention in Enterprise SSDs
  11. 11Power Supply Recommendations
    1. 11.1 Transient Protection
    2. 11.2 Output Short-Circuit Measurements
  12. 12Layout
    1. 12.1 Layout Guidelines
    2. 12.2 Layout Example
  13. 13器件和文档支持
    1. 13.1 相关链接
    2. 13.2 Trademarks
    3. 13.3 Electrostatic Discharge Caution
    4. 13.4 Glossary
  14. 14机械封装和可订购信息

封装选项

请参考 PDF 数据表获取器件具体的封装图。

机械数据 (封装 | 引脚)
  • RVC|20
散热焊盘机械数据 (封装 | 引脚)
订购信息

7 Specifications

7.1 Absolute Maximum Ratings

over operating temperature range (unless otherwise noted) (1)
VALUE UNIT
MIN MAX
Input voltage range IN, OUT, PGTH, PGOOD, EN/UVLO, OVP, DEVSLP, FLT –0.3 20 V
IN (10 ms Transient) 22
dVdT, ILIM –0.3 3.6
IMON –0.3 7
Sink current PGOOD, FLT, dVdT 10 mA
Source current dVdT, ILIM, IMON Internally Limited
Maximum junction, TJ –40 150 °C
Continuous power dissipation See the Thermal Characteristics
(1) Stresses beyond those listed under absolute maximum ratings may cause permanent damage to the device. These are stress ratings only and functional operation of the device at these or any conditions beyond those indicated under recommended operating conditions is not implied. Exposure to absolute-maximum-rated conditions for extended periods may affect device reliability.

7.2 Handling Ratings

MIN MAX UNIT
Tstg Storage temperature range –65 150 °C
VESD Electrostatic discharge Human body model (HBM), per ANSI/ESDA/JEDEC JS-001, all pins(1) -2 2 kV
Charged device model (CDM), per JEDEC specification JESD22-C101, all pins(2) -500 500 V
(1) JEDEC document JEP155 states that 500-V HBM allows safe manufacturing with a standard ESD control process.
(2) JEDEC document JEP157 states that 250-V CDM allows safe manufacturing with a standard ESD control process.

7.3 Recommended Operating Conditions

over operating free-air temperature range (unless otherwise noted)
MIN NOM MAX UNIT
Input voltage range IN 2.7 18 V
EN/UVLO, OVP, DEVSLP, OUT, PGTH, PGOOD, FLT 0 18
dVdT, ILIM 0 3
IMON 0 6
Resistance ILIM 16.9 150
IMON 1
External capacitance OUT 0.1 µF
dVdT 470 nF
Operating junction temperature range, TJ –40 25 125 °C

7.4 Thermal Characteristics(1)

THERMAL METRIC TPS25940 UNIT
RVC (20) PINS
RθJA Junction-to-ambient thermal resistance 38.1 °C/W
RθJCtop Junction-to-case (top) thermal resistance 40.5
RθJB Junction-to-board thermal resistance 13.6
ψJT Junction-to-top characterization parameter 0.6
ψJB Junction-to-board characterization parameter 13.7
RθJCbot Junction-to-case (bottom) thermal resistance 3.4
(1) For more information about traditional and new thermal metrics, see the IC Package Thermal Metrics application report, SPRA953.

7.5 Electrical Characteristics

Conditions are –40°C ≤ TJ=TA ≤ 125°C, 2.7 V ≤ V(IN) = 18 V, V(EN/UVLO) = 2 V, V(OVP) = V(DEVSLP) = V(PGTH) = 0 V, R(ILIM) = 150 kΩ, C(OUT) = 1 µF, C(dVdT) = OPEN, PGOOD = FLT = IMON = OPEN. Positive current into terminals. All voltages referenced to GND (unless otherwise noted)
PARAMETER TEST CONDITIONS MIN TYP MAX UNIT
SUPPLY VOLTAGE AND INTERNAL UNDERVOLTAGE LOCKOUT
V(IN) Operating Input Voltage 2.7 18 V
V(UVR) Internal UVLO threshold, rising 2.2 2.3 2.4 V
V(UVRhys) Internal UVLO hysteresis 105 116 125 mV
IQ(ON) Supply current, Enabled V(EN/UVLO) = 2 V, V(IN) = 3 V 140 210 300 µA
V(EN/UVLO) = 2 V, V(IN) = 12 V 140 199 260
V(EN/UVLO) = 2 V, V(IN) = 18 V 140 202 270
IQ(OFF) Supply current, Disabled V(EN/UVLO) = 0 V, V(IN) = 3 V 4 8.6 15 µA
V(EN/UVLO) = 0 V, V(IN) = 12 V 6 15 20
V(EN/UVLO) = 0 V, V(IN) = 18 V 8 18.5 25
IQ(DEVSLP) Supply current, DevSleep Mode V(DEVSLP) = 0 V, V(IN) = 2.7V to 18V 70 95 130 µA
ENABLE AND UNDERVOLTAGE LOCKOUT (EN/UVLO) INPUT
V(ENR) EN/UVLO threshold voltage, rising 0.97 0.99 1.01 V
V(ENF) EN/UVLO threshold voltage, falling 0.9 0.92 0.94 V
V(SHUTF) EN threshold voltage for Low IQ shutdown, falling 0.3 0.47 0.63 V
V(SHUTFhys) EN hysteresis for low IQ shutdown, hysteresis(1) 66 mV
IEN EN Input leakage current 0 V ≤ V(EN/UVLO) ≤ 18 V –100 0 100 nA
OVER VOLTAGE PROTECTION (OVP) INPUT
V(OVPR) Overvoltage Threshold Voltage, Rising, 0.97 0.99 1.01 V
V(OVPF) Overvoltage Threshold Voltage, Falling 0.9 0.92 0.94 V
I(OVP) OVP Input Leakage Current 0 V ≤ V(OVP) ≤ 5 V -100 0 100 nA
DEVSLP MODE INPUT (DEVSLP): ACTIVE HIGH
V(DEVSLPR) DEVSLP threshold voltage, rising 1.6 1.85 2 V
V(DEVSLPF) DEVSLP threshold voltage, falling 0.8 0.96 1.1 V
I(DEVSLP) DEVSLP input leakage current 0.2 V ≤ V(DEVSLP) ≤ 18 V 0.6 1 1.25 µA
OUTPUT RAMP CONTROL (dVdT)
I(dVdT) dVdT charging current V(dVdT) = 0 V 0.85 1 1.15 µA
R(dVdT) dVdT discharging resistance EN/UVLO = 0 V, I(dVdT) = 10 mA sinking 16 24 Ω
V(dVdTmax) dVdT maximum capacitor voltage 2.6 2.88 3.1 V
GAIN(dVdT) dVdT to OUT gain ΔV(OUT)/ΔV(dVdT) 11.65 11.9 12.05 V/V
CURRENT LIMIT PROGRAMMING (ILIM)
V(ILIM) ILIM bias voltage 0.87 V
I(LIM) Current limit(2) R(ILIM) = 150 kΩ, (V(IN) - V(OUT))  = 1 V 0.53 0.58 0.63 A
R(ILIM) = 88.7 kΩ, (V(IN) - V(OUT))  = 1 V 0.9 0.99 1.07
R(ILIM) = 42.2 kΩ, (V(IN) - V(OUT)) = 1 V 1.92 2.08 2.25
R(ILIM) = 24.9 kΩ, (V(IN) - V(OUT)) = 1 V 3.25 3.53 3.81
R(ILIM) = 16.9 kΩ, (V(IN) - V(OUT))  = 1 V 4.78 5.2 5.62
R(ILIM) = OPEN, Open resistor current limit (Single Point Failure Test: UL60950) 0.35 0.45 0.55
R(ILIM) = SHORT, Shorted resistor current limit (Single Point Failure Test: UL60950) 0.55 0.67 0.8
I(DEVSLP(LIM)) DevSleep Mode Current Limit 0.55 0.67 0.8 A
IOS Short-circuit current limit (2) R(ILIM) = 42.2 kΩ, V(VIN) = 12 V, (V(IN) -V(OUT)) = 5 V 1.91 2.07 2.24 A
R(ILIM) = 24.9 kΩ, V(VIN) = 12 V, (V(IN) -V(OUT)) = 5 V 3.21 3.49 3.77
R(ILIM) = 16.9 kΩ, V(VIN) = 12 V, (V(IN) -V(OUT))= 5 V, -40°C ≤ TJ ≤ 85°C 4.7 5.11 5.52
I(FASTRIP) Fast-Trip comparator threshold(1)(2) 1.5 x I(LIM) + 0.375 A
CURRENT MONITOR OUTPUT (IMON)
GAIN(IMON) Gain Factor I(IMON):I(OUT) 1 A ≤ I(OUT) ≤ 5 A 47.78 52.3 57.23 µA/A
MOSFET – POWER SWITCH
RON IN to OUT - ON Resistance 1 A ≤ I(OUT) ≤ 5 A, TJ = 25°C 34 42 49
1 A ≤ I(OUT) ≤ 5 A, -40°C ≤ TJ ≤ 85°C 26 42 58
1 A ≤ I(OUT) ≤ 5 A, -40°C ≤ TJ ≤ 125°C 26 42 64
PASS FET OUTPUT (OUT)
Ilkg(OUT) OUT leakage current in off state V(IN) = 18 V, V(EN/UVLO) = 0 V, V(OUT) = 0 V (Sourcing) –2 0 2 µA
V(IN) = 2.7 V, V(EN/UVLO) = 0 V, V(OUT) = 18 V (Sinking) 6 13 20
V(REVTH) V(IN) -V(OUT) threshold for reverse protection comparator, falling –15 -9.3 –3 mV
V(FWDTH) V(IN) -V(OUT) threshold for reverse protection comparator, rising 86 100 114 mV
FAULT FLAG (FLT): ACTIVE LOW
R(FLT) FLT internal pull-down resistance V(OVP) = 2 V, I(FLT) = 5 mA sinking 10 18 30 Ω
I(FLT) FLT input leakage current 0 V ≤ V(FLT) ≤ 18 V –1 0 1 µA
POSITIVE INPUT for POWER-GOOD COMPARATOR (PGTH)
V(PGTHR) PGTH threshold voltage, rising 0.97 0.99 1.01 V
V(PGTHF) PGTH threshold voltage, falling 0.9 0.92 0.94 V
I(PGTH) PGTH input leakage current 0 V ≤ V(PGTH) ≤ 18 V –100 0 100 nA
POWER-GOOD COMPARATOR OUTPUT (PGOOD): ACTIVE HIGH
R(PGOOD) PGOOD internal pull-down resistance V(PGTH) = 0V, I(PGOOD) = 5 mA sinking 10 20 35 Ω
I(PGOOD) PGOOD input leakage current 0 V ≤ V(PGOOD) ≤ 18 V –1 0 1 µA
THERMAL SHUT DOWN (TSD)
T(TSD) TSD Threshold(1) 160 °C
T(TSDhys) TSD Hysteresis(1) 12 °C
Thermal Fault: (Latched or Auto-Retry) TPS25940L LATCHED
TPS25940A AUTO-RETRY
(1) These parameters are provided for reference only and do not constitute part of TI's published device specifications for purposes of TI's product warranty.
(2) Pulse-testing techniques maintain junction temperature close to ambient temperature. Thermal effects must be taken into account separately.

