SNAS279F April   2005  – July 2016 ADC084S021

PRODUCTION DATA.  

  1. Features
  2. Applications
  3. Description
  4. Revision History
  5. Device Comparison Table
  6. Pin Configuration and Functions
  7. Specifications
    1. 7.1 Absolute Maximum Ratings
    2. 7.2 ESD Ratings
    3. 7.3 Recommended Operating Conditions
    4. 7.4 Thermal Information
    5. 7.5 Electrical Characteristics
    6. 7.6 Timing Requirements
    7. 7.7 Typical Characteristics
  8. Detailed Description
    1. 8.1 Overview
    2. 8.2 Functional Block Diagram
    3. 8.3 Feature Description
      1. 8.3.1 Transfer Function
      2. 8.3.2 Analog Inputs
      3. 8.3.3 Digital Inputs and Outputs
    4. 8.4 Device Functional Modes
      1. 8.4.1 Track Mode
      2. 8.4.2 Hold Mode
    5. 8.5 Register Maps
      1. 8.5.1 Register Description
  9. Application and Implementation
    1. 9.1 Application Information
    2. 9.2 Typical Application
      1. 9.2.1 Design Requirements
      2. 9.2.2 Detailed Design Procedure
      3. 9.2.3 Application Curve
  10. 10Power Supply Recommendations
    1. 10.1 Power Management
    2. 10.2 Noise Considerations
  11. 11Layout
    1. 11.1 Layout Guidelines
    2. 11.2 Layout Example
  12. 12Device and Documentation Support
    1. 12.1 Device Support
      1. 12.1.1 Device Nomenclature
    2. 12.2 Receiving Notification of Documentation Updates
    3. 12.3 Community Resources
    4. 12.4 Trademarks
    5. 12.5 Electrostatic Discharge Caution
    6. 12.6 Glossary
  13. 13Mechanical, Packaging, and Orderable Information

封装选项

机械数据 (封装 | 引脚)
散热焊盘机械数据 (封装 | 引脚)
订购信息

7 Specifications

7.1 Absolute Maximum Ratings

over operating free-air temperature range (unless otherwise noted)(1)(2)(3)
MIN MAX UNIT
Supply voltage, VA –0.3 6.5 V
Voltage on any pin to GND –0.3 VA + 0.3 V
Input current at any pin(4) ±10 mA
Package input current(4) ±20 mA
Power consumption at TA = 25°C See (5)
Junction temperature, TJ 150 °C
Storage temperature, Tstg –65 150 °C
(1) Stresses beyond those listed under Absolute Maximum Ratings may cause permanent damage to the device. These are stress ratings only, which do not imply functional operation of the device at these or any other conditions beyond those indicated under Recommended Operating Conditions. Exposure to absolute-maximum-rated conditions for extended periods may affect device reliability.
(2) All voltages are measured with respect to GND = 0 V (unless otherwise specified).
(3) If Military/Aerospace specified devices are required, contact the Texas Instruments Sales Office/Distributors for availability and specifications.
(4) When the input voltage at any pin exceeds the power supply (that is, VIN < GND or VIN > VA), the current at that pin must be limited to 10 mA. The 20-mA maximum package input current rating limits the number of pins that can safely exceed the power supplies with an input current of 10 mA to two. The Absolute Maximum Ratings does not apply to the VA pin. The current into the VA pin is limited by the analog supply voltage specification.
(5) The absolute maximum junction temperature (TJmax) for this device is 150°C. The maximum allowable power dissipation is dictated by TJmax, the junction-to-ambient thermal resistance (RθJA), and the ambient temperature (TA), and can be calculated using the formula PDMAX = (TJmax − TA) / RθJA. The values for maximum power dissipation listed above is reached only when the device is operated in a severe fault condition (that is, when input or output pins are driven beyond the power supply voltages, or the power supply polarity is reversed). Such conditions must always be avoided.

7.2 ESD Ratings

VALUE UNIT
V(ESD) Electrostatic discharge Human-body model (HBM), per ANSI/ESDA/JEDEC JS-001(1)(2) ±2500 V
Machine model (MM)(3) ±250
(1) JEDEC document JEP155 states that 500-V HBM allows safe manufacturing with a standard ESD control process.
(2) Human-body model is 100-pF capacitor discharged through a 1.5-kΩ resistor.
(3) Machine model is 220-pF discharged through 0 Ω.

