SLVSAN2D November   2010  – August 2016 TPS54328

PRODUCTION DATA.  

  1. Features
  2. Applications
  3. Description
  4. Revision History
  5. Pin Configuration and Functions
  6. Specifications
    1. 6.1 Absolute Maximum Ratings
    2. 6.2 ESD Ratings
    3. 6.3 Recommended Operating Conditions
    4. 6.4 Thermal Information
    5. 6.5 Electrical Characteristics
    6. 6.6 Typical Characteristics
  7. Detailed Description
    1. 7.1 Overview
    2. 7.2 Functional Block Diagram
    3. 7.3 Feature Description
      1. 7.3.1 PWM Operation
      2. 7.3.2 PWM Frequency and Adaptive On-Time Control
      3. 7.3.3 Auto-Skip Eco-Mode Control
      4. 7.3.4 Soft Start and Pre-Biased Soft Start
      5. 7.3.5 Current Protection
      6. 7.3.6 UVLO Protection
      7. 7.3.7 Thermal Shutdown
    4. 7.4 Device Functional Modes
      1. 7.4.1 Normal Operation
      2. 7.4.2 Standby Operation
  8. Application and Implementation
    1. 8.1 Application Information
    2. 8.2 Typical Application
      1. 8.2.1 Design Requirements
      2. 8.2.2 Detailed Design Procedure
        1. 8.2.2.1 Output Voltage Resistors Selection
        2. 8.2.2.2 Output Filter Selection
        3. 8.2.2.3 Input Capacitor Selection
        4. 8.2.2.4 Bootstrap Capacitor Selection
        5. 8.2.2.5 VREG5 Capacitor Selection
      3. 8.2.3 Application Curves
  9. Power Supply Recommendations
  10. 10Layout
    1. 10.1 Layout Guidelines
    2. 10.2 Layout Example
    3. 10.3 Thermal Considerations
  11. 11Device and Documentation Support
    1. 11.1 Device Support
      1. 11.1.1 Development Support
    2. 11.2 Documentation Support
      1. 11.2.1 Related Documentation
    3. 11.3 Receiving Notification of Documentation Updates
    4. 11.4 Community Resources
    5. 11.5 Trademarks
    6. 11.6 Electrostatic Discharge Caution
    7. 11.7 Glossary
  12. 12Mechanical, Packaging, and Orderable Information

封装选项

机械数据 (封装 | 引脚)
散热焊盘机械数据 (封装 | 引脚)
订购信息

6 Specifications

6.1 Absolute Maximum Ratings

over operating free-air temperature range (unless otherwise noted)(1)
MIN MAX UNIT
Input voltage VIN, EN –0.3 20 V
VBST –0.3 26
VBST (10 ns transient) –0.3 28
VBST (vs SW) –0.3 6.5
VFB, SS –0.3 6.5
SW –2 20
SW (10-ns transient) –3 22
Output voltage VREG5 –0.3 6.5 V
GND –0.3 0.3
Voltage from GND to thermal pad, Vdiff –0.2 0.2 V
Operating junction temperature, TJ –40 150 °C
Storage temperature, Tstg –55 150 °C
(1) Stresses beyond those listed under Absolute Maximum Ratings may cause permanent damage to the device. These are stress ratings only, which do not imply functional operation of the device at these or any other conditions beyond those indicated under Recommended Operating Conditions. Exposure to absolute-maximum-rated conditions for extended periods may affect device reliability.

6.2 ESD Ratings

VALUE UNIT
V(ESD) Electrostatic discharge Human-body model (HBM), per ANSI/ESDA/JEDEC JS-001(1) ±2000 V
Charged-device model (CDM), per JEDEC specification JESD22-C101(2) ±500
(1) JEDEC document JEP155 states that 500-V HBM allows safe manufacturing with a standard ESD control process.
(2) JEDEC document JEP157 states that 250-V CDM allows safe manufacturing with a standard ESD control process.

