SLVSAB3I May   2010  – January 2016 DRV8832

PRODUCTION DATA.  

  1. Features
  2. Applications
  3. Description
  4. Revision History
  5. Pin Configuration and Functions
  6. Specifications
    1. 6.1 Absolute Maximum Ratings
    2. 6.2 ESD Ratings
    3. 6.3 Recommended Operating Conditions
    4. 6.4 Thermal Information
    5. 6.5 Electrical Characteristics
    6. 6.6 Typical Characteristics
  7. Detailed Description
    1. 7.1 Overview
    2. 7.2 Functional Block Diagram
    3. 7.3 Feature Description
      1. 7.3.1 PWM Motor Driver
      2. 7.3.2 Bridge Control
      3. 7.3.3 Voltage Regulation
      4. 7.3.4 Reference Output
      5. 7.3.5 Current Limit
      6. 7.3.6 Protection Circuits
        1. 7.3.6.1 Overcurrent Protection (OCP)
        2. 7.3.6.2 Thermal Shutdown (TSD)
        3. 7.3.6.3 Undervoltage Lockout (UVLO)
    4. 7.4 Device Functional Modes
  8. Application and Implementation
    1. 8.1 Application Information
    2. 8.2 Typical Application
      1. 8.2.1 Design Requirements
      2. 8.2.2 Detailed Design Procedure
        1. 8.2.2.1 Motor Voltage
        2. 8.2.2.2 Motor Current Trip Point
        3. 8.2.2.3 Sense Resistor
        4. 8.2.2.4 Low Power Operation
      3. 8.2.3 Application Curves
  9. Power Supply Recommendations
    1. 9.1 Bulk Capacitance
    2. 9.2 Power Supervisor
  10. 10Layout
    1. 10.1 Layout Guidelines
    2. 10.2 Layout Example
    3. 10.3 Thermal Considerations
      1. 10.3.1 Power Dissipation
      2. 10.3.2 Heatsinking
  11. 11Device and Documentation Support
    1. 11.1 Documentation Support
      1. 11.1.1 Related Documentation
    2. 11.2 Community Resources
    3. 11.3 Trademarks
    4. 11.4 Electrostatic Discharge Caution
    5. 11.5 Glossary
  12. 12Mechanical, Packaging, and Orderable Information

6 Specifications

6.1 Absolute Maximum Ratings

over operating free-air temperature range (unless otherwise noted) (1)(2)
MIN MAX UNIT
Power supply voltage, VCC –0.3 7 V
Input pin voltage –0.5 7 V
Peak motor drive output current(3) Internally limited A
Continuous motor drive output current(3) –1 1 A
Continuous total power dissipation See Thermal Information
TJ Operating virtual junction temperature –40 150 °C
Tstg Storage temperature –60 150 °C
(1) Stresses beyond those listed under Absolute Maximum Ratings may cause permanent damage to the device. These are stress ratings only, which do not imply functional operation of the device at these or any other conditions beyond those indicated under Recommended Operating Conditions. Exposure to absolute-maximum-rated conditions for extended periods may affect device reliability.
(2) All voltage values are with respect to network ground terminal.
(3) Power dissipation and thermal limits must be observed.

6.2 ESD Ratings

VALUE UNIT
V(ESD) Electrostatic discharge Human body model (HBM), per ANSI/ESDA/JEDEC JS-001, all pins(1) ±2500 V
Charged device model (CDM), per JEDEC specification JESD22-C101, all pins(2) ±1000
(1) JEDEC document JEP155 states that 500-V HBM allows safe manufacturing with a standard ESD control process.
(2) JEDEC document JEP157 states that 250-V CDM allows safe manufacturing with a standard ESD control process.

6.3 Recommended Operating Conditions

over operating free-air temperature range (unless otherwise noted)
MIN NOM MAX UNIT
VCC Motor power supply voltage 2.75 6.8 V
IOUT Continuous or peak H-bridge output current(1) 0 1 A
(1) Power dissipation and thermal limits must be observed.

