ZHCSED7A November   2015  – November 2015 OPA1612-Q1

PRODUCTION DATA.  

  1. 特性
  2. 应用
  3. 概述
  4. 修订历史记录
  5. Pin Configuration and Functions
  6. Specifications
    1. 6.1 Absolute Maximum Ratings
    2. 6.2 ESD Ratings
    3. 6.3 Recommended Operating Conditions
    4. 6.4 Thermal Information
    5. 6.5 Electrical Characteristics: VS = ±2.25 V to ±18 V
    6. 6.6 Typical Characteristics
  7. Parameter Measurement Information
  8. Detailed Description
    1. 8.1 Overview
    2. 8.2 Functional Block Diagram
    3. 8.3 Feature Description
      1. 8.3.1 Power Dissipation
      2. 8.3.2 Electrical Overstress
      3. 8.3.3 Operating Voltage
      4. 8.3.4 Input Protection
    4. 8.4 Device Functional Modes
  9. Application and Implementation
    1. 9.1 Application Information
    2. 9.2 Typical Application
      1. 9.2.1 Design Requirements
      2. 9.2.2 Detailed Design Procedure
        1. 9.2.2.1 Noise Performance
          1. 9.2.2.1.1 Basic Noise Calculations
        2. 9.2.2.2 Total Harmonic Distortion Measurements
        3. 9.2.2.3 Capacitive Loads
      3. 9.2.3 Application Curves
  10. 10Power-Supply Recommendations
  11. 11Layout
    1. 11.1 Layout Guidelines
    2. 11.2 Layout Example
  12. 12器件和文档支持
    1. 12.1 文档支持
      1. 12.1.1 相关文档 
    2. 12.2 社区资源
    3. 12.3 商标
    4. 12.4 静电放电警告
    5. 12.5 Glossary
  13. 13机械、封装和可订购信息

封装选项

机械数据 (封装 | 引脚)
散热焊盘机械数据 (封装 | 引脚)
订购信息

6 Specifications

6.1 Absolute Maximum Ratings

over operating free-air temperature range (unless otherwise noted)(1)
MIN MAX UNIT
VS(2) Supply voltage 40 V
Input voltage (V–) – 0.5 (V+) + 0.5 V
Input current (all pins except power-supply pins) ±10 mA
Output short-circuit(2) Continuous
TA Operating temperature –55 125 °C
TJ Junction temperature 200 °C
Tstg Storage temperature –65 150 °C
(1) Stresses beyond those listed under Absolute Maximum Ratings may cause permanent damage to the device. These are stress ratings only, which do not imply functional operation of the device at these or any other conditions beyond those indicated under Recommended Operating Conditions. Exposure to absolute-maximum-rated conditions for extended periods may affect device reliability.
(2) Short-circuit to VS / 2 (ground in symmetrical dual supply setups), one amplifier per package.

6.2 ESD Ratings

VALUE UNIT
V(ESD) Electrostatic discharge Human-body model (HBM), per AEC Q100-002(1) ±3000 V
Charged-device model (CDM), per AEC Q100-011 ±1000
(1) AEC Q100-002 indicates that HBM stressing shall be in accordance with the ANSI/ESDA/JEDEC JS-001 specification.

6.3 Recommended Operating Conditions

over operating free-air temperature range (unless otherwise noted)
MIN NOM MAX UNIT
Supply voltage (V+ – V–) 4.5 (±2.25) 36 (±18) V
Specified temperature –40 85 °C

6.4 Thermal Information

THERMAL METRIC(1) OPA1612-Q1 UNIT
D (SOIC)
8 PINS
RθJA Junction-to-ambient thermal resistance 111.9 °C/W
RθJC(top) Junction-to-case (top) thermal resistance 26.5 °C/W
RθJB Junction-to-board thermal resistance 0.8 °C/W
ψJT Junction-to-top characterization parameter 20.9 °C/W
ψJB Junction-to-board characterization parameter 1.6 °C/W
RθJC(bot) Junction-to-case (bottom) thermal resistance °C/W
(1) For more information about traditional and new thermal metrics, see the Semiconductor and IC Package Thermal Metrics application report, SPRA953.

