ZHCSF21 May   2016 TLC6C598

PRODUCTION DATA.  

  1. 特性
  2. 应用
  3. 说明
  4. 修订历史记录
  5. Pin Configuration and Functions
  6. Specifications
    1. 6.1 Absolute Maximum Ratings
    2. 6.2 ESD Ratings
    3. 6.3 Recommended Operating Conditions
    4. 6.4 Thermal Information
    5. 6.5 Electrical Characteristics
    6. 6.6 Timing Requirements
    7. 6.7 Switching Characteristics
    8. 6.8 Timing Waveforms
    9. 6.9 Typical Characteristics
  7. Parameter Measurement Information
  8. Detailed Description
    1. 8.1 Overview
    2. 8.2 Functional Block Diagram
    3. 8.3 Feature Description
      1. 8.3.1 Thermal Shutdown
      2. 8.3.2 Serial-In Interface
      3. 8.3.3 Clear Registers
      4. 8.3.4 Output Channels
      5. 8.3.5 Register Clock
      6. 8.3.6 Cascade Through SER OUT
      7. 8.3.7 Output Control
    4. 8.4 Device Functional Modes
      1. 8.4.1 Operation With VCC < 3 V
      2. 8.4.2 Operation With 5.5 V ≤ VCC ≤ 8 V
  9. Application and Implementation
    1. 9.1 Application Information
    2. 9.2 Typical Application
      1. 9.2.1 Design Requirements
      2. 9.2.2 Detailed Design Procedure
      3. 9.2.3 Application Curve
  10. 10Power Supply Recommendations
  11. 11Layout
    1. 11.1 Layout Guidelines
    2. 11.2 Layout Example
  12. 12器件和文档支持
    1. 12.1 社区资源
    2. 12.2 商标
    3. 12.3 静电放电警告
    4. 12.4 Glossary
  13. 13机械、封装和可订购信息

封装选项

机械数据 (封装 | 引脚)
散热焊盘机械数据 (封装 | 引脚)
订购信息

6 Specifications

6.1 Absolute Maximum Ratings

over operating ambient temperature range (unless otherwise noted)(1)
MIN MAX UNIT
VCC Logic supply voltage –0.3 8 V
VI Logic input-voltage range –0.3 8 V
VDS Power DMOS drain-to-source voltage –0.3 42 V
Continuous total dissipation See Thermal Information
TJ Operating junction temperature range –40 125 °C
Tstg Storage temperature range –55 165 °C
(1) Stresses beyond those listed under Absolute Maximum Ratings may cause permanent damage to the device. These are stress ratings only, and do not imply functional operation of the device at these or any other conditions beyond those indicated under Recommended Operating Conditions. Exposure to absolute-maximum-rated conditions for extended periods may affect device reliability.

6.2 ESD Ratings

VALUE UNIT
V(ESD) Electrostatic discharge Human body model (HBM), per AEC Q100-002(1) ±2000 V
Charged device model (CDM), per AEC Q100-011 All pins ±750
Corner pins (1, 8, 9, and 16) ±750
(1) AEC Q100-002 indicates HBM stressing is done in accordance with the ANSI/ESDA/JEDEC JS-001 specification.

6.3 Recommended Operating Conditions

MIN MAX UNIT
VCC Supply voltage 3 5.5 V
VIH High-level input voltage 2.4 V
VIL Low-level input voltage 0.7 V
TA Operating ambient temperature –40 105 °C

6.4 Thermal Information

THERMAL METRIC(1) TLC6C598 UNIT
PW (TSSOP)
16 PINS
RθJA Junction-to-ambient thermal resistance 129.4 °C/W
RθJC(top) Junction-to-case (top) thermal resistance 55.4 °C/W
RθJB Junction-to-board thermal resistance 65.8 °C/W
ψJT Junction-to-top characterization parameter 9.9 °C/W
ψJB Junction-to-board characterization parameter 65.2 °C/W
(1) For more information about traditional and new thermal metrics, see the Semiconductor and IC Package Thermal Metrics application report (SPRA953).