7.3 Recommended Operating Conditions

over operating free-air temperature range (unless otherwise noted)(1)(2)
MIN NOM MAX UNIT
VA Supply voltage 2.7 5.25 V
Digital input voltage –0.3 VA V
Analog input voltage 0 VA V
Clock frequency 0.8 3.2 MHz
TA Operating temperature –40 85 °C
(1) Recommended Operating Ratings indicate conditions for which the device is functional, but do not ensure specific performance limits. For ensured specifications and test conditions, see the Electrical Characteristics. The ensured specifications apply only for the test conditions listed. Some performance characteristics may degrade when the device is not operated under the listed test conditions.
(2) All voltages are measured with respect to GND = 0 V (unless otherwise specified).

7.4 Thermal Information

THERMAL METRIC(1)(2) ADC084S021 UNIT
DGK (VSSOP)
10 PINS
RθJA Junction-to-ambient thermal resistance 190 °C/W
RθJC(top) Junction-to-case (top) thermal resistance 61.3 °C/W
RθJB Junction-to-board thermal resistance 90 °C/W
ψJT Junction-to-top characterization parameter 7.6 °C/W
ψJB Junction-to-board characterization parameter 88.6 °C/W
(1) For more information about traditional and new thermal metrics, see the Semiconductor and IC Package Thermal Metrics application report.
(2) Reflow temperature profiles are different for lead-free and non-lead-free packages.

7.5 Electrical Characteristics

VA = 2.7 V to 5.25 V, GND = 0 V, fSCLK = 0.8 MHz to 3.2 MHz, fSAMPLE = 50 ksps to 200 ksps, CL = 50 pF, and TA = 25°C (unless otherwise noted)(1)
PARAMETER TEST CONDITIONS MIN(2) TYP MAX(2) UNIT
STATIC CONVERTER CHARACTERISTICS
Resolution with no missing codes 8 Bits
INL Integral non-linearity ±0.04 ±0.2 LSB
DNL Differential non-linearity ±0.04 ±0.2 LSB
VOFF Offset error 0.52 ±0.7 LSB
OEM Channel-to-channel offset error match ±0.01 ±0.3 LSB
FSE Full-scale error 0.51 ±0.7 LSB
FSEM Channel-to-channel full-scale error match 0.01 ±0.3 LSB
DYNAMIC CONVERTER CHARACTERISTICS
SINAD Signal-to-noise plus distortion ratio VA = 2.7 V to 5.25 V
fIN = 39.9 kHz, –0.02 dBFS
49.1 49.6 dB
SNR Signal-to-noise ratio VA = 2.7 V to 5.25 V
fIN = 39.9 kHz, –0.02 dBFS
49.2 49.6 dB
THD Total harmonic distortion VA = 2.7 V to 5.25 V
fIN = 39.9 kHz, –0.02 dBFS
−76 −62 dB
SFDR Spurious-free dynamic range VA = 2.7 V to 5.25 V
fIN = 39.9 kHz, −0.02 dBFS
63 68 dB
ENOB Effective number of bits VA = 2.7 V to 5.25 V
fIN = 39.9 kHz, –0.02 dBFS
7.9 Bits
Channel-to-channel crosstalk VA = 5.25 V
fIN = 39.9 kHz
−73 dB
IMD Intermodulation distortion, second order terms VA = 5.25 V
fa = 40.161 kHz, fb = 41.015 kHz
−78 dB
Intermodulation distortion, third order terms VA = 5.25 V
fa = 40.161 kHz, fb = 41.015 kHz
−73
FPBW Full power bandwidth, –3 dB VA = 5 V 11 MHz
VA = 3 V 8
ANALOG INPUT CHARACTERISTICS
VIN Input range 0 to VA V
IDCL DC leakage current ±1 µA
CINA Input capacitance Track mode 33 pF
Hold mode 3
DIGITAL INPUT CHARACTERISTICS
VIH Input high voltage VA = 5.25 V 2.4 V
VA = 3.6 V 2.1
VIL Input low voltage 0.8 V
IIN Input current VIN = 0 V or VA ±10 µA
CIND Digital input capacitance 2 4 pF
DIGITAL OUTPUT CHARACTERISTICS
VOH Output high voltage ISOURCE = 200 µA VA – 0.5 VA – 0.03 V
ISOURCE = 1 mA VA – 0.1
VOL Output low voltage ISINK = 200 µA 0.03 0.4 V
ISINK = 1 mA 0.1
IOZH, IOZL TRI-STATE® leakage current ±1 µA
COUT TRI-STATE® output capacitance 2 4 pF
Output coding Straight (natural) binary
POWER SUPPLY CHARACTERISTICS (CL = 10 pF)
VA Supply voltage 2.7 5.25 V
IA Supply current, normal mode
(operational, CS low)
VA = 5.25 V,
fSAMPLE = 200 ksps, fIN = 40 kHz
1.1 1.7 mA
VA = 3.6 V,
fSAMPLE = 200 ksps, fIN = 40 kHz
0.45 0.8
Supply current, shutdown
(CS high)
VA = 5.25 V,
fSAMPLE = 0 ksps
200 nA
VA = 3.6 V,
fSAMPLE = 0 ksps
200
PD Power consumption, normal mode
(operational, CS low)
VA = 5.25 V 5.8 8.9 mW
VA = 3.6 V 1.6 2.9
Power consumption, shutdown
(CS high)
VA = 5.25 V 1.05 µW
VA = 3.6 V 0.72
AC ELECTRICAL CHARACTERISTICS
fSCLK Clock frequency  (3) 0.8 3.2 MHz
fS Sample rate  (3) 50 200 ksps
tCONV Conversion time 13 SCLK cycles
DC SCLK duty cycle fSCLK = 3.2 MHz 30% 50% 70%
tACQ Track or hold acquisition time Full-scale step input 3 SCLK cycles
Throughput time Acquisition time + conversion time 16 SCLK cycles
(1) Tested limits are specified to TI's AOQL (Average Outgoing Quality Level).
(2) Minimum and maximum specification limits are specified by design, test, or statistical analysis.
(3) This is the frequency range over which the electrical performance is ensured. The device is functional over a wider range which is specified in Recommended Operating Conditions.

