ZHCSDD0A February   2014  – January 2015

PRODUCTION DATA.  

  1. 特性
  2. 应用
  3. 说明
  4. 修订历史记录
  5. 说明(续)
  6. Pin Configuration and Functions
  7. Specifications
    1. 7.1 Absolute Maximum Ratings
    2. 7.2 ESD Ratings
    3. 7.3 Recommended Operating Conditions
    4. 7.4 Thermal Information
    5. 7.5 Electrical Characteristics
    6. 7.6 Timing Requirements
    7. 7.7 Typical Characteristics
  8. Detailed Description
    1. 8.1 Overview
    2. 8.2 Functional Block Diagram
    3. 8.3 Feature Description
      1. 8.3.1 Device Power Up
        1. 8.3.1.1 Power-On-Reset (POR)
        2. 8.3.1.2 Power Up from Battery without DC Source
          1. 8.3.1.2.1 BATFET Turn Off
          2. 8.3.1.2.2 Shipping Mode
        3. 8.3.1.3 Power Up from DC Source
          1. 8.3.1.3.1 REGN LDO
          2. 8.3.1.3.2 Input Source Qualification
          3. 8.3.1.3.3 Input Current Limit Detection
          4. 8.3.1.3.4 PSEL/OTG Pins Set Input Current Limit
          5. 8.3.1.3.5 HIZ State with 100mA USB Host
          6. 8.3.1.3.6 Force Input Current Limit Detection
        4. 8.3.1.4 Converter Power-Up
        5. 8.3.1.5 Boost Mode Operation from Battery
      2. 8.3.2 Power Path Management
        1. 8.3.2.1 Narrow VDC Architecture
        2. 8.3.2.2 Dynamic Power Management
        3. 8.3.2.3 Supplement Mode
      3. 8.3.3 Battery Charging Management
        1. 8.3.3.1 Autonomous Charging Cycle
        2. 8.3.3.2 Battery Charging Profile
        3. 8.3.3.3 Thermistor Qualification
          1. 8.3.3.3.1 Cold/Hot Temperature Window
        4. 8.3.3.4 Charging Termination
          1. 8.3.3.4.1 Termination When REG02[0] = 1
        5. 8.3.3.5 Charging Safety Timer
          1. 8.3.3.5.1 Safety Timer Configuration Change
        6. 8.3.3.6 USB Timer When Charging from USB100mA Source
      4. 8.3.4 Status Outputs (PG, STAT, and INT)
        1. 8.3.4.1 Power Good Indicator (PG) (bq24296M)
        2. 8.3.4.2 Charging Status Indicator (STAT)
        3. 8.3.4.3 Interrupt to Host (INT)
      5. 8.3.5 Protections
        1. 8.3.5.1 Input Current Limit on ILIM
        2. 8.3.5.2 Thermal Regulation and Thermal Shutdown
        3. 8.3.5.3 Voltage and Current Monitoring in Buck Mode
          1. 8.3.5.3.1 Input Over-Voltage (ACOV)
          2. 8.3.5.3.2 System Over-Voltage Protection (SYSOVP)
        4. 8.3.5.4 Voltage and Current Monitoring in Boost Mode
          1. 8.3.5.4.1 Over-Current Protection
          2. 8.3.5.4.2 VBUS Over-Voltage Protection
        5. 8.3.5.5 Battery Protection
          1. 8.3.5.5.1 Battery Over-Voltage Protection (BATOVP)
          2. 8.3.5.5.2 Battery Short Protection
    4. 8.4 Device Functional Modes
      1. 8.4.1 Host Mode and Default Mode
        1. 8.4.1.1 Plug in USB100mA Source with Good Battery
        2. 8.4.1.2 USB Timer When Charging from USB100mA Source
    5. 8.5 Programming
      1. 8.5.1 Serial Interface
        1. 8.5.1.1 Data Validity
        2. 8.5.1.2 START and STOP Conditions
        3. 8.5.1.3 Byte Format
        4. 8.5.1.4 Acknowledge (ACK) and Not Acknowledge (NACK)
        5. 8.5.1.5 Slave Address and Data Direction Bit
          1. 8.5.1.5.1 Single Read and Write
          2. 8.5.1.5.2 Multi-Read and Multi-Write
    6. 8.6 Register Map
      1. 8.6.1 I2C Registers
        1. 8.6.1.1  Input Source Control Register REG00 [reset = 00110xxx, or 3x]
        2. 8.6.1.2  Power-On Configuration Register REG01 [reset = 00011011, or 0x1B]
        3. 8.6.1.3  Charge Current Control Register REG02 [reset = 01100000, or 60]
        4. 8.6.1.4  Pre-Charge/Termination Current Control Register REG03 [reset = 00010001, or 0x11]
        5. 8.6.1.5  Charge Voltage Control Register REG04 [reset = 10110010, or 0xB2]
        6. 8.6.1.6  Charge Termination/Timer Control Register REG05 [reset = 10011100, or 0x9C]
        7. 8.6.1.7  Boost Voltage/Thermal Regulation Control Register REG06 [reset = 01110011, or 0x73]
        8. 8.6.1.8  Misc Operation Control Register REG07 [reset = 01001011, or 4B]
        9. 8.6.1.9  System Status Register REG08
        10. 8.6.1.10 New Fault Register REG09
        11. 8.6.1.11 Vender / Part / Revision Status Register REG0A
  9. Application and Implementation
    1. 9.1 Application Information
    2. 9.2 Typical Application
      1. 9.2.1 Design Requirements
      2. 9.2.2 Detailed Design Procedure
        1. 9.2.2.1 Inductor Selection
        2. 9.2.2.2 Input Capacitor
        3. 9.2.2.3 Output Capacitor
      3. 9.2.3 Application Performance Plots
  10. 10Power Supply Recommendations
  11. 11Layout
    1. 11.1 Layout Guidelines
    2. 11.2 Layout Example
  12. 12器件和文档支持
    1. 12.1 文档支持
      1. 12.1.1 相关文档 
    2. 12.2 商标
    3. 12.3 静电放电警告
    4. 12.4 术语表
  13. 13机械封装和可订购信息

