ZHCSB84F November 2011 – November 2021 TPS62130 , TPS62130A , TPS62131 , TPS62132 , TPS62133
PRODUCTION DATA
The TPS6213x devices have protection against heavy load and short circuit events. If a short circuit is detected (VOUT drops below 0.5 V), the current limit is reduced to 1.6 A typically. If the output voltage rises above 0.5 V, the device runs in normal operation again. At heavy loads, the current limit determines the maximum output current. If the current limit is reached, the high-side FET is turned off. Avoiding shoot-through current, then the low-side FET switches on to allow the inductor current to decrease. The low-side current limit is typically 3.5 A. The high-side FET turns on again only if the current in the low-side FET has decreased below the low-side current limit threshold.
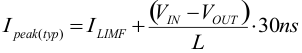
The output current of the device is limited by the current limit. Due to internal propagation delay, the actual current can exceed the static current limit during that time. The dynamic current limit can be calculated as follows:
where
The current limit can exceed static values, especially if the input voltage is high and very small inductances are used. The dynamic high-side switch peak current can be calculated as follows:
