ZHCSFX0B November   2016  – August 2017 TLV2316-Q1 , TLV316-Q1 , TLV4316-Q1

PRODUCTION DATA.  

  1. 特性
  2. 应用
  3. 说明
  4. 修订历史记录
  5. Device Comparison Table
  6. Pin Configuration and Functions
  7. Specifications
    1. 7.1 Absolute Maximum Ratings
    2. 7.2 ESD Ratings
    3. 7.3 Recommended Operating Conditions
    4. 7.4 Thermal Information: TLV316-Q1
    5. 7.5 Thermal Information: TLV2316-Q1
    6. 7.6 Thermal Information: TLV4316-Q1
    7. 7.7 Electrical Characteristics
    8. 7.8 Typical Characteristics: Table of Graphs
    9. 7.9 Typical Characteristics
  8. Detailed Description
    1. 8.1 Overview
    2. 8.2 Functional Block Diagram
    3. 8.3 Feature Description
      1. 8.3.1 Operating Voltage
      2. 8.3.2 Rail-to-Rail Input
      3. 8.3.3 Rail-to-Rail Output
      4. 8.3.4 Common-Mode Rejection Ratio (CMRR)
      5. 8.3.5 Capacitive Load and Stability
      6. 8.3.6 EMI Susceptibility and Input Filtering
      7. 8.3.7 Overload Recovery
    4. 8.4 Device Functional Modes
  9. Application and Implementation
    1. 9.1 Application Information
    2. 9.2 System Examples
  10. 10Power Supply Recommendations
    1. 10.1 Input and ESD Protection
  11. 11Layout
    1. 11.1 Layout Guidelines
    2. 11.2 Layout Example
  12. 12器件和文档支持
    1. 12.1 文档支持
      1. 12.1.1 相关文档 
    2. 12.2 相关链接
    3. 12.3 社区资源
    4. 12.4 商标
    5. 12.5 静电放电警告
    6. 12.6 Glossary
  13. 13机械、封装和可订购信息

封装选项

机械数据 (封装 | 引脚)
散热焊盘机械数据 (封装 | 引脚)
订购信息

Specifications

Absolute Maximum Ratings

over operating free-air temperature (unless otherwise noted)(1)
MIN MAX UNIT
Supply voltage 7 V
Signal input pins Voltage(2) Common-mode (V–) – 0.5 (V+) + 0.5 V
Differential (V+) – (V–) + 0.2
Current(2) –10 10 mA
Output short-circuit(3) Continuous mA
Temperature Specified, TA –40 125 °C
Junction, TJ 150
Storage, Tstg –65 150
Stresses beyond those listed under Absolute Maximum Ratings may cause permanent damage to the device. These are stress ratings only, and functional operation of the device at these or any other conditions beyond those indicated under Recommended Operating Conditions is not implied. Exposure to absolute-maximum-rated conditions for extended periods may affect device reliability.
Input pins are diode-clamped to the power-supply rails. Current limit input signals that can swing more than 0.5 V beyond the supply rails to 10 mA or less.
Short-circuit to ground, one amplifier per package.

ESD Ratings

VALUE UNIT
V(ESD) Electrostatic discharge Human-body model (HBM), per AEC Q100-002(1) ±4000 V
Charged-device model (CDM), per AEC Q100-011 ±750
AEC Q100-002 indicates that HBM stressing shall be in accordance with the ANSI/ESDA/JEDEC JS-001 specification.

Recommended Operating Conditions

over operating free-air temperature range (unless otherwise noted)
MIN NOM MAX UNIT
VS Supply voltage 1.8 5.5 V
Specified temperature range –40 125 °C

Thermal Information: TLV316-Q1

THERMAL METRIC(1) TLV316-Q1 UNIT
DBV (SOT-23)
5 PINS
RθJA Junction-to-ambient thermal resistance 221.7 °C/W
RθJC(top) Junction-to-case(top) thermal resistance 144.7 °C/W
RθJB Junction-to-board thermal resistance 49.7 °C/W
ψJT Junction-to-top characterization parameter 26.1 °C/W
ψJB Junction-to-board characterization parameter 49.0 °C/W
RθJC(bot) Junction-to-case(bottom) thermal resistance N/A °C/W
For more information about traditional and new thermal metrics, see the Semiconductor and IC Package Thermal Metrics application report.