封装选项

机械数据 (封装 | 引脚)
散热焊盘机械数据 (封装 | 引脚)
订购信息

7 Specifications

7.1 Absolute Maximum Ratings(1)

MIN MAX UNIT
Voltage
(with respect to GND)
VBUS (converter not switching) –2 15(2) V
PMID (converter not switching) –0.3 15(2) V
STAT, PG –0.3 12 V
BTST –0.3 12 V
SW –2 7
8 (Peak for 20ns duration)
V
BAT, SYS (converter not switching) –0.3 6 V
SDA, SCL, INT, OTG, ILIM, REGN, TS, QON, CEPSEL –0.3 7 V
BTST TO SW –0.3 7 V
PGND to GND –0.3 0.3 V
Output sink current INT, STAT, PG 6 mA
Junction temperature –40 150 °C
Storage temperature range, Tstg –65 150 °C
(1) Stresses beyond those listed under absolute maximum ratings may cause permanent damage to the device. These are stress ratings only, and functional operation of the device at these or any other conditions beyond those indicated under recommended operating conditions is not implied. Exposure to absolute-maximum-rated conditions for extended periods may affect device reliability. All voltage values are with respect to the network ground pin unless otherwise noted.
(2) VBUS is specified up to 16 V for a maximum of 24 hours under no load conditions.

7.2 ESD Ratings

VALUE UNIT
V(ESD) Electrostatic discharge Human body model (HBM), per ANSI/ESDA/JEDEC JS-001(1) 1000 V
Charged device model (CDM), per JEDEC specification JESD22-C101(2) 250 V
(1) JEDEC document JEP155 states that 500-V HBM allows safe manufacturing with a standard ESD control process.
(2) JEDEC document JEP157 states that 250-V CDM allows safe manufacturing with a standard ESD control process.