6.5 Electrical Characteristics

VCC = 5 V, TA = 25°C (unless otherwise noted)
PARAMETER TEST CONDITIONS MIN TYP MAX UNIT
DRAIN0 to DRAIN7. Drain-to-source voltage 40 V
VOH High-level output voltage, SER OUT IOH = –20 μA VCC = 5 V 4.9 4.99 V
IOH = −4 mA 4.5 4.69 V
VOL Low-level output voltage, SER OUT IOH = 20 μA VCC = 5 V 0.001 0.01 V
IOH = 4 mA 0.25 0.4 V
IIH High-level input current VCC = 5 V, VI = VCC 0.2 μA
IIL Low-level input current VCC = 5 V, VI = 0 –0.2 μA
ICC Logic supply current VCC = 5 V, no clock signal All outputs off 0.1 1 μA
All outputs on 88 160
ICC(FRQ) Logic supply current at frequency fSRCK = 5 MHz, CL = 30 pF All outputs on 200 μA
IDSx Off-state drain current VDS = 30 V VCC = 5 V 0.1 μA
VDS = 30 V, TC = 105°C VCC = 5 V 0.15 0.3
rDS(on) Static drain-source on-state resistance ID = 20 mA, VCC = 5 V, TA = 25°C,
Single channel ON
6 7.41 8.6 Ω
ID = 20 mA, VCC = 5 V, TA = 25°C,
All channels ON
6.7 8.3 9.6
ID = 20 mA, VCC = 3.3 V, TA = 25°C,
Single channel ON
7.9 9.34 11.2
ID = 20 mA, VCC = 3.3 V, TA = 25°C,
All channels ON
8.7 10.25 12.3
ID = 20 mA, VCC = 5 V, TA = 105°C,
Single channel ON
9.1 11.13 12.9
ID = 20 mA, VCC = 5 V, TA = 105°C,
All channels ON
10.3 12.28 14.5
ID = 20 mA, VCC = 3.3 V, TA = 105°C,
Single channel ON
11.6 13.69 16.4
ID = 20 mA, VCC = 3.3 V, TA = 105°C,
All channels ON
12.8 14.89 18.2
TSHUTDOWN Thermal shutdown trip point 150 175 200 ºC
Thys Hysteresis 15 ºC

6.6 Timing Requirements

MIN NOM MAX UNIT
tsu Setup time, SER IN high before SRCK↑ 15 ns
th Hold time, SER IN high after SRCK↑ 15 ns
tw SER IN pulse duration 40 ns

6.7 Switching Characteristics

VCC = 5 V, TA = 25°C
PARAMETER TEST CONDITIONS MIN TYP MAX UNIT
tPLH Propagation delay time from G to output, low-to-high level CL = 30 pF, ID = 48 mA 220 ns
tPHL Propagation delay time from G to output, high-to-low level 75 ns
tr Rise time, drain output 210 ns
tf Fall time, drain output 128 ns
tpd Propagation delay time, SRCK↓ to SER OUT CL = 30 pF, ID = 48 mA 49.4 ns
tor SER OUT rise time (10% to 90%) CL = 30 pF 20 ns
tof SER OUT fall time (90% to 10%) CL = 30 pF 20 ns
f(SRCK) Serial clock frequency CL = 30 pF, ID = 20 mA 10 MHz
tSRCK_WH SRCK pulse duration, high 30 ns
tSRCK_WL SRCK pulse duration, low 30 ns

6.8 Timing Waveforms

Figure 1 shows the SER IN to SER OUT waveform. The output signal appears on the falling edge of the shift register clock (SRCK) because there is a phase inverter at SER OUT (see Figure 13). As a result, it takes seven and a half periods of SRCK for data to transfer from SER IN to SER OUT.

TLC6C598 SER_IN_to_SER_OUT_Waveforms_SLIS142.gif Figure 1. SER IN to SER OUT Waveform

Figure 2 shows the switching times and voltage waveforms. Tests for all these parameters took place using the test circuit shown in Figure 11.

TLC6C598 Switching_Times_SLIS141.gif Figure 2. Switching Times and Voltage Waveforms

6.9 Typical Characteristics

TLC6C598 C001_SLIS177.gif
VCC = 5 V
Figure 3. Supply Current vs Frequency
TLC6C598 C003_SLIS177.gif
Single channel on VCC = 5 V
Figure 5. Drain-to-Source On-State Resistance vs Drain Current
TLC6C598 C005_SLIS177.gif
All channels on VCC = 5 V
Figure 7. Drain-to-Source On-State Resistance vs Drain Current
TLC6C598 C007_SLIS177.gif
All channels on IDS = 20 mA
Figure 9. Drain-to-Source On-State Resistance vs Supply Voltage
TLC6C598 C002_SLIS177.gif
V
Figure 4. Supply Current vs Supply Voltage
TLC6C598 C004_SLIS177.gif
Single channel on VCC = 3.3 V
Figure 6. Drain-to-Source On-State Resistance vs Drain Current
TLC6C598 C006_SLIS177.gif
All channels on VCC = 3.3 V
Figure 8. Drain-to-Source On-State Resistance vs Drain Current
TLC6C598 C008_SLIS177.gif
V
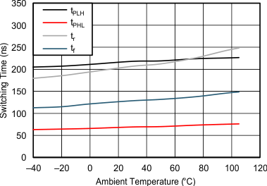
Figure 10. Switching Time vs Ambient Temperature