ZHCSFT7 December   2016 DRV401-Q1

PRODUCTION DATA.  

  1. 特性
  2. 应用
  3. 说明
  4. 修订历史记录
  5. Pin Configuration and Functions
  6. Specifications
    1. 6.1 Absolute Maximum Ratings
    2. 6.2 ESD Ratings
    3. 6.3 Recommended Operating Conditions
    4. 6.4 Thermal Information
    5. 6.5 Electrical Characteristics
    6. 6.6 Typical Characteristics
  7. Detailed Description
    1. 7.1 Overview
    2. 7.2 Functional Block Diagram
    3. 7.3 Feature Description
      1. 7.3.1  Magnetic Probe (Sensor) Interface
      2. 7.3.2  PWM Processing
      3. 7.3.3  Compensation Driver
      4. 7.3.4  External Compensation Coil Driver
      5. 7.3.5  Shunt Sense Amplifier
      6. 7.3.6  Over-Range Comparator
      7. 7.3.7  Voltage Reference
      8. 7.3.8  Demagnetization
      9. 7.3.9  Power-On and Brownout
      10. 7.3.10 Error Conditions
      11. 7.3.11 Protection Recommendations
    4. 7.4 Device Functional Modes
  8. Application and Implementation
    1. 8.1 Application Information
      1. 8.1.1 Functional Principle of Closed-Loop Current Sensors with Magnetic Probe Using the DRV401-Q1 Device
      2. 8.1.2 Basic Connection
    2. 8.2 Typical Application
      1. 8.2.1 Design Requirements
      2. 8.2.2 Detailed Design Procedure
      3. 8.2.3 Application Curves
  9. Power Supply Recommendations
  10. 10Layout
    1. 10.1 Layout Guidelines
    2. 10.2 Layout Example
    3. 10.3 Power Dissipation
  11. 11器件和文档支持
    1. 11.1 器件支持
      1. 11.1.1 开发支持
        1. 11.1.1.1 TINA-TI(免费软件下载)
        2. 11.1.1.2 TI 高精度设计
        3. 11.1.1.3 WEBENCH® Filter Designer
    2. 11.2 文档支持
      1. 11.2.1 相关文档
    3. 11.3 接收文档更新通知
    4. 11.4 社区资源
    5. 11.5 商标
    6. 11.6 静电放电警告
    7. 11.7 Glossary
  12. 12机械、封装和可订购信息
    1. 12.1 散热焊盘

封装选项

机械数据 (封装 | 引脚)
散热焊盘机械数据 (封装 | 引脚)
订购信息

Specifications

Absolute Maximum Ratings

over operating free-air temperature range (unless otherwise noted).(1)
MIN MAX UNIT
Voltage Supply voltage 7 V
Signal input pin −0.5 VDD + 0.5
Differential amplifier Signal input pin –10 10
Current Signal input pin, IS1 and IS2 –75 75 mA
Pins other than IS1 and IS2 –25 25
ICOMP short circuit 0 250
Temperature Operating, TA –50 150 °C
Junction, TJ 150
Storage, Tstg –55 150
Stresses beyond those listed under Absolute Maximum Ratings may cause permanent damage to the device. These are stress ratings only, which do not imply functional operation of the device at these or any other conditions beyond those indicated under Recommended Operating Conditions. Exposure to absolute-maximum-rated conditions for extended periods may affect device reliability.

ESD Ratings

VALUE UNIT
V(ESD) Electrostatic discharge Human-body model (HBM), per AEC Q100-002 (1) Pins IAIN1 and IAIN2 ±1000 V
All other pins ±5000
Charged-device model (CDM), per AEC Q100-011 All pins ±1000
Corner pins ±1000
AEC Q100-002 indicates that HBM stressing shall be in accordance with the ANSI/ESDA/JEDEC JS-001 specification

Recommended Operating Conditions

over operating free-air temperature range (unless otherwise noted)
MIN NOM MAX UNIT
Power supply voltage, VDD1, VDD2 4.5 5 5.5 V
Specified temperature range –40 25 +125 °C

Thermal Information

over operating free-air temperature range (unless otherwise noted)
THERMAL METRIC(1) DRV401-Q1 UNIT
RGW
(VQFN)
20 PINS
RθJA Junction-to-ambient thermal resistance 34.1 °C/W
RθJC(top) Junction-to-case (top) thermal resistance 22.8 °C/W
RθJB Junction-to-board thermal resistance 12.1 °C/W
ψJT Junction-to-top characterization parameter 0.3 °C/W
ψJB Junction-to-board characterization parameter 12.0 °C/W
RθJC(bot) Junction-to-case (bottom) thermal resistance 3.5 °C/W
For more information about traditional and new thermal metrics, see the Semiconductor and IC Package Thermal Metrics application report.