6.4 Thermal Information

THERMAL METRIC(1) DRV8832 UNIT
DGQ (MSOP PowerPAD) DRC (VSON)
10 PINS 10 PINS
RθJA Junction-to-ambient thermal resistance 69.3 50.2 °C/W
RθJC(top) Junction-to-case (top) thermal resistance 63.5 78.4 °C/W
RθJB Junction-to-board thermal resistance 51.6 18.8 °C/W
ψJT Junction-to-top characterization parameter 1.5 1.1 °C/W
ψJB Junction-to-board characterization parameter 23.2 17.9 °C/W
RθJC(bot) Junction-to-case (bottom) thermal resistance 9.5 5.1 °C/W
(1) For more information about traditional and new thermal metrics, see the Semiconductor and IC Package Thermal Metrics application report, SPRA953.

6.5 Electrical Characteristics

VCC = 2.75 V to 6.8 V, TA = –40°C to 85°C (unless otherwise noted)
PARAMETER TEST CONDITIONS MIN TYP MAX UNIT
POWER SUPPLIES
IVCC VCC operating supply current VCC = 5 V 1.4 2 mA
IVCCQ VCC sleep mode supply current VCC = 5 V, TA = 25°C 0.3 1 μA
VUVLO VCC undervoltage lockout voltage VCC rising 2.575 2.75 V
VCC falling 2.47
LOGIC-LEVEL INPUTS
VIL Input low voltage 0.25 × VCC V
VHYS Input hysteresis 0.08 × Vcc V
VIH Input high voltage 0.5 × VCC V
IIL Input low current VIN = 0 –10 10 μA
IIH Input high current VIN = 3.3 V 50 μA
LOGIC-LEVEL OUTPUTS (FAULTn)
VOL Output low voltage VCC = 5 V, IOL = 4 mA(1) 0.5 V
H-BRIDGE FETS
RDS(ON) HS FET on resistance VCC = 5 V, I O = 0.8 A, TJ = 85°C 290 400
VCC = 5 V, I O = 0.8 A, TJ = 25°C 250
RDS(ON) LS FET on resistance VCC = 5 V, I O = 0.8 A, TJ = 85°C 230 320
VCC = 5 V, I O = 0.8 A, TJ = 25°C 200
IOFF Off-state leakage current –20 20 μA
MOTOR DRIVER
tR Rise time VCC = 3 V, load = 4 Ω 50 300 ns
tF Fall time VCC = 3 V, load = 4 Ω 50 300 ns
fSW Internal PWM frequency 44.5 kHz
PROTECTION CIRCUITS
IOCP Overcurrent protection trip level 1.3 3 A
tOCP OCP deglitch time 2 μs
TTSD Thermal shutdown temperature Die temperature(1) 150 160 180 °C
VOLTAGE CONTROL
VREF Reference output voltage 1.235 1.285 1.335 V
ΔVLINE Line regulation VCC = 3.3 V to 6 V, VOUT = 3 V(1)
IOUT = 500 mA
±1%
ΔVLOAD Load regulation VCC = 5 V, VOUT = 3 V
IOUT = 200 mA to 800 mA(1)
±1%
CURRENT LIMIT
VILIM Current limit sense voltage 160 200 240 mV
tILIM Current limit fault deglitch time 275 ms
RISEN Current limit set resistance (external resistor value) 0 1 Ω
(1) Not production tested.

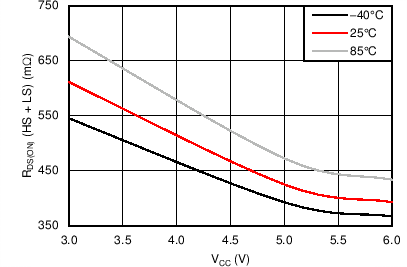
6.6 Typical Characteristics

DRV8832 eff_vs_iload_lvsab2.gif
Figure 1. Efficiency vs Load Current
(VIN = 5 V, VOUT = 3 V)
DRV8832 C001_SLVSAB3.png Figure 3. IVCC vs VVCC
DRV8832 C003_SLVSAB3.png Figure 5. RDS(ON) vs VVCC
DRV8832 eff_vs_vout_lvsab3.gif Figure 2. Efficiency vs Output Voltage
(VIN = 5 V, IOUT = 500 mA)
DRV8832 C002_SLVSAB3.gif Figure 4. IVCCQ vs VVCC
DRV8832 C004_SLVSAB3.png Figure 6. RDS(ON) HS + LS vs Temperature