6.3 Recommended Operating Conditions

over operating free-air temperature range (unless otherwise noted)
MIN MAX UNIT
VIN Supply input voltage 4.5 18 V
Input voltage VBST –0.1 24 V
VBST (10-ns transient) –0.1 27
VBST(vs SW) –0.1 5.7
SS –0.1 5.7
EN –0.1 18
VFB –0.1 5.5
SW –1.8 18
SW (10-ns transient) –3 21
GND –0.1 0.1
VOUT Output voltage VREG5 –0.1 5.7 V
IOUT Output current IVREG5 0 10 mA
TA Operating free-air temperature –40 85 °C
TJ Operating junction temperature –40 150 °C

6.4 Thermal Information

THERMAL METRIC(1) TPS54328 UNIT
DDA (HSOP) DRC (VSON)
8 PINS 10 PINS
RθJA Junction-to-ambient thermal resistance 42.1 43.9 °C/W
RθJC(top) Junction-to-case (top) thermal resistance 50.9 55.4 °C/W
RθJB Junction-to-board thermal resistance 31.8 18.9 °C/W
ψJT Junction-to-top characterization parameter 5 0.7 °C/W
ψJB Junction-to-board characterization parameter 13.5 19.1 °C/W
RθJC(bot) Junction-to-case (bottom) thermal resistance 7.1 5.3 °C/W
(1) For more information about traditional and new thermal metrics, see the Semiconductor and IC Package Thermal Metrics application report.

6.5 Electrical Characteristics

over operating free-air temperature range, VIN = 12 V (unless otherwise noted)
PARAMETER TEST CONDITIONS MIN TYP MAX UNIT
SUPPLY CURRENT
IVIN Operating non-switching supply current VIN current, TA = 25°C, EN = 5 V, VFB = 0.8 V 800 1200 µA
IVINSDN Shutdown supply current VIN current, TA = 25°C, EN = 0 V 1.8 10 µA
LOGIC THRESHOLD
VENH EN high-level input voltage EN 1.6 V
VENL EN low-level input voltage EN 0.45 V
VFB VOLTAGE AND DISCHARGE RESISTANCE
VFBTH VFB threshold voltage TA = 25°C, VOUT = 1.05 V, IOUT = 10 mA,
Eco-mode operation
772 mV
TA = 25°C, VOUT = 1.05 V, continuous mode operation 749 765 781 mV
IVFB VFB input current VFB = 0.8 V, TA = 25°C 0 ±0.1 µA
VREG5 OUTPUT
VVREG5 VREG5 output voltage TA = 25°C, 6 V < VIN < 18 V, 0 < IVREG5 < 5 mA 5.2 5.5 5.7 V
VLN5 Line regulation 6 V < VIN < 18 V, IVREG5 = 5 mA 25 mV
VLD5 Load regulation 0 mA < IVREG5 < 5 mA 100 mV
IVREG5 Output current VIN = 6 V, VVREG5 = 4 V, TA = 25°C 60 mA
MOSFET
RDS(ON)H High-side switch resistance TA = 25°C, VBST – SW = 5.5 V 100
RDS(ON)L Low-side switch resistance TA = 25°C 70
CURRENT LIMIT
IOCL Current limit LOUT = 1.5 µH(1), TA = –20ºC to 85ºC 3.5 4.2 5.7 A
THERMAL SHUTDOWN
TSDN Thermal shutdown threshold Shutdown temperature (1) 165 °C
Hysteresis (1) 30
ON-TIME TIMER CONTROL
tON ON time VIN = 12 V, VOUT = 1.05 V 150 ns
tOFF(MIN) Minimum off time TA = 25°C, VFB = 0.7 V 260 310 ns
SOFT START
ISSC SS charge current VSS = 0 V 1.4 2 2.6 µA
ISSD SS discharge current VSS = 0.5 V 0.05 0.1 mA
UVLO
UVLO UVLO threshold Wake up VREG5 voltage 3.45 3.75 4.05 V
Hysteresis VREG5 voltage 0.17 0.32 0.45
(1) Not production tested.

6.6 Typical Characteristics

VIN = 12 V, TA = 25°C (unless otherwise noted).
TPS54328 fig 1_slvsAN2.gif Figure 1. VIN Current vs Junction Temperature
TPS54328 cur_vi_lvsag1.gif Figure 3. EN Current vs EN Voltage
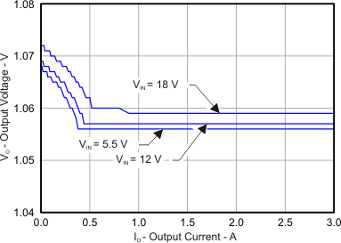
TPS54328 fig_5.gif Figure 5. 1.05-V Output Voltage vs Input Voltage
TPS54328 fig 2_slvsAN2.gif Figure 2. VIN Shutdown Current vs Junction Temperature
TPS54328 fig_4.gif Figure 4. 1.05-V Output Voltage vs Output Current