6.5 Electrical Characteristics: VS = ±2.25 V to ±18 V

At TA = 25°C and RL = 2 kΩ, unless otherwise noted. VCM = VOUT = midsupply, unless otherwise noted.
PARAMETER TEST CONDITIONS MIN TYP MAX UNIT
AUDIO PERFORMANCE
THD+N Total harmonic distortion + noise G = +1, f = 1 kHz, VO = 3 VRMS 0.000015%
–136 dB
IMD Intermodulation distortion SMPTE/DIN two-tone, 4:1 (60 Hz and 7 kHz),
G = +1, VO = 3 VRMS
0.000015%
–136 dB
DIM 30 (3-kHz square wave and 15-kHz sine wave), G = +1, VO = 3 VRMS 0.000012%
–138 dB
CCIF twin-tone (19 kHz and 20 kHz), G = +1,
VO = 3 VRMS
0.000008%
–142 dB
FREQUENCY RESPONSE
GBW Gain-bandwidth product G = 100 80 MHz
G = 1 40 MHz
SR Slew rate G = –1 27 V/μs
Full-power bandwidth(1) VO = 1 VPP 4 MHz
Overload recovery time G = –10 500 ns
Channel separation (dual) f = 1 kHz –130 dB
NOISE
Input voltage noise f = 20 Hz to 20 kHz 1.2 μVPP
en Input voltage noise density(2) f = 10 Hz 2 nV/√Hz
f = 100 Hz 1.5 nV/√Hz
f = 1 kHz 1.1 1.5 nV/√Hz
In Input current noise density f = 10 Hz 3 pA/√Hz
f = 1 kHz 1.7 pA/√Hz
OFFSET VOLTAGE
VOS Input offset voltage VS = ±15 V ±100 ±500 μV
dVOS/dT VOS over temperature(2) TA = –40°C to +125°C 1 4 μV/°C
PSRR Power-supply rejection ratio VS = ±2.25 V to ±18 V 0.1 1 μV/V
INPUT BIAS CURRENT
IB Input bias current VCM = 0 V ±60 ±250 nA
VCM = 0 V, DRG package only ±60 ±300 nA
IB over temperature(2) TA = –40°C to +125°C 350 nA
IOS Input offset current VCM = 0 V ±25 ±175 nA
INPUT VOLTAGE RANGE
VCM Common-mode voltage range (V–) + 2 (V+) – 2 V
CMRR Common-mode rejection ratio (V–) + 2 V ≤ VCM ≤ (V+) – 2 V 110 120 dB
INPUT IMPEDANCE
Differential 20k || 8 Ω || pF
Common-mode 109 || 2 Ω || pF
OPEN-LOOP GAIN
AOL Open-loop voltage gain (V–) + 0.2 V ≤ VO ≤ (V+) – 0.2 V, RL = 10 kΩ 114 130 dB
(V–) + 0.6 V ≤ VO ≤ (V+) – 0.6 V, RL = 2 kΩ 110 114 dB
OUTPUT
VOUT Voltage output RL = 10 kΩ, AOL ≥ 114 dB (V–) + 0.2 (V+) – 0.2 V
RL = 2 kΩ, AOL ≥ 110 dB (V–) + 0.6 (V+) – 0.6 V
IOUT Output current See Figure 27 mA
ZO Open-loop output impedance See Figure 28 Ω
ISC Short-circuit current Source, VS = ±18 V 55 mA
Sink, VS = ±18 V –62 mA
CLOAD Capacitive load drive See Typical Characteristics pF
POWER SUPPLY
VS Specified voltage ±2.25 ±18 V
IQ Quiescent current (per channel) IOUT = 0 A 3.6 4.5 mA
IQ over Temperature(2) TA = –40°C to +125°C 5.5 mA
TEMPERATURE RANGE
Specified range –40 125 °C
Operating range –55 125 °C
(1) Full-power bandwidth = SR / (2π × VP), where SR = slew rate.
(2) Specified by design and characterization.