Electrical Characteristics

at TA = 25°C and VDD1 = VDD2 = 5 V with external 100-kHz filter bandwidth (unless otherwise noted)
PARAMETER TEST CONDITIONS MIN TYP MAX UNIT
DIFFERENTIAL AMPLIFIER
VOS Offset voltage, RTO(1)(2) RL = 10 kΩ to 2.5 V
VREFIN = 2.5 V
Gain = 4 V/V
±0.01 ±0.1 mV
dVOS/dT Offset voltage drift, RTO(2) RL = 10 kΩ to 2.5 V
VREFIN = 2.5 V
TA = –40°C to 125°C
ICOMP = 0 mA
±0.1 ±1 µV/°C
CMRR Offset voltage vs common-mode, RTO RL = 10 kΩ to 2.5 V
VREFIN = 2.5 V
−1 V to 6 V, VREF = 2.5 V
±50 ±250 µV/V
PSRR Offset voltage vs power supply, RTO RL = 10 kΩ to 2.5 V
VREFIN = 2.5 V
VREF not included
±4 ±50 µV/V
SIGNAL INPUT
Common-mode voltage range RL = 10 kΩ to 2.5 V
VREFIN = 2.5 V
–1 (VDD) + 1 V
SIGNAL OUTPUT
Signal overrange indication (OVER-RANGE), delay(2) RL = 10 kΩ to 2.5 V, VREFIN = 2.5 V,
TA = –40°C to 125°C, ICOMP = 0 mA,
VIN = 1-V step. See (2)
2.5 to 3.5 µs
Voltage output swing from negative rail(2),
OVER-RANGE trip level
RL = 10 kΩ to 2.5 V
VREFIN = 2.5 V
I = 2.5 mA, CMP trip level
48 85 mV
Voltage output swing from positive rail(2),
OVER-RANGE trip level
RL = 10 kΩ to 2.5 V
VREFIN = 2.5 V
I = −2.5 mA, CMP trip level
VDD – 85 VDD – 48 mV
ISC Short-circuit current(2) RL = 10 kΩ to 2.5 V
VREFIN = 2.5 V
VOUT connected to GND
–18 mA
RL = 10 kΩ to 2.5 V
VREFIN = 2.5 V
VOUT connected to VDD
20 mA
Gain, VOUT/VIN_DIFF RL = 10 kΩ to 2.5 V
VREFIN = 2.5 V
TA = –40°C to 125°C
4 V/V
Gain error RL = 10 kΩ to 2.5 V
VREFIN = 2.5 V
±0.02% ±0.3%
Gain error drift RL = 10 kΩ to 2.5 V
VREFIN = 2.5 V
TA = –40°C to 125°C
ICOMP = 0 mA
±0.1 ppm/°C
Linearity error VREFIN = 2.5 V
RL = 1 kΩ
10 ppm
FREQUENCY RESPONSE
BW–3 dB Bandwidth(2) RL = 10 kΩ to 2.5 V
VREFIN = 2.5 V
2 MHz
SR Slew rate(2) RL = 10 kΩ to 2.5 V
VREFIN = 2.5 V
CMVR = −1 V to 4 V
6.5 V/µs
tS Settling time, large-signal(2) RL = 10 kΩ to 2.5 V
VREFIN = 2.5 V
dV ±2 V to 1%, no external filter
0.9 µs
Settling time(2) RL = 10 kΩ to 2.5 V
VREFIN = 2.5 V
dV ±0.4 V to 0.01%
14 µs
INPUT RESISTANCE
Differential RL = 10 kΩ to 2.5 V
VREFIN = 2.5 V
16.5 20 23.5
Common-mode RL = 10 kΩ to 2.5 V
VREFIN = 2.5 V
41 50 59
External reference input RL = 10 kΩ to 2.5 V
VREFIN = 2.5 V
41 50 59
NOISE
en Output voltage noise density, RTO(2) RL = 10 kΩ to 2.5 V
VREFIN = 2.5 V
f = 1 kHz, compensation loop disabled
170 nV/√Hz
COMPENSATION LOOP
DC STABILITY
Offset error (3) Probe f = 250 kHz, RLOAD = 20 Ω, deviation from 50% PWM,
pin gain = L
0.03%
Offset error drift (2) Probe f = 250 kHz, RLOAD = 20 Ω, deviation from 50% PWM,
pin gain = L, TA = –40°C to 125°C
7.5 ppm/°C
Gain (2) Probe f = 250 kHz, RLOAD = 20 Ω, pin gain = L,