7.3 Recommended Operating Conditions

MIN MAX UNIT
VIN Input voltage 3.9 6.2(1) V
ISYS Output current (SYS) 3.5 A
VBAT Battery voltage 4.4 V
IBAT Fast charging current 3 A
Discharging current with internal MOSFET 5.5 A
TA Operating free-air temperature range –40 85 °C
(1) The inherent switching noise voltage spikes should not exceed the absolute maximum rating on either the BTST or SW pins. A tight layout minimizes switching noise.

7.4 Thermal Information

THERMAL METRIC(1) bq24296M UNIT
RGE (24 PIN)
RθJA Junction-to-ambient thermal resistance 32.2 °C/W
RθJCtop Junction-to-case (top) thermal resistance 29.8
RθJB Junction-to-board thermal resistance 9.1
ψJT Junction-to-top characterization parameter 0.3
ψJB Junction-to-board characterization parameter 9.1
RθJCbot Junction-to-case (bottom) thermal resistance 2.2
(1) For more information about traditional and new thermal metrics, see the IC Package Thermal Metrics application report, SPRA953.

7.5 Electrical Characteristics

VVBUS_UVLOZ < VVBUS < VACOV and VVBUS > VBAT + VSLEEP, TJ = –40°C to 125°C and TJ = 25°C for typical values unless other noted.
PARAMETER TEST CONDITIONS MIN TYP MAX UNIT
QUIESCENT CURRENTS
IBAT Battery discharge current (BAT, SW, SYS) VVBUS < VUVLO, VBAT = 4.2 V, leakage between BAT and VBUS 5 µA
High-Z Mode, or no VBUS, BATFET disabled (REG07[5] = 1), –40°C – 85°C 16 20 µA
High-Z Mode, or no VBUS, BATFET enabled (REG07[5] = 0), –40°C – 85°C 32 55 µA
IVBUS Input supply current (VBUS) VVBUS = 5 V, High-Z mode, No battery 15 30 µA
VVBUS > VUVLO, VVBUS > VBAT, converter not switching 1.5 3 mA
VVBUS > VUVLO, VVBUS > VBAT, converter switching, VBAT = 3.2 V, ISYS = 0 A 4 mA
VVBUS > VUVLO, VVBUS > VBAT, converter switching, charge disable, VBAT = 3.8 V, ISYS = 100 µA 3.5 mA
IBOOST Battery discharge current in boost mode VBAT = 4.2 V, Boost mode, IVBUS = 0 A, converter switching 3.5 mA
VBUS/BAT POWER UP
VVBUS_OP VBUS operating voltage 3.9 6.2 V
VVBUS_UVLOZ VBUS for active I2C, no battery VVBUS rising 3.6 V
VSLEEP Sleep mode falling threshold VVBUS falling, VVBUS-VBAT 35 80 120 mV
VSLEEPZ Sleep mode rising threshold VVBUS rising, VVBUS-VBAT 170 250 350 mV
VACOV VBUS over-voltage rising threshold VVBUS rising 6.2 6.6 V
VACOV_HYST VBUS over-voltage falling hysteresis VVBUS falling 250 mV
VBAT_UVLOZ Battery for active I2C, no VBUS VBAT rising 2.3 V
VBAT_DPL Battery depletion threshold VBAT falling 2.4 2.6 V
VBAT_DPL_HY Battery depletion rising hysteresis VBAT rising 200 mV
VVBUSMIN Bad adapter detection threshold VVBUS falling 3.8 V
IBADSRC Bad adapter detection current source 30 mA
POWER PATH MANAGEMENT
VSYS_MAX Maximum DC system voltage output BATFET (Q4) off, VBAT up to 4.35 V
4.43 V
VSYS_MIN Minimum DC system voltage output REG01[3:1] = 101, VSYSMIN = 3.5 V 3.5 3.65 V
RON(RBFET) Top reverse blocking MOSFET on-resistance between VBUS and PMIID 28 41
RON(HSFET) Internal top switching MOSFET on-resistance between PMID and SW TJ = –40°C – 85°C 39 51
TJ = -40°C – 125°C 39 58
RON(LSFET) Internal bottom switching MOSFET on-resistance between SW and PGND TJ = –40°C – 85°C 61 82
TJ = -40°C – 125°C 61 90
VFWD BATFET forward voltage in supplement mode BAT discharge current 10mA 30 mV