7.6 Timing Requirements

VA = 2.7 V to 5.25 V, GND = 0 V, fSCLK = 0.8 MHz to 3.2 MHz, fSAMPLE = 50 ksps to 200 ksps, CL = 50 pF, and TA = 25°C (unless otherwise noted)(1)
PARAMETER TEST CONDITIONS MIN NOM MAX UNIT
tCSU Setup time SCLK high to CS falling edge(2) VA = 3 V 10 ns
VA = 5 V 10 –0.5
tCLH Hold time SCLK low to CS falling edge(2) VA = 3 V 10 4.5 ns
VA = 5 V 10 1.5
tEN Delay from CS until DOUT active VA = 3 V 4 30 ns
VA = 5 V 2 30
tACC Data access time after SCLK falling edge VA = 3 V 16.5 30 ns
VA = 5 V 15 30
tSU Data setup time prior to SCLK rising edge 10 3 ns
tH Data valid SCLK hold time 10 3 ns
tCH SCLK high pulse width 0.3 × tSCLK 0.5 × tSCLK ns
tCL SCLK low pulse width 0.3 × tSCLK 0.5 × tSCLK ns
tDIS CS rising edge to DOUT high-impedance Output falling VA = 3 V 1.7 20 ns
VA = 5 V 1.2 20
Output rising VA = 3 V 1 20
VA = 5 V 1 20
(1) Tested limits are specified to TI's AOQL (Average Outgoing Quality Level).
(2) Clock may be either high or low when CS is asserted as long as setup and hold times tCSU and tCLH are strictly observed.
ADC084S021 20124551.gif Figure 1. Operational Timing Diagram
ADC084S021 20124508.gif Figure 2. Timing Test Circuit
ADC084S021 20124506.gif Figure 3. Serial Timing Diagram
ADC084S021 20124550.gif Figure 4. SCLK and CS Timing Parameters

