SLVS710C January   2007  – February 2017 TPS65050

PRODUCTION DATA.  

  1. Features
  2. Applications
  3. Description
  4. Revision History
  5. Device Options
  6. Pin Configuration and Functions
  7. Specifications
    1. 7.1 Absolute Maximum Ratings
    2. 7.2 ESD Ratings
    3. 7.3 Recommended Operating Conditions
    4. 7.4 Thermal Information
    5. 7.5 Electrical Characteristics
    6. 7.6 Dissipation Ratings
    7. 7.7 Typical Characteristics
  8. Detailed Description
    1. 8.1 Overview
    2. 8.2 Functional Block Diagrams
    3. 8.3 Feature Description
      1. 8.3.1  Operation of DCDC Converters
        1. 8.3.1.1 DCDC1 Converter
        2. 8.3.1.2 DCDC2 Converter
      2. 8.3.2  Power-Save Mode
      3. 8.3.3  Dynamic Voltage Positioning
      4. 8.3.4  Soft Start
      5. 8.3.5  100% Duty Cycle Low Dropout Operation
      6. 8.3.6  Undervoltage Lockout
      7. 8.3.7  Mode Selection
      8. 8.3.8  Enable
      9. 8.3.9  RESET
      10. 8.3.10 Push-Button ON-OFF (PB-ON-OFF)
      11. 8.3.11 Short-Circuit Protection
      12. 8.3.12 Thermal Shutdown
      13. 8.3.13 Low Dropout Voltage Regulators
    4. 8.4 Device Functional Modes
  9. Application and Implementation
    1. 9.1 Application Information
    2. 9.2 Typical Application
      1. 9.2.1 Design Requirements
      2. 9.2.2 Detailed Design Procedure
        1. 9.2.2.1 Output Voltage Setting
          1. 9.2.2.1.1 Converter 1 (DCDC1)
          2. 9.2.2.1.2 Converter 2 (DCDC2)
        2. 9.2.2.2 Output Filter Design (Inductor and Output Capacitor)
          1. 9.2.2.2.1 Inductor Selection
          2. 9.2.2.2.2 Output Capacitor Selection
          3. 9.2.2.2.3 Input Capacitor Selection
        3. 9.2.2.3 Low Drop Out Voltage Regulators (LDOs)
        4. 9.2.2.4 PB-ONOFF and Sequencing
        5. 9.2.2.5 RESET
      3. 9.2.3 Application Curves
  10. 10Power Supply Recommendations
  11. 11Layout
    1. 11.1 Layout Guidelines
    2. 11.2 Layout Example
  12. 12Device and Documentation Support
    1. 12.1 Device Support
      1. 12.1.1 Third-Party Products Disclaimer
    2. 12.2 Related Links
    3. 12.3 Receiving Notification of Documentation Updates
    4. 12.4 Community Resource
    5. 12.5 Trademarks
    6. 12.6 Electrostatic Discharge Caution
    7. 12.7 Glossary
  13. 13Mechanical, Packaging, and Orderable Information

封装选项

机械数据 (封装 | 引脚)
散热焊盘机械数据 (封装 | 引脚)
订购信息

Application and Implementation

NOTE

Information in the following applications sections is not part of the TI component specification, and TI does not warrant its accuracy or completeness. TI’s customers are responsible for determining suitability of components for their purposes. Customers should validate and test their design implementation to confirm system functionality.

Application Information

This device integrates two step-down converters and four LDOs, which can be used to power the voltage rails needed by a processor or any other application. The PMIC can be controlled through the ENABLE and MODE pins or sequenced from the VIN using RC delay circuits. There is a logic output, RESET, provide the application processor or load a logic signal indicating power good or reset.

Typical Application

TPS65050 TPS65051 TPS65052 TPS65054 TPS65056 pwrup_app_lvs710.gif Figure 15. Typical Example Application With PB_ON/OFF Circuit

Design Requirements

Table 2 lists the design requirements for this example.

Table 2. Design Parameters

PARAMETER VALUE
DCDC1 and DCDC2 input voltage 2.5 V to 6 V
DCDC1 output voltage 2.85 V
DCDC1 output current 600 mA
DCDC2 output voltage 1.575 V
DCDC2 output current 600 mA
LDO1 output voltage 3.3 V
LDO1 output current 400 mA
LDO2 output voltage 2.5 V
LDO2 output current 400 mA
LDO3 output voltage 1.5 V
LDO3 output current 200 mA
LDO4 output voltage 1.3 V
LDO4 output current 200 mA

Detailed Design Procedure

Output Voltage Setting

Converter 1 (DCDC1)

The output voltage of converter 1 can be set by an external resistor network. The output voltage can be calculated using Equation 4.