VSYS_BAT SYS/BAT comparator VBAT < VSYSMIN , VSYS falling 80 mV
VBAT > VSYSMIN , VSYS falling 180 mV
VBATGD Battery good comparator rising threshold VBAT rising 3.55 V
VBATGD_HYST Battery good comparator falling threshold VBAT falling 100 mV
BATTERY CHARGER
VBAT_REG_ACC Charge voltage regulation accuracy VBAT = 4.112 V and 4.208 V –0.5% 0.5%
IICHG_REG_ACC Fast charge current regulation accuracy VBAT = 3.8 V, ICHG = 1024 mA, TJ = 25°C -4% 4%
VBAT = 3.8 V, ICHG = 1024 mA, TJ = -20°C – 125°C -7% 7%
VBAT = 3.8 V, ICHG = 1792 mA, TJ = -20°C – 125°C –10% 10%
ICHG_20pct Charge current with 20% option on VBAT = 3.1 V, ICHG = 104 mA, REG02 = 03 and REG02[0] = 1 75 175 mA
VBATLOWV Battery LOWV falling threshold Fast charge to precharge, REG04[1] = 1 2.6 2.8 2.9 V
VBATLOWV_HYST Battery LOWV rising threshold Precharge to fast charge, REG04[1] = 1
(Typical 200-mV hysteresis)
2.8 3.0 3.1 V
IPRECHG_ACC Precharge current regulation accuracy VBAT = 2.6 V, ICHG = 256 mA –20% 20%
ITYP_TERM_ACC Typical termination current ITERM = 256 mA, ICHG = 2048 mA 265 mA
ITERM_ACC Termination current accuracy ITERM = 256 mA, ICHG = 2048 mA –22.5% 22.5%
VSHORT Battery short voltage VBAT falling 2.0 V
VSHORT_HYST Battery Short Voltage hysteresis VBAT rising 200 mV
ISHORT Battery short current VBAT < 2.2 V 100 mA
VRECHG Recharge threshold below VBAT_REG VBAT falling, REG04[0] = 0 100 mV
tRECHG Recharge deglitch time VBAT falling, REG04[0] = 0 20 ms
RON_BATFET SYS-BAT MOSFET on-resistance TJ = 25°C 24 28
TJ = –40°C – 125°C 24 35
INPUT VOLTAGE/CURRENT REGULATION
VINDPM_REG_ACC Input voltage regulation accuracy -2% 2%
IUSB_DPM USB Input current regulation limit, VBUS = 5V, current pulled from SW USB100 85 100 mA
USB150 125 150 mA
USB500 440 500 mA
USB900 750 900 mA
IADPT_DPM Input current regulation accuracy IADP = 1.5 A, REG00[2:0] = 101 1.3 1.5 A
IIN_START Input current limit during system start up VSYS < 2.2 V 100 mA
KILIM IIN = KILIM/RILIM 395 435 475 A x Ω
BAT OVER-VOLTAGE PROTECTION
VBATOVP Battery over-voltage threshold VBAT rising, as percentage of VBAT_REG 104%
VBATOVP_HYST Battery over-voltage hysteresis VBAT falling, as percentage of VBAT_REG 2%
tBATOVP Battery over-voltage deglitch time to disable charge 1 µs
THERMAL REGULATION AND THERMAL SHUTDOWN
TJunction_REG Junction temperature regulation accuracy REG06[1:0] = 11 120 °C
TSHUT Thermal shutdown rising temperature Temperature increasing 160 °C
TSHUT_HYS Thermal shutdown hysteresis 30 °C
Thermal shutdown rising deglitch Temperature increasing delay 1 ms
Thermal shutdown falling deglitch Temperature decreasing delay 1 ms
COLD/HOT THERMISTER COMPARATOR
VLTF Cold temperature threshold, TS pin voltage rising threshold Charger suspends charge. as percentage to VREGN 73% 73.5% 74%
VLTF_HYS Cold temperature hysteresis, TS pin voltage falling As percentage to VREGN 0.4%
VHTF Hot temperature TS pin voltage rising threshold As percentage to VREGN 46.6% 47.2% 48.8%
VTCO Cut-off temperature TS pin voltage falling threshold As percentage to VREGN 44.2% 44.7% 45.2%
Deglitch time for temperature out of range detection VTS > VLTF, or VTS < VTCO, or VTS < VHTF 10 ms