7.6 Timing Requirements

Conditions are –40°C ≤ TJ=TA ≤ 125°C, 2.7 V ≤ V(IN) = 18 V, V(EN/UVLO) = 2 V, V(OVP) = V(DEVSLP) = V(PGTH) = 0 V, R(ILIM) = 150 kΩ, C(OUT) = 1 µF, C(dVdT) = OPEN, PGOOD = FLT = IMON = OPEN. Positive current into terminals. All voltages referenced to GND (unless otherwise noted). Refer to Figure 42 for the timing diagrams.
PARAMETER TEST CONDITIONS MIN TYP MAX UNIT
ENABLE and UVLO INPUT
tON(dly) EN turn on delay EN/UVLO ↑ (100mV above V(ENR)) to V(OUT) = 100 mV,
C(dVdT) < 0.8 nF
220 µs
EN/UVLO ↑ (100mV above V(ENR)) to V(OUT) = 100 mV,
C(dVdT) ≥ 0.8 nF, [C(dVdT) in nF]
100 + 150 x C(dVdT) µs
tOFF(dly) EN turn off delay EN/UVLO ↓ (100mV below V(ENF)) to FLT 2 µs
OVERVOLTAGE PROTECTION INPUT (OVP)
tOVP(dly) OVP disable delay OVP↑ (100mV above V(OVPR)) to FLT 2 µs
OUTPUT RAMP CONTROL (dV/dT )
tdVdT Output ramp time EN/UVLO ↑ to V(OUT) = 4.5 V, with C(dVdT) = open 0.12 ms
EN/UVLO ↑ to V(OUT) = 11 V, with C(dVdT) = open 0.25 0.37 0.5
EN/UVLO ↑ to V(OUT) = 11 V, with C(dVdT) = 1 nF 0.97
CURRENT LIMIT
tFASTRIP(dly) Fast-Trip comparator delay I(OUT) > I(FASTRIP) 200 ns
REVERSE PROTECTION COMPARATOR
tREV(dly) Reverse protection comparator delay (V(IN) - V(OUT))↓ (1 mV overdrive below V(REVTH)) to FLT 10 µs
(V(IN) - V(OUT))↓ (10 mV overdrive below V(REVTH)) to FLT 1
tFWD(dly) (V(IN) - V(OUT))↑ (10 mV overdrive above V(FWDTH)) to FLT 3.1
POWER-GOOD COMPARATOR OUTPUT (PGOOD): ACTIVE HIGH
tPGOODR PGOOD delay (de-glitch) time Rising edge 0.42 0.54 0.66 ms
tPGOODF Falling edge 0.42 0.54 0.66 ms
THERMAL SHUT DOWN (TSD)
Retry delay in TSD TPS25940A Only 128 ms