Thermal Information: TLV2316-Q1

THERMAL METRIC(1) TLV2316-Q1 UNIT
DGK (VSSOP)
8 PINS
RθJA Junction-to-ambient thermal resistance 186.6 °C/W
RθJC(top) Junction-to-case(top) thermal resistance 78.8 °C/W
RθJB Junction-to-board thermal resistance 107.9 °C/W
ψJT Junction-to-top characterization parameter 15.5 °C/W
ψJB Junction-to-board characterization parameter 106.3 °C/W
RθJC(bot) Junction-to-case(bottom) thermal resistance N/A °C/W
For more information about traditional and new thermal metrics, see the Semiconductor and IC Package Thermal Metrics application report.

Thermal Information: TLV4316-Q1

THERMAL METRIC(1) TLV4316-Q1 UNIT
PW (TSSOP)
14 PINS
RθJA Junction-to-ambient thermal resistance 117.8 °C/W
RθJC(top) Junction-to-case(top) thermal resistance 46.5 °C/W
RθJB Junction-to-board thermal resistance 59.6 °C/W
ψJT Junction-to-top characterization parameter 5.3 °C/W
ψJB Junction-to-board characterization parameter 59 °C/W
RθJC(bot) Junction-to-case(bottom) thermal resistance N/A °C/W
For more information about traditional and new thermal metrics, see the Semiconductor and IC Package Thermal Metrics application report.

Electrical Characteristics

at TA = 25°C, RL = 10 kΩ connected to VS / 2, VCM = VS / 2, and VOUT = VS / 2 (unless otherwise noted); VS (total supply voltage) = (V+) – (V–) = 1.8 V to 5.5 V
PARAMETER TEST CONDITIONS MIN TYP MAX UNIT
OFFSET VOLTAGE
VOS Input offset voltage VS = 5 V ±0.75 ±3 mV
VS = 5 V, TA = –40°C to 125°C ±4.5
dVOS/dT Drift VS = 5 V, TA = –40°C to 125°C ±2 µV/°C
PSRR Power-supply rejection ratio VS = 1.8 V – 5.5 V, VCM = (V–) ±30 ±175 µV/V
Channel separation, dc At dc 100 dB
INPUT VOLTAGE RANGE
VCM Common-mode voltage range VS = 5.5 V (V–) – 0.2 (V+) + 0.2 V
CMRR Common-mode rejection ratio VS = 5.5 V, (V–) – 0.2 V < VCM < (V+) – 1.4 V,
TA = –40°C to 125°C
72 90 dB
VS = 5.5 V, VCM = –0.2 V to 5.7 V,
TA = –40°C to 125°C
75
INPUT BIAS CURRENT
IB Input bias current ±10 pA
IOS Input offset current ±10 pA
NOISE
En Input voltage noise (peak-to-peak) VS = 5 V, f = 0.1 Hz to 10 Hz 5 µVPP
en Input voltage noise density VS = 5 V, f = 1 kHz 12 nV/√Hz
in Input current noise density f = 1 kHz 1.3 fA/√Hz
INPUT IMPEDANCE
ZID Differential 2 || 2 1016Ω || pF
ZIC Common-mode 2 || 4 1011Ω || pF
OPEN-LOOP GAIN
AOL Open-loop voltage gain VS = 5.5 V, (V–) + 0.05 V < VO < (V+) – 0.05 V,
RL = 10 kΩ
100 104 dB
VS = 5.5 V, (V–) + 0.15 V < VO < (V+) – 0.15 V,
RL = 2 kΩ
104
FREQUENCY RESPONSE
GBP Gain bandwidth product VS = 5 V, G = 1 10 MHz
φm Phase margin VS = 5 V, G = 1 60 Degrees
SR Slew rate VS = 5 V, G = 1 6 V/μs
tS Settling time To 0.1%, VS = 5 V, 2-V step , G = 1, CL = 100 pF 1 μs
tOR Overload recovery time VS = 5 V, VIN  × gain = VS 0.8 μs
THD + N Total harmonic distortion + noise(1) VS = 5 V, VO = 0.5 VRMS, G = 1, f = 1 kHz 0.008%
OUTPUT
VO Voltage output swing from supply rails VS = 1.8 V to 5.5 V, RL = 10 kΩ 35 mV
VS = 1.8 to 5.5 V, RL = 2 kΩ 125
ISC Short-circuit current VS = 5 V ±50 mA
ZO Open-loop output impedance VS = 5 V, f = 10 MHz 250 Ω
POWER SUPPLY
VS Specified voltage range 1.8 5.5 V
IQ Quiescent current per amplifier VS = 5 V, IO = 0 mA, TA = –40°C to 125°C 400 575 µA
TEMPERATURE
TA Specified –40 125 °C
Tstg Storage –65 150 °C
Third-order filter; bandwidth = 80 kHz at –3 dB.