VBCOLD0 Cold temperature threshold, TS pin voltage rising threshold As percentage to VREGN REG02[1] = 0
(Approx. -10°C w/ 103AT)
75.5% 76% 76.5%
VBCOLD0_HYS As percentage to VREGN REG02[1] = 0
(Approx. 1°C w/ 103AT)
1%
VBCOLD1 Cold temperature threshold 1, TS pin voltage rising threshold As percentage to VREGN REG02[1] = 1
(Approx. -20°C w/ 103AT)
78.5% 79% 79.5%
VBCOLD1_HYS As percentage to VREGN REG02[1] = 1
(Approx. 1°C w/ 103AT)
1%
VBHOT0 Hot temperature threshold, TS pin voltage falling threshold As percentage to VREGN REG06[3:2] = 01
(Approx. 55°C w/ 103AT)
35.5% 36% 36.5%
VBHOT0_HYS As percentage to VREGN REG06[3:2] = 01
(Approx. 3°C w/ 103AT)
3%
VBHOT1 Hot temperature threshold 1, TS pin voltage falling threshold As percentage to VREGN REG06[3:2] = 00
(Approx. 60°C w/ 103AT)
32.5% 33% 33.5%
VBHOT1_HYS As percentage to VREGN REG06[3:2] = 00
(Approx. 3°C w/ 103AT)
3%
VBHOT2 Hot temperature threshold 2, TS pin voltage falling threshold As percentage to VREGN REG06[3:2] = 10
(Approx. 65°C w/ 103AT)
29.5% 30% 30.5%
VBHOT2_HYS As percentage to VREGN REG06[3:2] = 10
(Approx. 3°C w/ 103AT)
3%
CHARGE OVER-CURRENT COMPARATOR
IHSFET_OCP HSFET cycle by cycle over-current threshold 5.3 7.5 A
VLSFET_UCP LSFET charge under-current falling threshold From sync mode to non-sync mode 100 mA
FSW PWM Switching frequency, and digital clock 1300 1500 1700 kHz
DMAX Maximum PWM duty cycle 97%
VBTST_REFRESH Bootstrap refresh comparator threshold VBTST-VSW when LSFET refresh pulse is requested, VBUS = 5 V 3.6 V
BOOST MODE OPERATION
VOTG_REG_ACC OTG output voltage I(VBUS) = 0, REG06[7:4] = 0111 (4.998 V) 5 V
VOTG_REG_ACC OTG output voltage accuracy I(VBUS) = 0, REG06[7:4] = 0111 (4.998 V) -3% 3%
VOTG_BAT Battery voltage exiting OTG mode BAT falling, REG04[1] = 1 2.9 V
IOTG OTG mode output current REG01[0] = 0 1 A
REG01[0] = 1 1.5 A
VOTG_OVP OTG over-voltage threshold Rising threshold 5.8 6 V
VOTG_OVP_HYS OTG over-voltage threshold hysteresis Falling threshold 300 mV
IOTG_LSOCP LSFET cycle by cycle current limit 5 A
IOTG_HSZCP HSFET under current falling threshold 100 mA
IRBFET_OCP RBFET over-current threshold REG01[0] = 0 1.00 1.15 1.30 A
REG01[0] = 1 1.50 1.70 1.90
REGN LDO
VREGN REGN LDO output voltage VVBUS = 6 V, IREGN = 40 mA 4.8 5 5.5 V
VVBUS = 5 V, IREGN = 20 mA 4.7 4.8 V
IREGN REGN LDO current limit VVBUS = 5 V, VREGN = 3.8 V 50 mA
LOGIC I/O PIN CHARACTERISTICS (OTG, CE, STAT, QON, PSEL, PG)
VILO Input low threshold 0.4 V
VIH Input high threshold (CE, STAT, QON, PSEL, PG) 1.3 V
VIH_OTG Input high threshold (OTG) 1.1 V
VOUT_LO Output low saturation voltage Sink current = 5 mA 0.4 V
IBIAS High level leakage current (OTG, CE, STAT , PSEL, PG) Pull-up rail 1.8 V 1 µA
IBIAS High level leakage current (QON) Pull-up rail 3.6 V 8 µA
I2C INTERFACE (SDA, SCL, INT)
VIH Input high threshold level VPULL-UP = 1.8 V, SDA and SCL 1.3 V
VIL Input low threshold level VPULL-UP = 1.8 V, SDA and SCL 0.4 V
VOL Output low threshold level Sink current = 5 mA 0.4 V
IBIAS High-level leakage current VPULL-UP = 1.8 V, SDA and SCL 1 µA
fSCL SCL clock frequency 400 kHz
DIGITAL CLOCK AND WATCHDOG TIMER
fHIZ Digital crude clock REGN LDO disabled 15 35 50 kHz
fDIG Digital clock REGN LDO enabled 1300 1500 1700 kHz