7.7 Typical Characteristics

TA = 25°C, fSAMPLE = 50 ksps to 200 ksps, fSCLK = 0.8 MHz to 3.2 MHz, and fIN = 39.9 kHz (unless otherwise noted)
ADC084S021 20124520.png Figure 5. DNL – VA = 3 V
ADC084S021 20124562.png Figure 7. DNL – VA = 5 V
ADC084S021 20124522.png Figure 9. DNL vs Supply
ADC084S021 20124524.png Figure 11. DNL vs Clock Frequency
ADC084S021 20124526.png Figure 13. DNL vs Clock Duty Cycle
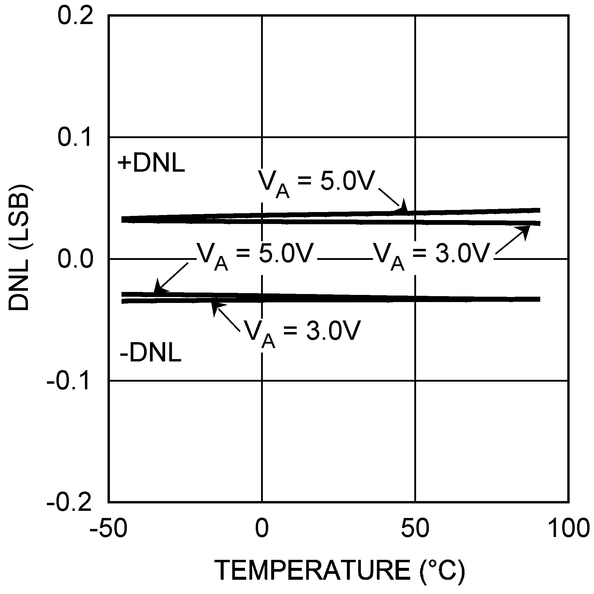
ADC084S021 20124528.png Figure 15. DNL vs Temperature
ADC084S021 20124530.png Figure 17. SNR vs Supply
ADC084S021 20124531.png Figure 19. SNR vs Clock Frequency
ADC084S021 20124532.png Figure 21. SNR vs Clock Duty Cycle
ADC084S021 20124533.png Figure 23. SNR vs Input Frequency
ADC084S021 20124534.png Figure 25. SNR vs Temperature
ADC084S021 20124540.png Figure 27. SFDR vs Supply
ADC084S021 20124541.png Figure 29. SFDR vs Clock Frequency
ADC084S021 20124542.png Figure 31. SFDR vs Clock Duty Cycle
ADC084S021 20124543.png Figure 33. SFDR vs Input Frequency
ADC084S021 20124544.png Figure 35. SFDR vs Temperature
ADC084S021 20124552.png Figure 37. ENOB vs Supply
ADC084S021 20124554.png Figure 39. ENOB vs Clock Duty Cycle
ADC084S021 20124556.png Figure 41. ENOB vs Temperature
