ZHCSGV1C June   2017  – March 2018 TPS25740B

PRODUCTION DATA.  

  1. 特性
  2. 应用
  3. 说明
    1.     Device Images
      1.      简化原理图
  4. 修订历史记录
  5. Device Comparison Table
  6. Pin Configuration and Functions
    1.     Pin Functions
  7. Specifications
    1. 7.1 Absolute Maximum Ratings
    2. 7.2 ESD Ratings
    3. 7.3 Recommended Operating Conditions
    4. 7.4 Thermal Information
    5. 7.5 Electrical Characteristics
    6. 7.6 Timing Requirements
    7. 7.7 Switching Characteristics
    8. 7.8 Typical Characteristics
  8. Detailed Description
    1. 8.1 Overview
      1. 8.1.1 VBUS Capacitance
      2. 8.1.2 USB Data Communications
    2. 8.2 Functional Block Diagram
    3. 8.3 Feature Description
      1. 8.3.1  ENSRC
      2. 8.3.2  USB Type-C CC Logic (CC1, CC2)
      3. 8.3.3  USB PD BMC Transmission (CC1, CC2, VTX)
      4. 8.3.4  USB PD BMC Reception (CC1, CC2)
      5. 8.3.5  Discharging (DSCG, VPWR)
        1. 8.3.5.1 Discharging after a Fault (VPWR)
      6. 8.3.6  Configuring Voltage Capabilities (HIPWR)
      7. 8.3.7  Configuring Power Capabilities (PSEL, PCTRL, HIPWR)
      8. 8.3.8  Gate Driver (GDNG, GDNS)
      9. 8.3.9  Fault Monitoring and Protection
        1. 8.3.9.1 Over/Under Voltage (VBUS)
        2. 8.3.9.2 Over-Current Protection (ISNS, VBUS)
        3. 8.3.9.3 System Fault Input (GD, VPWR)
      10. 8.3.10 Voltage Control (CTL1, CTL2,CTL3)
      11. 8.3.11 Sink Attachment Indicator (DVDD)
      12. 8.3.12 Power Supplies (VAUX, VDD, VPWR, DVDD)
      13. 8.3.13 Grounds (AGND, GND)
      14. 8.3.14 Output Power Supply (DVDD)
    4. 8.4 Device Functional Modes
      1. 8.4.1 Sleep Mode
      2. 8.4.2 Checking VBUS at Start Up
  9. Application and Implementation
    1. 9.1 Application Information
      1. 9.1.1 System-Level ESD Protection
      2. 9.1.2 Using ENSRC to Enable the Power Supply upon Sink Attachment
      3. 9.1.3 Use of GD Internal Clamp
      4. 9.1.4 Resistor Divider on GD for Programmable Start Up
      5. 9.1.5 Selection of the CTL1, CTL2, and CTL3 Resistors (R(FBL1), R(FBL2), and R(FBL3))
      6. 9.1.6 Voltage Transition Requirements
      7. 9.1.7 VBUS Slew Control using GDNG C(SLEW)
      8. 9.1.8 Tuning OCP using RF and CF
    2. 9.2 Typical Applications
      1. 9.2.1 Typical Application, A/C Power Source (Wall Adapter)
        1. 9.2.1.1 Design Requirements
        2. 9.2.1.2 Detailed Design Procedure
          1. 9.2.1.2.1 Power Pin Bypass Capacitors
          2. 9.2.1.2.2 Non-Configurable Components
          3. 9.2.1.2.3 Configurable Components
        3. 9.2.1.3 Application Curves
      2. 9.2.2 Typical Application, D/C Power Source
        1. 9.2.2.1 Design Requirements
        2. 9.2.2.2 Detailed Design Procedure
          1. 9.2.2.2.1 Power Pin Bypass Capacitors
          2. 9.2.2.2.2 Non-Configurable Components
          3. 9.2.2.2.3 Configurable Components
        3. 9.2.2.3 Application Curves
    3. 9.3 System Examples
      1. 9.3.1 D/C Power Source (Power Hub)
      2. 9.3.2 A/C Power Source (Wall Adapter)
      3. 9.3.3 Dual-Port A/C Power Source (Wall Adaptor)
      4. 9.3.4 D/C Power Source (Power Hub with 3.3 V Rail)
  10. 10Power Supply Recommendations
    1. 10.1 VDD
    2. 10.2 VPWR
  11. 11Layout
    1. 11.1 Port Current Kelvin Sensing
    2. 11.2 Layout Guidelines
      1. 11.2.1 Power Pin Bypass Capacitors
      2. 11.2.2 Supporting Components
    3. 11.3 Layout Example
  12. 12器件和文档支持
    1. 12.1 文档支持
    2. 12.2 接收文档更新通知
    3. 12.3 社区资源
    4. 12.4 商标
    5. 12.5 静电放电警告
    6. 12.6 术语表
  13. 13机械、封装和可订购信息

封装选项

机械数据 (封装 | 引脚)
散热焊盘机械数据 (封装 | 引脚)
订购信息

Voltage Transition Requirements

During VBUS voltage transitions, the slew rate (vSrcSlewPos) must be kept below 30 mV/µs in all portions of the waveform, settle (tSrcSettle) in less than 275 ms, and be ready (tSrcReady) in less than 285 ms. For most power supplies, these requirements are met naturally without any special circuitry but in some cases, the voltage transition ramp rate must be slowed in order to meet the slew rate requirement.

The requirements for linear voltage transitions are shown in Table 5. In all cases, the minimum slew time is below 1 ms.

