ZHCSGR8A September   2017  – July 2018 TPS63710

PRODUCTION DATA.  

  1. 特性
  2. 应用
  3. 说明
    1.     Device Images
      1.      典型应用
      2.      VOUT = -1.8V 时效率与输出电流间的关系
  4. 修订历史记录
  5. Pin Configuration and Functions
    1. Table 1. Pin Functions
  6. Specifications
    1. 6.1 Absolute Maximum Ratings
    2. 6.2 ESD Ratings
    3. 6.3 Recommended Operating Conditions
    4. 6.4 Thermal Information
    5. 6.5 Electrical Characteristics
    6. 6.6 Typical Characteristics
  7. Detailed Description
    1. 7.1 Overview
    2. 7.2 Functional Block Diagram
    3. 7.3 Feature Description
      1. 7.3.1 Low Noise Reference System
      2. 7.3.2 Duty Cycle
      3. 7.3.3 Enable
      4. 7.3.4 Undervoltage Lockout
      5. 7.3.5 Thermal Shutdown
      6. 7.3.6 Power Good Output
    4. 7.4 Device Functional Modes
      1. 7.4.1 Soft-Start
      2. 7.4.2 VOUT Discharge
      3. 7.4.3 Current Limit
      4. 7.4.4 CCP Capacitor Precharge
      5. 7.4.5 PWM Operation
  8. Application and Implementation
    1. 8.1 Application Information
    2. 8.2 Typical Application
      1. 8.2.1 Design Requirements
      2. 8.2.2 Detailed Design Procedure
        1. 8.2.2.1 Custom Design With WEBENCH® Tools
        2. 8.2.2.2 Setting the Output Voltage
        3. 8.2.2.3 Inductor Selection
        4. 8.2.2.4 Capacitor Selection
          1. 8.2.2.4.1 CCP Capacitor
          2. 8.2.2.4.2 Input Capacitor
          3. 8.2.2.4.3 Output Capacitor
      3. 8.2.3 Application Curves
        1. 8.2.3.1 Parameter Measurement Information
    3. 8.3 System Examples
      1. 8.3.1 Typical Application for Powering the Negative Rail of a Gallium Nitride (GaN) Power Amplifier
      2. 8.3.2 Typical Application for Powering the Negative Rail of an ADC or DAC
      3. 8.3.3 Typical Application for Laser Diode Bias
  9. Power Supply Recommendations
  10. 10Layout
    1. 10.1 Layout Guidelines
    2. 10.2 Layout Example
  11. 11器件和文档支持
    1. 11.1 器件支持
      1. 11.1.1 使用 WEBENCH® 工具创建定制设计
      2. 11.1.2 第三方产品免责声明
    2. 11.2 社区资源
    3. 11.3 商标
    4. 11.4 静电放电警告
    5. 11.5 术语表
  12. 12机械、封装和可订购信息

封装选项

机械数据 (封装 | 引脚)
散热焊盘机械数据 (封装 | 引脚)
订购信息

Inductor Selection

The basic parameters for choosing an appropriate inductor is saturation current, as well as the dc resistance of the inductor. The TPS63710 is designed such that it operates with an inductance as given in the recommended operating conditions. For best performance, a nominal inductance of 2.2 µH should be used for input voltages below 9 V. For input voltages above 9 V, a nominal inductance of 4.7 µH is preferred to keep the inductor current ripple at a reasonable level.

Similar to a step-down converter, the inductor along with the output capacitor forms a LC filter. For noise-sensitive applications, larger values for the inductance and output capacitance are preferred to get the noise level at the output to very low values.

The peak inductor current depends on the output load, the input voltage VIN, and the output voltage VOUT. The average inductor current equals the load current.

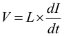
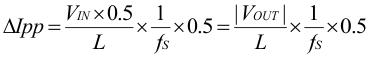
The topology can be simplified to an inverter stage followed by a step-down converter. The equations for calculating the inductor current of a step-down converter therefore also apply. The worst case inductor ripple current occurs at 50% duty cycle which is when VIN = 2 x |VOUT|. The voltage across the inductor is VIN - |VOUT|, which is 0.5 x VIN at 50% duty cycle. With this, Equation 5 and dt = 0.5 x 1/fS, the peak to peak inductor ripple current is defined by Equation 6. The inductor´s saturation current must remain above its peak current which is calculated in Equation 7. Table 5 shows a list of recommended inductors.

Equation 5. TPS63710 equation_L.gif
Equation 6. TPS63710 equation_dIpp.gif
Equation 7. TPS63710 equation_ILmax.gif

Table 5. List of Inductors

Input Voltage Vendor comment Suggested Inductor(1)
3.1 V to 9 V Coilcraft XFL3012-222ME
3.1 V to 9 V Coilcraft best performance for low input voltage XFL4020-222ME
3.1 V to 9 V Toko low cost; small size DFE252012F-2R2M
3.1 V to 14 V Coilcraft XFL4020-472ME
3.1 V to 14 V Würth 744 383 570 47