6.6 Typical Characteristics

At TA = 25°, VS = ±15 V, and RL = 2 kΩ, unless otherwise noted.
OPA1612-Q1 tc_v_curr_dens_freq_bos450.gif
Figure 1. Input Voltage Noise Density and Input Current Noise Density vs Frequency
OPA1612-Q1 tc_vnoise_spec_dens_rs_bos450.gif
EO2 = en2 + (in × RS)2 + 4kRTS See Figure 29
Figure 3. Voltage Noise vs Source Resistance
OPA1612-Q1 tc_gain_phase_fqcy_bos450.gif
Figure 5. Gain and Phase vs Frequency
OPA1612-Q1 tc_thdn_fqcy_01_bos450.gif
VOUT = 3VRMS BW = 80 KHz
Figure 7. THD+N Ratio vs Frequency
OPA1612-Q1 tc_thdn_fqcy_03_bos450.gif
VOUT = 3VRMS BW > 500 KHz
Figure 9. THD+N Ratio vs Frequency
OPA1612-Q1 tc_thdn_vout_amp_bos450.gif
1-kHz Signal BW = 80 KHz RSOURCE = 0 Ω
Figure 11. THD+N Ratio vs Output Amplitude
OPA1612-Q1 tc_chan_sep_fqcy_bos450.gif
VOUT = 3.5 VRMS VS = ±15 V G = 1
Figure 13. Channel Separation vs Frequency
OPA1612-Q1 tc_sm_signal_step_g1_bos450.gif
G = 1 CL = 50 pF See Figure 31
Figure 15. Small-Signal Step Response (100 mV)
OPA1612-Q1 tc_lg_signal_step_g1_bos450.gif
G = 1 CL = 50 pF RL = 2 kΩ
See the Input Protection section
Figure 17. Large-Signal Step Response
OPA1612-Q1 tc_sm_sig_osht_cload_g1_bos450.gif
G = 1 See Figure 33
Figure 19. Small-Signal Overshoot vs Capacitive Load
(100-mV Output Step)
OPA1612-Q1 tc_aol_temp_bos450.gif
Figure 21. Open-Loop Gain vs Temperature
OPA1612-Q1 tc_ib_ios_vcm_bos450.gif
VS = ±18 V
Figure 23. IB and IOS vs Common-Mode Voltage
OPA1612-Q1 tc_iq_vsup_bos450.gif
Figure 25. Quiescent Current vs Supply Voltage
OPA1612-Q1 tc_vout_iout_bos450.gif
VS = ±15 V Both channels driven simultaneously
Figure 27. Output Voltage vs Output Current
OPA1612-Q1 tc_noise_bos450.gif
Figure 2. 0.1-Hz to 10-Hz Noise
OPA1612-Q1 tc_vout_max_freq_bos450.gif
Figure 4. Maximum Output Voltage vs Frequency
OPA1612-Q1 tc_closed_lp_gain_fqcy_bos450.gif
Figure 6. Closed-Loop Gain vs Frequency
OPA1612-Q1 tc_thdn_fqcy_02_bos450.gif
VOUT = 3VRMS BW = 80 KHz See Figure 30
Figure 8. THD+N Ratio vs Frequency
OPA1612-Q1 tc_thdn_fqcy_04_bos450.gif
VOUT = 3VRMS BW > 500 KHz See Figure 30
Figure 10. THD+N Ratio vs Frequency
OPA1612-Q1 tc_imd_amp_bos450.gif
G = 1
Figure 12. Intermodulation Distortion vs Output Amplitude
OPA1612-Q1 tc_cmrr_psrr_freq_bos450.gif
Figure 14. CMRR and PSRR vs Frequency
(Referred to Input)
OPA1612-Q1 tc_sm_signal_step_g-1_bos450.gif
G = –1 CL = 50 pF See Figure 32
Figure 16. Small-Signal Step Response (100 mV)
OPA1612-Q1 tc_lg_signal_step_g-1_bos450.gif
G = –1 CL = 50 pF RL = 2 kΩ
Figure 18. Large-Signal Step Response
OPA1612-Q1 tc_sm_sig_osht_cload_g-1_bos450.gif
G = –1 See Figure 34
Figure 20. Small-Signal Overshoot vs Capacitive Load
(100-mV Output Step)
OPA1612-Q1 tc_ib_ios_temp_bos450.gif
Figure 22. IB and IOS vs Temperature
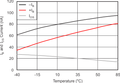
OPA1612-Q1 tc_iq_temp_bos450.gif
Figure 24. Quiescent Current vs Temperature
OPA1612-Q1 tc_isc_temp_bos450.gif
Figure 26. Short-Circuit Current vs Temperature
OPA1612-Q1 tc_oloop-frq_bos450.gif
Figure 28. Open-Loop Output Impedance vs Frequency