|VICOMP1| – |VICOMP2|
–200 25 200 ppm/V
PSRR Power-supply rejection ratio Probe f = 250 kHz, RLOAD = 20 Ω 500 ppm/V
FREQUENCY RESPONSE
Open-loop gain Probe f = 250 kHz, RLOAD = 20 Ω, two modes, 7.8 kHz 24/32 dB
PROBE COIL LOOP
Input voltage clamp range Field probe current < 50 mA –0.7 to VDD + 0.7 V
RHIGH Internal resistor, IS1 or IS2 to VDD1 (2) 47 59 71 Ω
RLOW Internal resistor, IS1 or IS2 to GND1 (2) 60 75 90 Ω
Resistance mismatch between IS1 and IS2 (2) ppm of RHIGH + RLOW 300 1500 ppm
Total input resistance TA = –40°C to 125°C
ICOMP = 0 mA
134 200 Ω
Comparator threshold current 22 28 34 mA
Minimum probe loop half-cycle (2) 250 280 310 ns
Probe loop minimum frequency 250 kHz
No oscillation detect (error) suppression 35 µs
COMPENSATION COIL DRIVER, H-BRIDGE
Peak current (2) VICOMP1 − VICOMP2 = 4 VPP
TA = –40°C to 125°C
ICOMP = 0 mA
250 mA
Voltage swing 20-Ω load 4.2 VPP
VOCM Output common-mode voltage VDD2 / 2 V
Wire break detect, threshold current (4) 33 57 mA
VOLTAGE REFERENCE
Voltage (2) No load 2.495 2.5 2.505 V
Voltage drift (2) No load, TA = – 40°C to 125°C
ICOMP = 0 mA
±5 ±50 ppm/°C
PSRR Power-supply rejection ratio(2) ±15 ±200 µV/V
Load regulation(2) Load to GND and VDD
dI = 0 mA to 5 mA
0.15 mV/mA
ISC Short-circuit current REFOUT connected to VDD 20 mA
REFOUT connected to GND –18 mA
DEMAGNETIZATION
Duration At TA = –40°C to 125°C
ICOMP = 0 mA; see the Demagnetization section
106 130 ms
DIGITAL I/O
LOGIC INPUTS (DEMAG, GAIN, and CCdiag PINS)
Pull-up high current (CCdiag) CMOS-type levels, 3.5 < VIN < VDD 160 µA
Pull-up low current (CCdiag) CMOS-type levels, 0 < VIN < 1.5 5 µA
Logic input leakage current CMOS-type levels, 0 < VIN < VDD 0.01 µA
Logic level, input: L/H CMOS-type levels 2.1/2.8
Hysteresis CMOS-type levels 0.7
OUTPUTS (ERROR AND OVER-RANGE PINS)
Logic level, output: L 4-mA sink 0.3 V
Logic level, input: H No internal pull-up
OUTPUTS (PWM AND PWM PINS)
Logic level L Push-pull type, 4-mA sink 0.2 V
Logic level H Push-pull type, 4-mA source VDD – 0.4 V
POWER SUPPLY
VDD Specified voltage range TA = –40°C to 125°C
ICOMP = 0 mA
4.5 5 5.5 V
VRST Power-on reset threshold 1.8 V
IQ Quiescent current [I(VDD1) + I(VDD2)] ICOMP = 0 mA, sensor not connected 6.8 mA
Brownout voltage level 4 V
Brownout indication delay 135 µs
TEMPERATURE RANGE
TJ Specified range –40 125 °C
TJ Operating range –50 150 °C
Parameter value referred-to-output (RTO).
See the Typical Characteristics curves.
For VAC sensors, 0.2% of PWM offset approximately corresponds to 10-mA primary current per offset per winding.
See the Compensation Driver subsection in the Detailed Description section.

