ZHCSEK5A JANUARY   2015  – September 2018 TPL5110

PRODUCTION DATA.  

  1. 特性
  2. 应用
  3. 说明
    1.     Device Images
      1.      简化应用电路原理图
  4. 修订历史记录
  5. Pin Configuration and Functions
    1.     Pin Functions
  6. Specifications
    1. 6.1 Absolute Maximum Ratings
    2. 6.2 ESD Ratings
    3. 6.3 Recommended Operating Ratings
    4. 6.4 Thermal Information
    5. 6.5 Electrical Characteristics
    6. 6.6 Timing Requirements
    7. 6.7 Typical Characteristics
  7. Detailed Description
    1. 7.1 Overview
    2. 7.2 Functional Block Diagram
    3. 7.3 Feature Description
      1. 7.3.1 DRV
      2. 7.3.2 DONE
    4. 7.4 Device Functional Modes
      1. 7.4.1 Start-Up
      2. 7.4.2 Timer Mode
      3. 7.4.3 One-Shot Mode
    5. 7.5 Programming
      1. 7.5.1 Configuring the Time Interval With the DELAY/M_DRV Pin
      2. 7.5.2 Manual MOSFET Power ON Applied to the DELAY/M_DRV Pin
        1. 7.5.2.1 DELAY/M_DRV
        2. 7.5.2.2 Circuitry
      3. 7.5.3 Selection of the External Resistance
      4. 7.5.4 Quantization Error
      5. 7.5.5 Error Due to Real External Resistance
  8. Application and Implementation
    1. 8.1 Application Information
    2. 8.2 Typical Application
      1. 8.2.1 Design Requirements
      2. 8.2.2 Detailed Design Procedure
      3. 8.2.3 Application Curve
  9. Power Supply Recommendations
  10. 10Layout
    1. 10.1 Layout Guidelines
    2. 10.2 Layout Example
  11. 11器件和文档支持
    1. 11.1 接收文档更新通知
    2. 11.2 社区资源
    3. 11.3 商标
    4. 11.4 静电放电警告
    5. 11.5 术语表
  12. 12机械、封装和可订购信息

封装选项

机械数据 (封装 | 引脚)
散热焊盘机械数据 (封装 | 引脚)
订购信息

Selection of the External Resistance

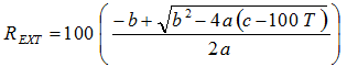
To set the time interval, the external resistance REXT is selected according to Equation 1:

Equation 1. TPL5110 Equation_Rext.gif

where

  • T is the desired time interval in seconds.
  • REXT is the resistance value to use in Ω.
  • a, b, c are coefficients depending on the range of the time interval.

Table 1. Coefficients for Equation 1

SET Time Interval Range (s) a b c
1 1 <T≤ 5 0.2253 -20.7654 570.5679
2 5 <T≤ 10 -0.1284 46.9861 -2651.8889
3 10 <T≤ 100 0.1972 -19.3450 692.1201
4 100 <T≤ 1000 0.2617 -56.2407 5957.7934
5 T> 1000 0.3177 -136.2571 34522.4680

EXAMPLE

Required time interval: 8 s

The coefficient set to be selected is the number 2. The formula becomes Equation 2.

Equation 2. TPL5110 EQR_num_REXT.gif

The resistance value is 10.18 kΩ.

Table 2 and Table 3 contain example values of tIP and their corresponding value of REXT.

Table 2. First 9 Time Intervals

tIP (ms) Resistance (Ω) Closest real value (Ω) Parallel of two 1% tolerance resistors, (kΩ)
100 500 500 1.0 // 1.0
200 1000 1000 -
300 1500 1500 2.43 // 3.92
400 2000 2000 -
500 2500 2500 4.42 // 5.76
600 3000 3000 5.36 // 6.81
700 3500 3500 4.75 // 13.5
800 4000 4000 6.19 // 11.3
900 4500 4501 6.19 // 16.5

Table 3. Most Common Time Intervals Between 1s to 2h

tIP Calculated Resistance (kΩ) Closest Real Value (kΩ) Parallel of Two 1% Tolerance Resistors,(kΩ)
1s 5.20 5.202 7.15 // 19.1
2s 6.79 6.788 12.4 // 15.0
3s 7.64 7.628 12.7// 19.1
4s 8.30 8.306 14.7 // 19.1
5s 8.85 8.852 16.5 // 19.1
6s 9.27 9.223 18.2 // 18.7
7s 9.71 9.673 19.1 // 19.6
8s 10.18 10.180 11.5 // 8.87
9s 10.68 10.68 17.8 // 26.7
10s 11.20 11.199 15.0 // 44.2
20s 14.41 14.405 16.9 // 97.6
30s 16.78 16.778 32.4 // 34.8
40s 18.75 18.748 22.6 // 110.0
50s 20.047 20.047 28.7 // 66.5
1min 22.02 22.021 40.2 // 48.7
2min 29.35 29.349 35.7 // 165.0
3min 34.73 34.729 63.4 // 76.8
4min 39.11 39.097 63.4 // 102.0
5min 42.90 42.887 54.9 // 196.0
6min 46.29 46.301 75.0 // 121.0
7min 49.38 49.392 97.6 // 100.0
8min 52.24 52.224 88.7 // 127.0
9min 54.92 54.902 86.6 // 150.0
10min 57.44 57.437 107.0 // 124.0
20min 77.57 77.579 140.0 // 174.0
30min 92.43 92.233 182.0 // 187.0
40min 104.67 104.625 130.0 // 536.00
50min 115.33 115.331 150.0 // 499.00
1h 124.91 124.856 221.0 // 287.00
1h30min 149.39 149.398 165.0 // 1580.0
2h 170.00 170.00 340.0 // 340.0