ZHCSI15L June   2006  – May 2018 TPS65023 , TPS65023B

PRODUCTION DATA.  

  1. 特性
  2. 应用
  3. 说明
    1.     简化原理图
  4. 修订历史记录
  5. Pin Configuration and Functions
    1.     Pin Functions
  6. Specifications
    1. 6.1  Absolute Maximum Ratings
    2. 6.2  ESD Ratings
    3. 6.3  Recommended Operating Conditions
    4. 6.4  Thermal Information
    5. 6.5  Electrical Characteristics
    6. 6.6  Electrical Characteristics: Supply Pins VCC, VINDCDC1, VINDCDC2, VINDCDC3
    7. 6.7  Electrical Characteristics: Supply Pins VBACKUP, VSYSIN, VRTC, VINLDO
    8. 6.8  Electrical Characteristics: VDCDC1 Step-Down Converter
    9. 6.9  Electrical Characteristics: VDCDC2 Step-Down Converter
    10. 6.10 Electrical Characteristics: VDCDC3 Step-Down Converter
    11. 6.11 I2C Timing Requirements for TPS65023B
    12. 6.12 Typical Characteristics
  7. Detailed Description
    1. 7.1 Overview
    2. 7.2 Functional Block Diagram
    3. 7.3 Feature Description
      1. 7.3.1  VRTC Output and Operation With or Without Backup Battery
      2. 7.3.2  Step-Down Converters, VDCDC1, VDCDC2, and VDCDC3
      3. 7.3.3  Power Save Mode Operation
      4. 7.3.4  Low Ripple Mode
      5. 7.3.5  Soft-Start
      6. 7.3.6  100% Duty Cycle Low Dropout Operation
      7. 7.3.7  Active Discharge When Disabled
      8. 7.3.8  Power-Good Monitoring
      9. 7.3.9  Low-Dropout Voltage Regulators
      10. 7.3.10 Undervoltage Lockout
      11. 7.3.11 Power-Up Sequencing
    4. 7.4 Device Functional Modes
    5. 7.5 Programming
      1. 7.5.1 System Reset + Control Signals
        1. 7.5.1.1 DEFLDO1 and DEFLDO2
        2. 7.5.1.2 Interrupt Management and the INT Pin
      2. 7.5.2 Serial Interface
    6. 7.6 Register Maps
      1. 7.6.1 VERSION Register Address: 00h (Read Only)
      2. 7.6.2 PGOODZ Register Address: 01h (Read Only)
      3. 7.6.3 MASK Register Address: 02h (Read and Write), Default Value: C0h
      4. 7.6.4 REG_CTRL Register Address: 03h (Read and Write), Default Value: FFh
      5. 7.6.5 CON_CTRL Register Address: 04h (Read and Write), Default Value: B1h
      6. 7.6.6 CON_CTRL2 Register Address: 05h (Read and Write), Default Value: 40h
      7. 7.6.7 DEFCORE Register Address: 06h (Read and Write), Default Value: 14h/1Eh
      8. 7.6.8 DEFSLEW Register Address: 07h (Read and Write), Default Value: 06h
      9. 7.6.9 LDO_CTRL Register Address: 08h (Read and Write), Default Value: Set with DEFLDO1 and DEFLDO2
  8. Application and Implementation
    1. 8.1 Application Information
      1. 8.1.1 Input Voltage Connection
      2. 8.1.2 Unused Regulators
      3. 8.1.3 Reset Condition of DCDC1
    2. 8.2 Typical Application
      1. 8.2.1 Design Requirements
      2. 8.2.2 Detailed Design Procedure
        1. 8.2.2.1 Inductor Selection for the DC-DC Converters
        2. 8.2.2.2 Output Capacitor Selection
        3. 8.2.2.3 Input Capacitor Selection
        4. 8.2.2.4 Output Voltage Selection
        5. 8.2.2.5 VRTC Output
        6. 8.2.2.6 LDO1 and LDO2
        7. 8.2.2.7 TRESPWRON
        8. 8.2.2.8 VCC Filter
      3. 8.2.3 Application Curves
  9. Power Supply Recommendations
    1. 9.1 Requirements for Supply Voltages Below 3.0 V
  10. 10Layout
    1. 10.1 Layout Guidelines
    2. 10.2 Layout Example
  11. 11器件和文档支持
    1. 11.1 器件支持
      1. 11.1.1 第三方产品免责声明
      2. 11.1.2 开发支持
    2. 11.2 文档支持
      1. 11.2.1 相关文档
    3. 11.3 相关链接
    4. 11.4 社区资源
    5. 11.5 商标
    6. 11.6 静电放电警告
    7. 11.7 术语表
  12. 12机械、封装和可订购信息

封装选项

请参考 PDF 数据表获取器件具体的封装图。

机械数据 (封装 | 引脚)
  • RSB|40
散热焊盘机械数据 (封装 | 引脚)
订购信息

Output Capacitor Selection

The advanced fast response voltage mode control scheme of the inductive converters implemented in the TPS65023x allow the use of small ceramic capacitors with a typical value of 10 μF for each converter without having large output voltage under and overshoots during heavy load transients. Ceramic capacitors having low ESR values have the lowest output voltage ripple and are recommended. See Table 19 for recommended components.

If ceramic output capacitors are used, the capacitor RMS ripple current rating always meets the application requirements. Just for completeness, the RMS ripple current is calculated in Equation 10.

Equation 10. TPS65023 TPS65023B q6_irms_lvs613.gif

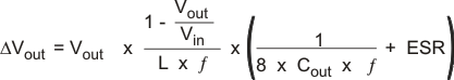
At nominal load current, the inductive converters operate in PWM mode. The overall output voltage ripple is the sum of the voltage spike caused by the output capacitor ESR plus the voltage ripple caused by charging and discharging the output capacitor:

Equation 11. TPS65023 TPS65023B q7_deltav_lvs613.gif

where

  • The highest output voltage ripple occurs at the highest input voltage Vin

At light load currents, the converters operate in PSM and the output voltage ripple is dependent on the output capacitor value. The output voltage ripple is set by the internal comparator delay and the external capacitor. The typical output voltage ripple is less than 1% of the nominal output voltage.