ZHCSGK3B July   2017  – April 2018 TSV911 , TSV912 , TSV914

PRODUCTION DATA.  

  1. 具有
  2. 应用
  3. 说明
    1.     Device Images
      1.      低侧电机控制
      2.      小信号过冲与负载电容间的关系
  4. 修订历史记录
  5. 器件比较表
  6. 引脚配置和功能
    1.     引脚功能:TSV911
    2.     引脚功能:TSV912
    3.     引脚功能:TSV914
  7. 规格
    1. 7.1 绝对最大额定值
    2. 7.2 ESD 额定值
    3. 7.3 建议运行条件
    4. 7.4 热性能信息:TSV912
    5. 7.5 热性能信息:TSV914
    6. 7.6 电气特性:VS(总电源电压)= (V+) – (V–) = 2.5V 至 5.5V
    7. 7.7 典型特性
  8. 详细 说明
    1. 8.1 概要
    2. 8.2 功能框图
    3. 8.3 特性 描述
      1. 8.3.1 轨至轨输入
      2. 8.3.2 轨至轨输出
      3. 8.3.3 过载恢复
    4. 8.4 器件功能模式
  9. 应用和实现
    1. 9.1 应用信息
    2. 9.2 典型应用
      1. 9.2.1 设计要求
      2. 9.2.2 详细设计流程
      3. 9.2.3 应用曲线
  10. 10电源建议
    1. 10.1 输入和 ESD 保护
  11. 11布局
    1. 11.1 布局指南
    2. 11.2 布局示例
  12. 12器件和文档支持
    1. 12.1 文档支持
      1. 12.1.1 相关文档
    2. 12.2 相关链接
    3. 12.3 接收文档更新通知
    4. 12.4 社区资源
    5. 12.5 商标
    6. 12.6 静电放电警告
    7. 12.7 术语表
  13. 13机械、封装和可订购信息