7.7 Typical Characteristics

Conditions are –40°C ≤ TA = TJ ≤ 125°C, V(IN) = 12 V, V(EN/UVLO) = 2 V, V(OVP) = V(DEVSLP) = V(PGTH) = 0 V, R(ILIM) = 150 kΩ, C(OUT) = 1 µF, C(dVdT) = OPEN, PGOOD = FLT = IMON = OPEN. (unless stated otherwise)
C001_SLVSCE9.png
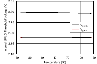
Figure 1. UVLO Threshold Voltage vs Temperature
C003_SLVSCE9.png
Figure 3. Input Supply Current vs Supply Voltage at Shutdown
C004_SLVSCE9.png
Figure 5. EN Threshold Voltage vs Temperature
C006_SLVSCE9.png
Figure 7. PGTH Threshold Voltage vs Temperature
C008_SLVSCE9.png
Figure 9. Enable Turn ON Delay vs Temperature
C100_SLVSCE9.png
Figure 11. OVP Disable Delay vs Temperature
C012_SLVSCF3.png
Figure 13. DEVSLP Pull Down Current vs Temperature
C014_SLVSCE9.png
Figure 15. Output Ramp Time vs C(dVdT)
C016_SLVSCE9.png
Figure 17. Current Limit Accuracy vs Current Limit
C018_SLVSCE9.png
Figure 19. Current Limit (% Normalized) vs R(LIMIT) Resistor
C019_SLVSCE9.png
Figure 21. Current Limit for R(ILIM) = Open and Short vs Temperature
C022_SLVSCE9.png
Figure 23. Fast Trip Threshold vs Current Limit
C023_SLVSCE9.png
Figure 25. GAIN(IMON) vs Temperature
C025_SLVSCE9.png
Figure 27. RON vs Temperature Across Load Current
C102_SLVSCE9.png
Figure 29. V(REVTH) vs Temperature
C029_SLVSCE9.png
Taken on 2-Layer board, 2oz.(0.08-mm thick) with GND plane area: 14 cm2 (Top) and 20 cm2 (bottom)
Figure 31. Thermal Shutdown Time vs Power Dissipation
2_EN_Ramp_11OhmLoad_11V_IIN.png
V(IN) = 11 V
Figure 33. Turn ON and OFF with Enable
4_EN_Ramp_11OhmLoad_11V_TOFF(dly).png
R(FLT)=100 kΩ
Figure 35. EN Turn OFF Delay : EN ↓ to Fault ↓
6_OVP_11Ohm_Load_TOVPF(dly).png
V(IN) = 12 V RL = 12 Ω R(FLT)=100 kΩ
Figure 37. OVP Turn ON delay: OVP ↓ to Output Ramp ↑
8_Power Good Deglitch_Falling.png
V(IN) = 12 V RL = 12 Ω R(FLT)= 100 kΩ
R(PGOOD)= 100 kΩ
Figure 39. Power Good Delay (Falling)
10_Hot_Short_Fasttrip_response_Zoomed.png
R(FLT)=100 kΩ R(IMON)= 16.9 kΩ
Figure 41. Hot-Short: Fast Trip Response (Zoomed)
C002_SLVSCE9.png
Figure 2. Input Supply Current vs Supply Voltage During Normal Operation
C100_SLVSCF3.png
Figure 4. Input Supply Current vs Supply Voltage in DevSleep Mode
C005_SLVSCE9.png
Figure 6. OVP Threshold Voltage vs Temperature
C007_SLVSCE9.png
Figure 8. EN Threshold Voltage for Low IQ mode vs Temperature
C009_SLVSCE9.png
Figure 10. Enable Turn OFF Delay vs Temperature
C011_SLVSCF3.png
Figure 12. DEVSLP Threshold Voltage vs Temperature
C013_SLVSCE9.png
Figure 14. GAIN(dVdT) vs Temperature
C015_SLVSCE9.png
Figure 16. Current Limit vs Current Limit Resistor
C017_SLVSCE9.png
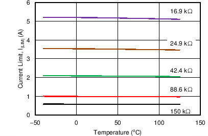
Figure 18. Current Limit vs Temperature Across R(ILIM)
C030_SLVSCE9.png
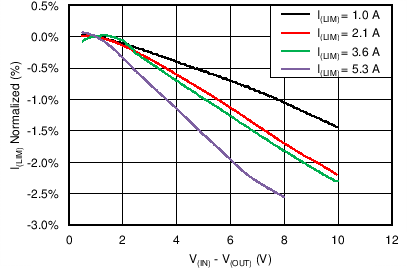
Thermal shutdown occurs when I(LIM) = 5.3 A
and [V(IN) - V(OUT)] > 8 V
Figure 20. Current Limit Normalized (%) vs V(IN) - V(OUT)
C101_SLVSCF3.png
Figure 22. Current Limit in DevSleep Mode vs Temperature
C101_SLVSCE9.png
Figure 24. GAIN(IMON)% Normalized vs Output Current
C024_SLVSCE9.png
Figure 26. Current Monitor Output vs Output Current
C026_SLVSCE9.png
Figure 28. OUT Leakage Current in Off State vs Temperature
C103_SLVSCE9.png
Figure 30. V(FWDTH) vs Temperature
1_TurnON_EN_4.5V Cdvdt0nF.png
V(IN) = 4.5 V
Figure 32. Turn ON with Enable
3_EN_Ramp_11OhmLoad_11VV_TON(dly).png
R(FLT)=100 kΩ
Figure 34. EN Turn ON Delay : EN ↑ to Output Ramp ↑
5_OVP_11Ohm_Load_TOVPR(dly).png
V(IN) = 12 V RL = 12 Ω R(FLT)=100 kΩ
Figure 36. OVP Turn OFF delay: OVP ↑ to Fault ↓
7_Power Good Deglitch_Raising.png
V(IN) = 12 V RL = 12 Ω R(FLT)= 100 kΩ
R(PGOOD)= 100 kΩ
Figure 38. Power Good Delay (Rising)
9_Hot_Short_Fasttrip_response_Current_Regulation.png
R(FLT) =100 kΩ R(IMON)= 16.9 kΩ
Figure 40. Hot-Short: Fast Trip Response and Current Regulation