7.6 Timing Requirements

MIN TYP MAX UNIT
VBUS/BAT POWER UP
tBADSRC Bad source detection duration 30 ms
BOOST MODE OPERATION
tOTG_OCP_OFF OTG mode over-current protection off cycle time 32 ms
tOTG_OCP_ON OTG mode over-current protection on cycle time 260 µs
QON TIMING
tQON QON pin high time to turn on BATFET 2 ms
DIGITAL CLOCK AND WATCHDOG TIMER
tWDT REG05[5:4] = 11 REGN LDO disabled 112 160 sec
REGN LDO enabled 136 160
bq24296M timing_slusbp6.gifFigure 1. I2C-Compatible Interface Timing Diagram

7.7 Typical Characteristics

Table 1. Table of Figures

FIGURE
Charging Efficiency vs Charging Current (DCR = 10 mΩ) Figure 2
System Efficiency vs System Load Current (DCR = 10 mΩ) Figure 3
Boost Mode Efficiency vs VBUS Load Current (DCR = 10 mΩ) Figure 4
SYS Voltage Regulation vs System Load Current Figure 5
Boost Mode VBUS Voltage Regulation (Typical Output = 4.998 V, REG06[7:4] = 0111) vs VBUS Load Current Figure 6
SYS Voltage vs Temperature Figure 7
BAT Voltage vs Temperature Figure 8
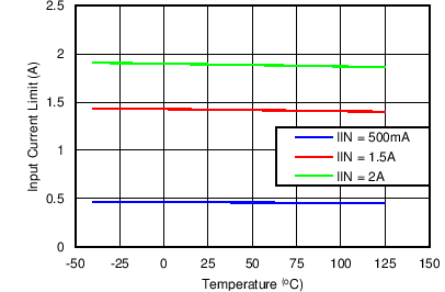
Input Current Limit vs Temperature Figure 9
Charge Current vs Package Temperature Figure 10
bq24296M C001_SLUSBC1.png
Figure 2. Charge Efficiency vs Charge Current
bq24296M C003_SLUSBC1.png
Figure 4. Boost Mode Efficiency
vs VBUS Load Current
bq24296M C005_SLUSBC1.png
Typical Output = 4.998 V, REG06[7:4] = 0111
Figure 6. Boost Mode VBUS Voltage Regulation
vs VBUS Load Current
bq24296M C008_SLUSBC1.png
Figure 8. BAT Voltage vs Temperature
bq24296M C010_SLUSBC1.png
Figure 10. Charge Current vs Package Temperature
bq24296M C002_SLUSBC1.png
Figure 3. System Efficiency
vs System Load Current
bq24296M C004_SLUSBC1.png
Figure 5. SYS Voltage Regulation
vs System Load Current
bq24296M C007_SLUSBC1.png
Figure 7. SYS Voltage vs Temperature
bq24296M C009_SLUSBC1.png
Figure 9. Input Current Limit vs Temperature