Typical Characteristics: Table of Graphs

Table 1. Table of Graphs

TITLE FIGURE
Offset Voltage Production Distribution Figure 1
Offset Voltage vs Common-Mode Voltage Figure 2
Open- Loop Gain and Phase vs Frequency Figure 3
Input Bias and Offset Current vs Temperature Figure 4
Input Voltage Noise Spectral Density vs Frequency Figure 5
Quiescent Current vs Supply Voltage Figure 6
Small-Signal Overshoot vs Load Capacitance Figure 7
No Phase Reversal Figure 8
Small-Signal Step Response Figure 9
Large-Signal Step Response Figure 10
Short-Circuit Current vs Temperature Figure 11
Electromagnetic Interference Rejection Ratio Referred to Noninverting Input vs Frequency Figure 12
Channel Separation vs Frequency Figure 13

Typical Characteristics

at TA = 25°C, VS = 5.5 V, RL = 10 kΩ connected to VS / 2, VCM = VS / 2, and VOUT = VS / 2, (unless otherwise noted)
TLV316-Q1 TLV2316-Q1 TLV4316-Q1 C001_OT.png
Distribution taken from 12551 amplifiers
Figure 1. Offset Voltage Production Distribution
TLV316-Q1 TLV2316-Q1 TLV4316-Q1 C006_SBOS703.png
VCM < (V+) – 1.4 V
Figure 3. Open-Loop Gain and Phase vs Frequency
TLV316-Q1 TLV2316-Q1 TLV4316-Q1 C015_SBOS703.png
Figure 5. Input Voltage Noise Spectral Density vs Frequency
TLV316-Q1 TLV2316-Q1 TLV4316-Q1 C025_SBOS703.png
V+ = 2.75 V, V– = –2.75 V, G = –1 V/V
Figure 7. Small-Signal Overshoot vs Load Capacitance
TLV316-Q1 TLV2316-Q1 TLV4316-Q1 C030_SBOS703.png
V+ = 2.75 V, V– = –2.75 V, G = 1 V/V
Figure 9. Small-Signal Step Response
TLV316-Q1 TLV2316-Q1 TLV4316-Q1 C034_OT.png
Figure 11. Short-Circuit Current vs Temperature
TLV316-Q1 TLV2316-Q1 TLV4316-Q1 C00111_SBOS703.png
V+ = 2.75 V, V– = –2.75 V
Figure 13. Channel Separation vs Frequency
TLV316-Q1 TLV2316-Q1 TLV4316-Q1 C004_OT.png
V+ = 2.75 V V– = –2.75 V 9 typical units shown
Figure 2. Offset Voltage vs Common-Mode Voltage
TLV316-Q1 TLV2316-Q1 TLV4316-Q1 C009_OT.png
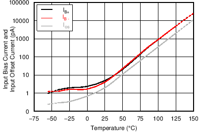
Figure 4. Input Bias and Offset Current vs Temperature
TLV316-Q1 TLV2316-Q1 TLV4316-Q1 C020_OT.png
Figure 6. Quiescent Current vs Supply Voltage
TLV316-Q1 TLV2316-Q1 TLV4316-Q1 C027_SBOS703.png
V+ = 2.75 V, V– = –2.75 V
Figure 8. No Phase Reversal
TLV316-Q1 TLV2316-Q1 TLV4316-Q1 C031_SBOS703.png
V+ = 2.75 V, V– = –2.75 V, CL = 100 pF, G = 1 V/V
Figure 10. Large-Signal Step Response
TLV316-Q1 TLV2316-Q1 TLV4316-Q1 C036_SBOS703.png
PRF = –10 dBm
Figure 12. Electromagnetic Interference Rejection Ratio
Referred to Noninverting Input vs Frequency