ZHCSC62D March 2014 – December 2017 UCC28630 , UCC28631 , UCC28632 , UCC28633 , UCC28634
PRODUCTION DATA.
The required values for the magnetic sense divider network are calculated from Equation 11 and Equation 12. For the RM10/I transformer used in the PWR572 EVM, the secondary-side to bias leakage inductance was measured and found to be approximately 4%. This figure can be reasonably estimated as the ratio of the inductance value measured across the secondary-side pins with the bias pins shorted together (primary winding should remain open-circuit), to the inductance value measured across the secondary-side pins with all other windings open:

RA is calculated as shown in Equation 62.

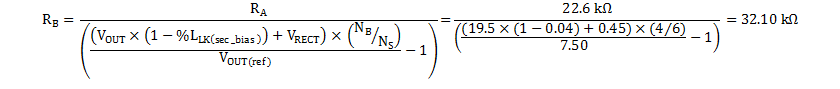
The nearest standard E96 value 22.6 kΩ is selected. RB may then be calculated to set VOUT at 19.5 V.

The nearest E96 value is 32.4 kΩ, which could be used, but results in some set-point regulation error. As shown in Figure 44, the setpoint may be fine-tuned by using two parallel resistors for RB. In this case use values of 39 kΩ and 180 kΩ, to give a net equivalent of 32.05 kΩ, very close to the target value in Equation 63.
Note that the pull-up diode to DRV pin should be a standard switching signal diode such as BAS21 or similar. The reverse recovery of the diode should be 100 ns or less. A slow-recovery diode clamps the VSENSE pin low for an initial portion of the flyback interval, and may impair or prevent the ability to take a valid output voltage sample.