Typical Characteristics

at TA = 25°C and VDD1 = VDD2 = 5 V with external 100-kHz filter bandwidth, (unless otherwise noted)
DRV401-Q1 tc_drv-sensor_offset-supply_bos814.gif
Figure 1. DRV401-Q1 Device and Sensor: Offset vs Supply Voltage
DRV401-Q1 tc_drv-sensor_absolute-error_bos814.gif
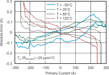
Figure 3. DRV401-Q1 Device and Sensor: Absolute Error
DRV401-Q1 tc_3-a_overload-recovery_bos814.gif
Measurements by Vacuumschmelze GmbH.
Figure 5. 3-A ICOMP Overload Recovery
DRV401-Q1 tc_diff-amp_voltage-offset-temp_bos814.gif
Figure 7. Differential Amplifier: Offset Voltage vs Temperature, RTO
DRV401-Q1 tc_diff-amp_psrr-cmrr-frequency_bos814.gif
Figure 9. Differential Amplifier: PSRR and CMRR vs Frequency
DRV401-Q1 tc_diff-amp_offset-noise-density_bos814.gif
Figure 11. Differential Amplifier: Output Noise Density
DRV401-Q1 tc_diff-amp_large-signal-step-50_bos814.gif
TA = −50°C
Figure 13. Differential Amplifier: Large-Signal Step Response
DRV401-Q1 tc_diff-amp_large-signal-step-150_bos814.gif
TA = 150°C
Figure 15. Differential Amplifier: Large-Signal Step Response
DRV401-Q1 tc_diff-amp_pos-slew-rate-temp_bos814.gif
Figure 17. Differential Amplifier: Positive Slew Rate vs Temperature
DRV401-Q1 tc_diff-amp_refin-resist-temp_bos814.gif
Figure 19. Differential Amplifier: REFIN Resistance vs Temperature
DRV401-Q1 tc_comp-loop_duty-cycle-error-temp_bos814.gif
Figure 21. Compensation Loop: Duty Cycle Error vs Temperature
DRV401-Q1 tc_i-comp-output-swing-rail_iout_bos814.gif
Figure 23. ICOMP Output Swing to Rail vs Output Current
DRV401-Q1 tc_probe-driver_internal-resist_temp_bos814.gif
Figure 25. Probe Driver: Internal Resistor vs Temperature
DRV401-Q1 tc_vref-iload_bos814.gif
Figure 27. Voltage Reference vs Load Current
DRV401-Q1 tc_vref-drift-prod-distrib_bos814.gif
Figure 29. Voltage Reference Drift Production Distribution
DRV401-Q1 tc_vref-pwr-supply-rejection_prod-distrib_bos814.gif
Figure 31. Voltage Reference Power-Supply Rejection Production Distribution
DRV401-Q1 tc_oscillator-temp_bos814.gif
Figure 33. Oscillator vs Temperature
DRV401-Q1 tc_vbrownout-temp_bos814.gif
Figure 35. Brownout Voltage vs Temperature
DRV401-Q1 tc_drv-sensor_output-voltage-noise_bos814.gif
Sensor M4645−X080, RSHUNT = 10 Ω, Mode = Low
Figure 2. DRV401-Q1 Device and Sensor: Output Voltage Noise Density
DRV401-Q1 tc_gain_flatness-frequency_bos814.gif
Soldered DWP−20 with 1-in2 copper pad. Measurements by Vacuumschmelze GmbH.
Figure 4. Gain Flatness vs Frequency
DRV401-Q1 tc_diff-amp_voltage-offset-distribution_bos814.gif
Measurements by Vacuumschmelze GmbH.
Figure 6. Differential Amplifier: Voltage Offset Production Distribution
DRV401-Q1 tc_diff-amp_gain-frequency_bos814.gif
Figure 8. Differential Amplifier: Gain vs Frequency
DRV401-Q1 tc_diff-amp_vout-iout_bos814.gif
Figure 10. Differential Amplifier: Output Voltage vs Output Current
DRV401-Q1 tc_diff-amp_short-circuit-temp_bos814.gif
Figure 12. Differential Amplifier: Short-Circuit Current vs Temperature
DRV401-Q1 tc_diff-amp_large-signal-step-25_bos814.gif
TA = 25°C
Figure 14. Differential Amplifier: Large-Signal Step Response
DRV401-Q1 tc_diff-amp_overrange-delay-temp_bos814.gif
Figure 16. Differential Amplifier: Overrange Delay vs Temperature
DRV401-Q1 tc_diff-amp_neg-slew-rate-temp_bos814.gif
Figure 18. Differential Amplifier: Negative Slew Rate vs Temperature
DRV401-Q1 tc_comp-loop_small-signal-gain_bos814.gif
Figure 20. Compensation Loop: Small-Signal Gain
DRV401-Q1 tc_comp-loop_dc-gain_duty-cycle-error_bos814.gif
Figure 22. Compensation Loop: DC Gain: Duty Cycle Error Change
DRV401-Q1 tc_probe_comparator_threshold_temp_bos814.gif
Figure 24. Probe Comparator Threshold Current vs Temperature
DRV401-Q1 tc_output-impedance-mismatch_temp_bos814.gif
Figure 26. Output Impedance Mismatch of IS1 and IS2 vs Temperature
DRV401-Q1 tc_vref-prod-distrib_bos814.gif
Figure 28. Voltage Reference Production Distribution
DRV401-Q1 tc_vref-temp_bos814.gif
Figure 30. Voltage Reference vs Temperature
DRV401-Q1 tc_oscillator-prod-distrib_bos814.gif
Figure 32. Oscillator Production Distribution <
DRV401-Q1 tc_oscillator-vdd_bos814.gif
Figure 34. Oscillator vs Supply Voltage