ADC084S021 20124560.png Figure 43. Spectral Response: 5 V, 200 ksps
ADC084S021 20124521.png Figure 6. INL – VA = 3 V
ADC084S021 20124563.png Figure 8. INL – VA = 5 V
ADC084S021 20124523.png Figure 10. INL vs Supply
ADC084S021 20124525.png Figure 12. INL vs Clock Frequency
ADC084S021 20124527.png Figure 14. INL vs Clock Duty Cycle
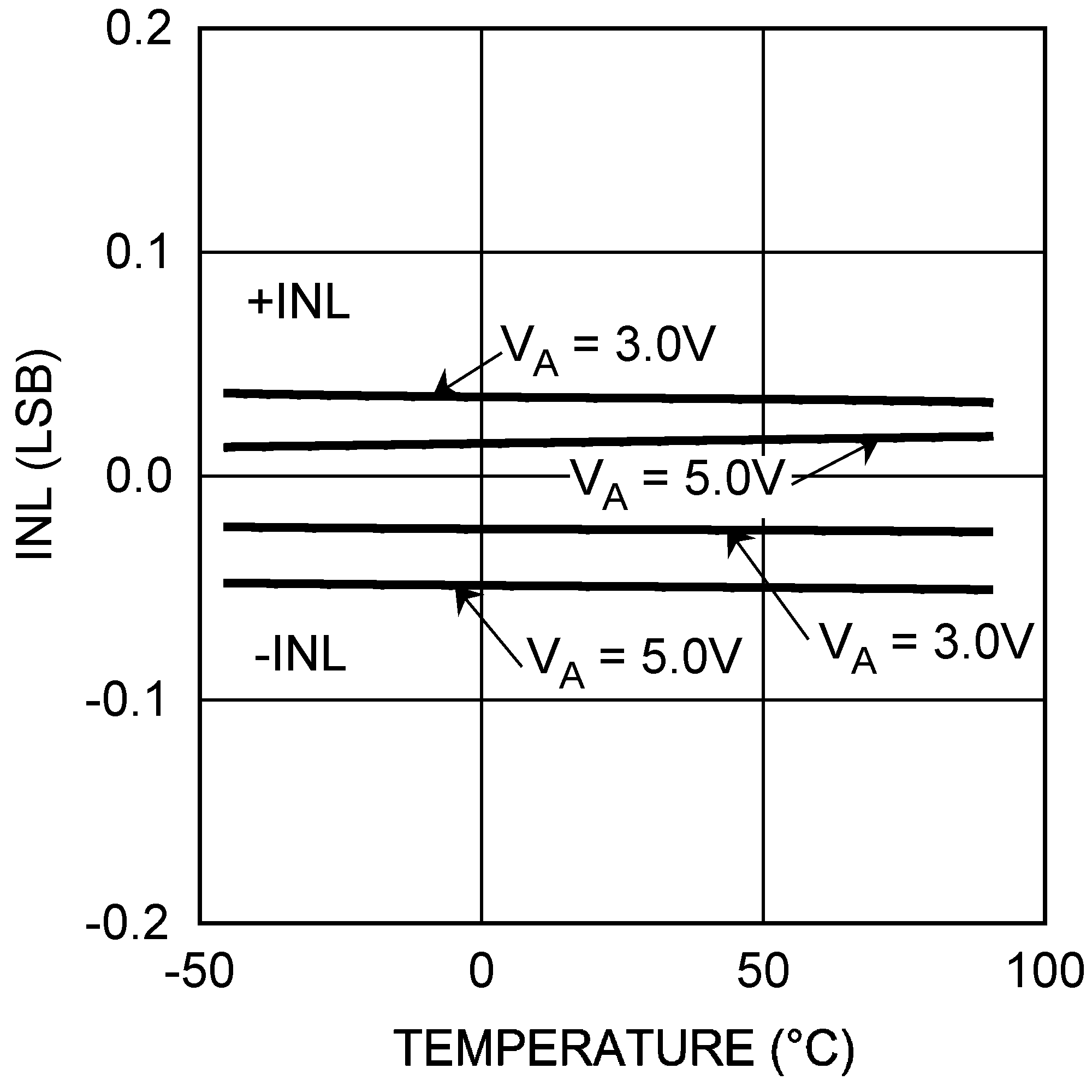
ADC084S021 20124529.png Figure 16. INL vs Temperature
ADC084S021 20124535.png Figure 18. THD vs Supply
ADC084S021 20124536.png Figure 20. THD vs Clock Frequency
ADC084S021 20124537.png Figure 22. THD vs Clock Duty Cycle
ADC084S021 20124538.png Figure 24. THD vs Input Frequency
ADC084S021 20124539.png Figure 26. THD vs Temperature
ADC084S021 20124545.png Figure 28. SINAD vs Supply
ADC084S021 20124546.png Figure 30. SINAD vs Clock Frequency
ADC084S021 20124547.png Figure 32. SINAD vs Clock Duty Cycle
ADC084S021 20124548.png Figure 34. SINAD vs Input Frequency
ADC084S021 20124549.png Figure 36. SINAD vs Temperature
ADC084S021 20124553.png Figure 38. ENOB vs Clock Frequency
ADC084S021 20124555.png Figure 40. ENOB vs Input Frequency
ADC084S021 20124559.png Figure 42. Spectral Response: 3 V, 200 ksps
ADC084S021 20124561.png Figure 44. Power Consumption vs Throughput