ZHCSH47 November 2017 INA317
PRODUCTION DATA.

| VS = 5.5 V |

| VS = 5.5 V |


| Gain = 100 | ||

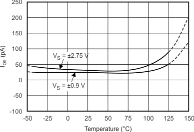
| VS = ±2.75 V |

| Gain = 100 |

| Gain = 100 | ||

| Gain = 1 | ||

| VS = 5.5 V |


| VS = 5 V | VREF = 0 | All gains |

| VS = 1.8 V | VREF = 0 |

| VS = 5 V |

| VS = 5 V | VS = 1.8 V |



| VS = 5.5 V | TA = –40°C to +125°C |

| VS = 5.5 V | TA = –40°C to +125°C |

| Gain = 1 | ||


| Gain = 1 | ||

| Gain = 1 |




| VS = ±2.5 V | VREF = 0 | All gains |

| VS = ±0.9 V | VREF = 0 | All gains |