Equation 4. TPS65050 TPS65051 TPS65052 TPS65054 TPS65056 eq_vo_r1_lvs710.gif

with an internal reference voltage Vref, 0.6 V .

TI recommends setting the total resistance of R1 + R2 to less than 1 MΩ. The resistor network connects to the input of the feedback amplifier, therefore, requiring a small feedforward capacitor in parallel to R1. A typical value of 47 pF is sufficient.

For the TPS65052 and TPS65056 devices, the DCDC1 output voltage is internally fixed to 3.3 V.

Converter 2 (DCDC2)

The output voltage of converter 2 can be selected as following:

  • Adjustable output voltage defined with external resistor network on pin DEFDCDC2. This option is available for the TPS65050 and TPS65051 devices.
  • Two default fixed output voltages are selectable by pin DEFDCDC2 (see Table 3). This option is available for the TPS65052, TPS65054, and TPS65056 devices.

Table 3. Default Fixed Output Voltages

Converter 2 DEFDCDC2 = low DEFDCDC2 = high
TPS65050
TPS65051
TPS65052 1 V 1.3 V
TPS65054 1.3 V 1.05 V
TPS65056 1 V 1.3 V

The adjustable output voltage can be calculated similarly to the DCDC1 converter. Setting the total resistance of R3 + R4 to less than 1 MΩ is recommended. Route the DEFDCDC2 line separate from noise sources, such as the inductor or the L2 line. The VDCDC2 line needs to be directly connected to the output capacitor. As the VDCDC2 line is the feedback to the internal amplifier, no feedforward capacitor at R3 is needed.

Using an external resistor divider at DEFDCDC2:

TPS65050 TPS65051 TPS65052 TPS65054 TPS65056 ext_res_lvs710.gif Figure 16. External Resistor Divider

V(DEFDCDC2) = 0.6 V

Equation 5. TPS65050 TPS65051 TPS65052 TPS65054 TPS65056 eq_vo_r3r4_lvs710.gif

See Table 4 for typical resistor values:

Table 4. Typical Resistor Values

OUTPUT VOLTAGE R1 R2 NOMINAL VOLTAGE Typical CFF
3.3 V 680 kΩ 150 kΩ 3.32 V 47 pF
3 V 510 kΩ 130 kΩ 2.95 V 47 pF
2.85 V 560 kΩ 150 kΩ 2.84 V 47 pF
2.5 V 510 kΩ 160 kΩ 2.51 V 47 pF
1.8 V 300 kΩ 150 kΩ 1.8 v 47 pF
1.6 V 200 kΩ 120 kΩ 1.6 V 47 pF
1.5 V 300 kΩ 200 kΩ 1.5 V 47 pF
1.2 V 330 kΩ 330 kΩ 1.2 V 47 pF

Output Filter Design (Inductor and Output Capacitor)

Inductor Selection

The two converters operate with 2.2-μH output inductor. Larger or smaller inductor values can be used to optimize the performance of the device for specific operation conditions. The selected inductor has to be rated for its DC resistance and saturation current. The DC resistance of the inductance directly influences the efficiency of the converter. Therefore, an inductor with lowest DC resistance should be selected for highest efficiency. The minimum inductor value is 1.5 μH, but an output capacitor of 22 μF minimum is needed in this case. For an output voltage above 2.8 V, TI recommends an inductor value of 3.3 μH (minimum). Lower values result in an increased output voltage ripple in PFM mode.

Use Equation 6 to calculate the maximum inductor current under static load conditions. The saturation current of the inductor should be rated greater than the maximum inductor current as calculated with Equation 6. TI recommends this because during heavy load transient the inductor current rises above the calculated value.

Equation 6. TPS65050 TPS65051 TPS65052 TPS65054 TPS65056 eq_delta_il_lvs710.gif

where

  • f = Switching Frequency (2.25-MHz typical)
  • L = Inductor Value
  • Δ IL= Peak-to-peak inductor ripple current
  • ILmax = Maximum Inductor current

The highest inductor current occurs at maximum VI. Open core inductors have a soft saturation characteristic, and they can normally handle greater inductor currents versus a comparable shielded inductor.