封装选项

请参考 PDF 数据表获取器件具体的封装图。

机械数据 (封装 | 引脚)
  • DBV|5
  • DCK|5
散热焊盘机械数据 (封装 | 引脚)
订购信息

典型特性

TA = 25°C 时,VS = 5.5V,RL = 10kΩ 连接至 VS / 2,VCM = VS / 2,且 VOUT = VS / 2(除非另有说明)
TSV911 TSV912 TSV914 C001_SBOS637.png
Figure 1. 失调电压产生分布
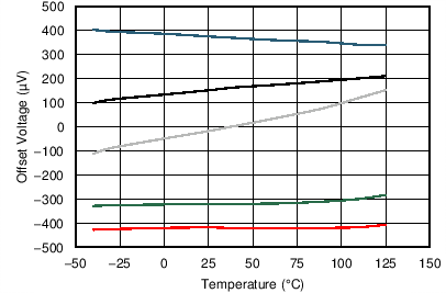
TSV911 TSV912 TSV914 C003_SBOS839.png
Figure 3. 失调电压与温度间的关系
TSV911 TSV912 TSV914 C004_SBOS878.gif
VS = 2.5V 至 5.5V
Figure 5. 失调电压与电源间的关系
TSV911 TSV912 TSV914 C007_SBOS878.gifFigure 7. 闭环增益与频率间的关系
TSV911 TSV912 TSV914 C009_SBOS839.png
V+ = 2.75V,V– = –2.75V
Figure 9. 输出电压摆幅与输出电流间的关系
TSV911 TSV912 TSV914 C012_SBOS839.png
VS = 5.5V VCM = (V–) – 0.1V 至 (V+) + 0.1V RL = 10kΩ
TA= –40°C 至 +125°C
Figure 11. CMRR 与温度间的关系
TSV911 TSV912 TSV914 C013_SBOS839.png
VS = 2.5V 至 5.5V
Figure 13. PSRR 与温度间的关系
TSV911 TSV912 TSV914 C015_SBOS878.gif
Figure 15. 输入电压噪声频谱密度与频率间的关系
TSV911 TSV912 TSV914 C018_SBOS839.png
VS = 5.5V VCM = 2.5V RL = 2kΩ
G = 1 BW = 80kHz f = 1kHz
Figure 17. THD + N 与幅度间的关系
TSV911 TSV912 TSV914 C020_SBOS878.gif
Figure 19. 静态电流与电源电压间的关系
TSV911 TSV912 TSV914 C024_SBOS878.gif
Figure 21. 开环输出阻抗与频率间的关系
TSV911 TSV912 TSV914 C026_SBOS839.png
V+ = 2.75V V– = –2.75V RL = 10kΩ
G = –1V/V VOUT 阶跃 = 100mVp-p
Figure 23. 小信号过冲与负载电容间的关系
TSV911 TSV912 TSV914 C028_SBOS839.png
V+ = 2.75V,V– = –2.75V,G = –10V/V
Figure 25. 过载恢复
TSV911 TSV912 TSV914 C031_SBOS839.png
V+ = 2.75V V– = –2.75V CL = 100pF
G = 1V/V
Figure 27. 大信号阶跃响应
TSV911 TSV912 TSV914 C041_SBOS839.png
PRF = –10dBm
Figure 29. 以同相输入为参考的电磁干扰抑制比 (EMIRR+)
与频率间的关系
TSV911 TSV912 TSV914 C037_SBOS839.png
VS = 5.5V
Figure 31. 相位裕度与容性负载间的关系
TSV911 TSV912 TSV914 C032_SBOS839.png
Figure 33. 大信号建立时间(正)
TSV911 TSV912 TSV914 C002_SBOS839.png
TA = –40°C 至 +125°C
Figure 2. 失调电压漂移分布
TSV911 TSV912 TSV914 C005_SBOS839.png
V+ = 2.75V,V– = –2.75V
Figure 4. 失调电压与共模电压间的关系
TSV911 TSV912 TSV914 C006b_SBOS878.gif
CL = 10pF
Figure 6. 开环增益和相位与频率间的关系
TSV911 TSV912 TSV914 C008_SBOS839.pngFigure 8. 输入偏置电流与温度间的关系
TSV911 TSV912 TSV914 C011_SBOS878.gif
Figure 10. CMRR 和 PSRR 与频率间的关系
(以输入为参考)
TSV911 TSV912 TSV914 C016_SBOS839.png
VS = 5.5V VCM = (V–) –0.1V 至 (V+) –1.4V RL= 10kΩ
TA= –40°C 至 +125°C
Figure 12. CMRR 与温度间的关系
TSV911 TSV912 TSV914 C014_SBOS839.png
VS = 2.5V 至 5.5V
Figure 14. 0.1Hz 至 10Hz 输入电压噪声
TSV911 TSV912 TSV914 C017_SBOS878.gif
VS = 5.5V VCM = 2.5V RL = 2kΩ
G = 1 VOUT = 0.5VRMS BW = 80kHz
Figure 16. THD + N 与频率间的关系
TSV911 TSV912 TSV914 C019_SBOS839.png
VS = 5.5V VCM = 2.5V RL = 2kΩ
G = –1 BW = 80kHz f = 1kHz
Figure 18. THD + N 与幅度间的关系
TSV911 TSV912 TSV914 C021_SBOS839.png
Figure 20. 静态电流与温度间的关系
TSV911 TSV912 TSV914 C025_SBOS839.png
V+ = 2.75V V– = –2.75V G = 1V/V
RL = 10kΩ VOUT 阶跃 = 100mVp-p
Figure 22. 小信号过冲与负载电容间的关系
TSV911 TSV912 TSV914 C036_SBOS839.png
V+ = 2.75V,V– = –2.75V
Figure 24. 无相位反转
TSV911 TSV912 TSV914 C030_SBOS839.png
V+ = 2.75V,V– = –2.75V,G = 1V/V
Figure 26. 小信号阶跃响应
TSV911 TSV912 TSV914 C034_SBOS839.png
Figure 28. 短路电流与温度间的关系
TSV911 TSV912 TSV914 C038_SBOS878.gif
V+ = 2.75V,V– = –2.75V
Figure 30. 通道分离与频率间的关系
TSV911 TSV912 TSV914 C023_SBOS839.png
VS = 5.5V
Figure 32. 开环电压增益与输出电压间的关系
TSV911 TSV912 TSV914 C033_SBOS839.png
Figure 34. 大信号建立时间(负)