ZHCSEL5D December   2015  – September 2024 TPS562201 , TPS562208

PRODUCTION DATA  

  1.   1
  2. 特性
  3. 应用
  4. 说明
  5. Pin Configuration and Functions
  6. Specifications
    1. 5.1 Absolute Maximum Ratings
    2. 5.2 ESD Ratings
    3. 5.3 Recommended Operating Conditions
    4. 5.4 Thermal Information
    5. 5.5 Electrical Characteristics
    6. 5.6 Typical Characteristics
  7. Detailed Description
    1. 6.1 Overview
    2. 6.2 Functional Block Diagram
    3. 6.3 Feature Description
      1. 6.3.1 Adaptive On-Time Control and PWM Operation
      2. 6.3.2 Pulse Skip Control (TPS562201)
      3. 6.3.3 Soft Start and Prebiased Soft Start
      4. 6.3.4 Current Protection
      5. 6.3.5 Undervoltage Lockout (UVLO) Protection
      6. 6.3.6 Thermal Shutdown
    4. 6.4 Device Functional Modes
      1. 6.4.1 Normal Operation
      2. 6.4.2 Eco-mode Operation
      3. 6.4.3 Standby Operation
  8. Application and Implementation
    1. 7.1 Application Information
    2. 7.2 Typical Application
      1. 7.2.1 Design Requirements
      2. 7.2.2 Detailed Design Procedure
        1. 7.2.2.1 Custom Design with WEBENCH® Tools
        2. 7.2.2.2 Output Voltage Resistors Selection
        3. 7.2.2.3 Output Filter Selection
        4. 7.2.2.4 Input Capacitor Selection
        5. 7.2.2.5 Bootstrap Capacitor Selection
      3. 7.2.3 Application Curves
    3. 7.3 Power Supply Recommendations
    4. 7.4 Layout
      1. 7.4.1 Layout Guidelines
      2. 7.4.2 Layout Example
  9. Device and Documentation Support
    1. 8.1 Device Support
      1. 8.1.1 Development Support
        1. 8.1.1.1 Custom Design with WEBENCH® Tools
    2. 8.2 接收文档更新通知
    3. 8.3 支持资源
    4. 8.4 Trademarks
    5. 8.5 静电放电警告
    6. 8.6 术语表
  10. Revision History
  11. 10Mechanical, Packaging, and Orderable Information
    1. 10.1 Tape and Reel Information

封装选项

机械数据 (封装 | 引脚)
散热焊盘机械数据 (封装 | 引脚)
订购信息

Typical Characteristics

VIN = 12 V (unless otherwise noted)

TPS562201 TPS562208 TPS562201 Supply Current vs Junction TemperatureFigure 5-1 TPS562201 Supply Current vs Junction Temperature
TPS562201 TPS562208 EN
                        Pin UVLO Low Voltage vs Junction TemperatureFigure 5-3 EN Pin UVLO Low Voltage vs Junction Temperature
TPS562201 TPS562208 High-Side Rds-on vs Junction TemperatureFigure 5-5 High-Side Rds-on vs Junction Temperature
TPS562201 TPS562208 TPS562208 Switching Frequency vs Input Voltage
Iout = 2 A
Figure 5-7 TPS562208 Switching Frequency vs Input Voltage
TPS562201 TPS562208 TPS562201 VOUT = 1.05 V Efficiency, L = 2.2 µHFigure 5-9 TPS562201 VOUT = 1.05 V Efficiency, L = 2.2 µH
TPS562201 TPS562208 TPS562201 VOUT = 1.8 V Efficiency, L = 2.2 µHFigure 5-11 TPS562201 VOUT = 1.8 V Efficiency, L = 2.2 µH
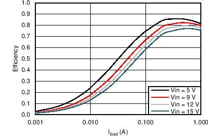
TPS562201 TPS562208 TPS562201 VOUT = 5 V Efficiency, L = 3.3 µHFigure 5-13 TPS562201 VOUT = 5 V Efficiency, L = 3.3 µH
TPS562201 TPS562208 TPS562208 VOUT = 1.5 V Efficiency, L = 2.2 µHFigure 5-15 TPS562208 VOUT = 1.5 V Efficiency, L = 2.2 µH
TPS562201 TPS562208 TPS562208 VOUT = 3.3 V Efficiency, L = 2.2 µHFigure 5-17 TPS562208 VOUT = 3.3 V Efficiency, L = 2.2 µH
TPS562201 TPS562208 VFB
                        Voltage vs Junction TemperatureFigure 5-2 VFB Voltage vs Junction Temperature
TPS562201 TPS562208 EN
                        Pin UVLO High Voltage vs Junction TemperatureFigure 5-4 EN Pin UVLO High Voltage vs Junction Temperature
TPS562201 TPS562208 Low-Side Rds-on vs Junction TemperatureFigure 5-6 Low-Side Rds-on vs Junction Temperature
TPS562201 TPS562208 TPS562201 Switching Frequency vs Output Current
VIN = 12 V
Figure 5-8 TPS562201 Switching Frequency vs Output Current
TPS562201 TPS562208 TPS562201 VOUT = 1.5 V Efficiency, L = 2.2 µHFigure 5-10 TPS562201 VOUT = 1.5 V Efficiency, L = 2.2 µH
TPS562201 TPS562208 TPS562201 VOUT = 3.3 V Efficiency, L = 3.3 µHFigure 5-12 TPS562201 VOUT = 3.3 V Efficiency, L = 3.3 µH
TPS562201 TPS562208 TPS562208 VOUT = 1.05 V Efficiency, L = 2.2 µHFigure 5-14 TPS562208 VOUT = 1.05 V Efficiency, L = 2.2 µH
TPS562201 TPS562208 TPS562208 VOUT = 1.8 V Efficiency, L = 2.2 µHFigure 5-16 TPS562208 VOUT = 1.8 V Efficiency, L = 2.2 µH
TPS562201 TPS562208 TPS562208 VOUT = 5 V Efficiency, L = 3.3 µHFigure 5-18 TPS562208 VOUT = 5 V Efficiency, L = 3.3 µH