A more conservative approach is to select the inductor current rating just for the maximum switch current of the corresponding converter. Consideration must be given to the difference in the core material from inductor to inductor which has an impact on the efficiency especially at high switching frequencies. See Table 5 and the typical applications for possible inductors.

Table 5. Tested Inductors

INDUCTOR TYPE INDUCTOR VALUE SUPPLIER
LPS3010 2.2 μH Coilcraft
LPS3015 3.3 μH Coilcraft
LPS4012 2.2 μH Coilcraft
VLF4012 2.2 μH TDK

Output Capacitor Selection

The advanced Fast Response voltage mode control scheme of the two converters allows the use of small ceramic capacitors with a value of 22-μF (typical) without having large output voltage undershoots and overshoots during heavy load transients. Ceramic capacitors having low ESR values result in lowest output voltage ripple, and are recommended.

If ceramic output capacitors are used, the capacitor RMS ripple current rating always meets the application requirements. For completeness, the RMS ripple current is calculated as:

Equation 7. TPS65050 TPS65051 TPS65052 TPS65054 TPS65056 eq_irsm_lvs710.gif

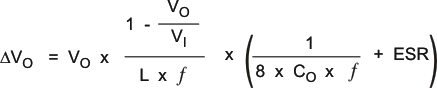
At nominal load current, the inductive converters operate in PWM mode, and the overall output voltage ripple is the sum of the voltage spike caused by the output capacitor ESR plus the voltage ripple caused by charging and discharging the output capacitor:

Equation 8. TPS65050 TPS65051 TPS65052 TPS65054 TPS65056 eq_delta_vo_lvs710.gif

where

  • the highest output voltage ripple occurs at the highest input voltage VI

At light load currents, the converters operate in Power-Save Mode and the output voltage ripple is dependent on the output capacitor value. The output voltage ripple is set by the internal comparator delay and the external capacitor. The typical output voltage ripple is less than 1% of the nominal output voltage.

Input Capacitor Selection

Because of the nature of the buck converter having a pulsating input current, a low ESR input capacitor is required for best input voltage filtering and minimizing the interference with other circuits caused by high input voltage spikes. The converters need a ceramic input capacitor of 10 μF. The input capacitor can be increased without any limit for better input voltage filtering.

Table 6. Possible Capacitors

CAPACITOR VALUE SIZE SUPPLIER TYPE
2.2 μF 0805 TDK C2012X5R0J226MT Ceramic
2.2 μF 0805 Taiyo Yuden JMK212BJ226MG Ceramic
10 μF 0805 Taiyo Yuden JMK212BJ106M Ceramic
10 μF 0805 TDK C2012X5R0J106M Ceramic
10 μF 0603 Taiyo Yuden JMK107BJ106MA Ceramic

Low Drop Out Voltage Regulators (LDOs)

The output voltage of all 4 LDOs in the TPS65051, TPS65054, and TPS65056 devices are set by an external resistor network. The output voltage is calculated using Equation 9.

Equation 9. TPS65050 TPS65051 TPS65052 TPS65054 TPS65056 eq_vo_r5r6_lvs710.gif

where

  • an internal reference voltage, Vref, 1 V (typical)

TI recommends setting the total resistance of R5 + R6 to less than 1 MΩ. Typically, there is no feedforward capacitor needed at the voltage dividers for the LDOs.

Equation 10. TPS65050 TPS65051 TPS65052 TPS65054 TPS65056 eq_vo2_r5r6_lvs710.gif

Typical resistor values:

Table 7. Typical Resistor Values

OUTPUT VOLTAGE R5 R6 NOMINAL VOLTAGE
3.3 V 300 kΩ 130 kΩ 3.31 V
3 V 300 kΩ 150 kΩ 3 V
2.85 V 240 kΩ 130 kΩ 2.85 V
2.8 V 360 kΩ 200 kΩ 2.8 V
2.5 V 300 kΩ 200 kΩ 2.5 V
1.8 V 240 kΩ 300 kΩ 1.8 v
1.5 V 150 kΩ 300 kΩ 1.5 V
1.3 V 36 kΩ 120 kΩ 1.3 V
1.2 V 100 kΩ 510 kΩ 1.19 V
1.1 V 33 kΩ 330 kΩ 1.1 V

PB-ONOFF and Sequencing

The PB-ONOFF output can be used to enable one or several converters. After power up, the PB_OUT pin is low, and pulls down the enable pins connected to PB_OUT; EN_DCDC1, and EN_LDO1 in Figure 15. When PB_IN is pulled to VCC for longer than 32 ms, the PB_OUT pin is turned off, hence the enable pins pulled high using a pullup resistor to VCC. This enables the DCDC1 converter and LDO1. The output voltage of DCDC1 (VOUT1) is used as the enable signal for DCDC2 and LDO2 to LDO4. LDO1 with its output voltage of 3.3 V and LDO2 for an output voltage of 2.5 V are powered from the battery (V(bat)) directly. To save power, the input voltage for the lower voltage rails at LDO3 and LDO4 are derived from the output of the step-down converters, keeping the voltage drop at the LDOs low to increase efficiency. As LDO3 and LDO4 are powered from the output of DCDC1, the total output current on VOUT1, LDO3 and LDO4 must not exceed the maximum rating of DCDC1.

Figure 17 shows the power-up timing for this example application.

TPS65050 TPS65051 TPS65052 TPS65054 TPS65056 pwrup_time_lvs710.gif Figure 17. Example Power-up Timing

RESET

The TPS65051, TPS65052, TPS65054, and TPS65056 devices contain a comparator that is used to supervise a voltage connected to an external voltage divider, and generate a reset signal if the voltage is lower than the threshold. The rising edge is delayed by 100 ms at the open-drain RESET output. The values for the external resistors R13 to R15 are calculated as follows:

Equation 11. VL = lower voltage threshold
Equation 12. VL = lower voltage threshold
Equation 13. VREF = reference voltage (1 V)

Example:

  • VL = 3.3 V
  • VH = 3.4 V
  • Set R15 = 100 kΩ

    → R13 + R14 = 240 kΩ

    → R14 = 3.03 kΩ

    → R13 = 237 kΩ

    Equation 14. TPS65050 TPS65051 TPS65052 TPS65054 TPS65056 tps65051-q1-reset-equation.gif

TPS65050 TPS65051 TPS65052 TPS65054 TPS65056 reset_app_SLVSBJ1.gif Figure 18. RESET Circuit

Application Curves

TPS65050 TPS65051 TPS65052 TPS65054 TPS65056 vo_rip_low_lvs710.gif Figure 19. Output Voltage Ripple PWM/PFM Mode = LOW
TPS65050 TPS65051 TPS65052 TPS65054 TPS65056 dcdc1_startup_lvs710.gif Figure 21. DCDC1 Start-up Timing
TPS65050 TPS65051 TPS65052 TPS65054 TPS65056 dcdc1_load_hi_lvs710.gif Figure 23. DCDC1 Load Transient Response
TPS65050 TPS65051 TPS65052 TPS65054 TPS65056 dcdc2_load_hi_lvs710.gif Figure 25. DCDC2 Load Transient Response
TPS65050 TPS65051 TPS65052 TPS65054 TPS65056 dcdc1_line_hi_lvs710.gif Figure 27. DCDC1 Line Transient Response
TPS65050 TPS65051 TPS65052 TPS65054 TPS65056 ldo1_load_lvs710.gif Figure 29. LDO1 Load Transient Response
TPS65050 TPS65051 TPS65052 TPS65054 TPS65056 ldo1_line_lvs710.gif
Figure 31. LDO1 Line Transient Response
TPS65050 TPS65051 TPS65052 TPS65054 TPS65056 vo_rip_high_lvs710.gif Figure 20. Output Voltage Ripple PWM Mode = HIGH
TPS65050 TPS65051 TPS65052 TPS65054 TPS65056 ldo_startup_lvs710.gif Figure 22. LDO1 to LDO4 Start-up Timing
TPS65050 TPS65051 TPS65052 TPS65054 TPS65056 dcdc1_load_low_lvs710.gif Figure 24. DCDC1 Load Transient Response
TPS65050 TPS65051 TPS65052 TPS65054 TPS65056 dcdc2_load_low_lvs710.gif Figure 26. DCDC2 Load Transient Response
TPS65050 TPS65051 TPS65052 TPS65054 TPS65056 dcdc2_line_hi_lvs710.gif Figure 28. DCDC2 Line Transient Response
TPS65050 TPS65051 TPS65052 TPS65054 TPS65056 ldo4_load_lvs710.gif Figure 30. LDO4 Load Transient Response