Table 5. Minimum Slew-Rate Requirements

VOLTAGE TRANSITION 5 V ↔ 12 V 5 V ↔ 20 V 12 V ↔ 20 V 5 V ↔ 9 V 5 V ↔ 15 V 9 V ↔ 15 V 9 V ↔ 12 V 12 V ↔ 15 V 9 V ↔ 20 V 15 V ↔ 20 V
Minimum Slew Time 233 µs 500 µs 267 µs 133 µs 333 µs 200 µs 100 µs 100 µs 367 µs 167 µs

When transition slew control is required, the interaction of the slew mechanism and dc/dc converter loop response must be considered. A simple R-C filter between the device CTL pins and converter feedback node may lead to instability under some conditions. Figure 44 shows a method which controls the slew rate without adding capacitance to the converter feedback node.

TPS25740B Slew_Rate_1_slvsdr6.gifFigure 44. Slew-Rate Control Example No. 1

When VOUT = 5 V, all CTL pins are in a high impedance state. When a 5 V to 12 V transition is requested, CTL2 goes low and turns off Q(CTL2). Q(SL2) gate starts to rise towards VCC at a rate determined by R(SL2A) + R(SL2B) and C(SL2). Q(SL2) gate continues to rise, until Q(SL2) is fully enhanced placing R(FBL2) in parallel with R(FBL). In similar fashion when C(TL1) goes low, Q(CTL1) turns off allowing R(FBL1) to slew in parallel with R(FBL2) and R(FBL).

The slewing resistors and capacitor can be chosen using the following equations. VT is the VGS threshold voltage of Q(SL1) and Q(SL2). VREF is the feedback regulator reference voltage. Choose the slewing resistance in the 100 kΩ range to reduce the loading on the bias voltage source (VCC) and then calculate C(SL). The falling transitions is shorter than the rising transitions in this topology.

Falling transitions:

  • 20 V to 12 V

Equation 8. TPS25740B eq8_slvsdr6.gif

  • 12 V to 5 V

Equation 9. TPS25740B eq9_slvsdr6.gif

Rising transitions:

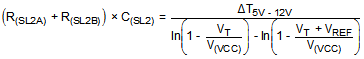
  • 5 V to 12 V

Equation 10. TPS25740B eq10_slvsdr6.gif

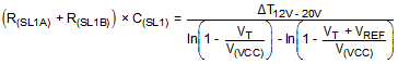
  • 12 V to 20 V

Equation 11. TPS25740B eq11_slvsdr6.gif

Some converter regulators can tolerate a balance of capacitance on the feedback node without affecting loop stability. The LM5175 has been tested using Figure 45 to combine VOUT slewing with a minimal amount of extra circuitry.

TPS25740B Slew_Rate_2_slvsdr6.gifFigure 45. Slew-Rate Control Example No. 2

When a higher voltage is requested from TPS25740B, at least one of the CTL pins goes low changing the sensed voltage at the FB pin. The LM5175 compensates by increasing C(SLU). As VOUT increases, C(SLU) is charged at a rate proportional to R(FBU). Three time constants yields a voltage change of approximately 95% and can be used to calculate the desired slew time. C(SLU) can be calculated using Equation 12 and Equation 13.

Equation 12. TPS25740B eq12_slvsdr6.gif
Equation 13. TPS25740B eq13_slvsdr6.gif

In order to minimize loop stability effects, a capacitor in parallel with R(FBL) is required. The ratio of C(SLU)/C(SLL) should be chosen to match the ratio of R(FBL)/R(FBU). Choose C(SLL) according to Equation 14.

Equation 14. TPS25740B eq14_slvsdr6.gif

A third slew rate method is shown in Figure 46 using an equivalent resistance, REQ and C(SLL) to provide an exponential slew rate. The slew rate is the derivative of the voltage ramp with the maximum occurring at the beginning of a transition. A DC-DC converter with programmable soft-start can help minimize VOUT overshoot at start-up due to C(SLL). Any VOUT overshoot must decay below V(SOVP5) before TPS25740B applies VBUS in order to prevent OVP shutdown.

TPS25740B Slew_Rate_3a_slvsdr6.gifFigure 46. Slew-Rate Control Example No. 3

For the rising condition, TPS25740B will connect one or more of the R(FBLx) resistors in parallel with C(SLL). The FB node is treated as a virtual ground so that REQ for the rising condition is R(FB1) in parallel with the R(FBLx) resistors being grounded through the CTLx pins. For the falling condition, TPS25740B will disconnect one or more of the R(FBLx) resistors in parallel with C(SLL). REQ for the falling condition is therefore R(FB1) in parallel with the R(FBLx) resistors remaining grounded.

Equation 15. TPS25740B eq15a_slvsdr6.gif

where

  • SR = SR(max) at t = 0
Equation 16. TPS25740B eq16a_slvsdr6.gif

The slew rate is proportional to VBUS voltage change and the largest slew rate occurs for the 5 V to 20 V case (or 15 V if 15 V is the highest advertised voltage) where all three R(FBLx) resistors are connected simultaneously. Size C(SLL) for this case using REQ = R(FB1), R(FBL1), R(FBL2), and R(FBL3) in parallel.

For this method, the procedure to choose the voltage programming resistors differs from the examples in section Selection of the CTL1, CTL2, and CTL3 Resistors (R(FBL1), R(FBL2), and R(FBL3)) due to the addition of R(FB1). The TPS25740B Design Calculator Tool (refer to USB PD in 文档支持 ) is available to help with the calculations for this control method. All slew rate control methods should be verified on the bench to ensure that the slew rate requirements are being met when the external VBUS capacitance is between 1 µF and 100 µF.