ZHCSD52 December 2014 TPS2592ZA
PRODUCTION DATA.
| MIN | MAX | UNIT | ||
|---|---|---|---|---|
| Supply voltage range(1) | VIN | –0.3 | 20 | V |
| VIN (10 ms Transient) | 22 | |||
| Output voltage | OUT | –0.3 | VIN + 0.3 | V |
| OUT (Transient < 1 µs) | -1.2 | V | ||
| Voltage | ILIM | –0.3 | 7 | V |
| EN/UVLO | –0.3 | 7 | ||
| dV/dT | –0.3 | 7 | ||
| BFET | –0.3 | 30 | ||
| Continuous power dissipation | See the Thermal Information | |||
| Maximum power dissipation(3), PD = (VVIN-VOUT)*ILIMIT |
TA = –40°C to +85°C | 40 | W | |
| TA = 0°C to +85°C | 50 | |||
| Storage temperature range, Tstg | -65 | 150 | °C | |
| MAX | UNIT | |||
|---|---|---|---|---|
| V(ESD) | Electrostatic discharge | Human body model (HBM), per ANSI/ESDA/JEDEC JS-001(1) | ±2000 | V |
| Charged device model (CDM), per JEDEC specification JESD22-C101(2) | ±500 | |||
| MIN | TYP | MAX | UNIT | ||
|---|---|---|---|---|---|
| Input voltage range | VIN | 4.5 | 18(1) | V | |
| BFET | 0 | VIN+6 | |||
| dV/dT, EN/UVLO | 0 | 6 | |||
| ILIM | 0 | 3.3 | |||
| Continuous output current | IOUT | 0 | 1.7 | A | |
| Resistance | ILIM | 10 | 45.3 | kΩ | |
| External capacitance | OUT | 0.1 | 1 | 1000 | µF |
| dV/dT | 1 | 1000 | nF | ||
| Operating junction temperature range, TJ | –40 | 25 | 125 | °C | |
| Operating Ambient temperature range, TA | –40 | 25 | 85 | °C | |
| THERMAL METRIC | TPS2592Zx | UNIT | |
|---|---|---|---|
| DRC (10) PINS | |||
| RθJA | Junction-to-ambient thermal resistance | 45.9 | °C/W |
| RθJCtop | Junction-to-case (top) thermal resistance | 53 | |
| RθJB | Junction-to-board thermal resistance | 21.2 | |
| ψJT | Junction-to-top characterization parameter | 1.2 | |
| ψJB | Junction-to-board characterization parameter | 21.4 | |
| RθJCbot | Junction-to-case (bottom) thermal resistance | 5.9 | |
| PARAMETER | TEST CONDITIONS | MIN | TYP | MAX | UNIT | |
|---|---|---|---|---|---|---|
| VIN (INPUT SUPPLY) | ||||||
| VUVR | UVLO threshold, rising | 4.15 | 4.3 | 4.45 | V | |
| VUVhyst | UVLO hysteresis(1) | 5.4% | ||||
| IQON | Supply current | Enabled: EN/UVLO = 2 V | 0.2 | 0.42 | 0.65 | mA |
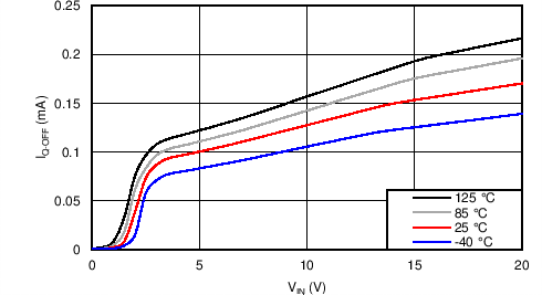
| IQOFF | EN/UVLO = 0 V | 0.1 | 0.25 | mA | ||
| EN/UVLO (ENABLE/UVLO INPUT) | ||||||
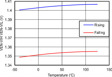
| VENR | EN Threshold voltage, rising | 1.37 | 1.4 | 1.44 | V | |
| VENF | EN Threshold voltage, falling | 1.32 | 1.35 | 1.39 | V | |
| IEN | EN Input leakage current | 0 V ≤ VEN ≤ 5V | –100 | 0 | 100 | nA |
| dV/dT (OUTPUT RAMP CONTROL) | ||||||
| IdVdT | dV/dT Charging current(1) | VdVdT = 0 V | 220 | nA | ||
| RdVdT_disch | dV/dT Discharging resistance | EN/UVLO = 0 V, IdVdT = 10 mA sinking | 50 | 73 | 100 | Ω |
| VdVdTmax | dV/dT Max capacitor voltage(1) | 5.5 | V | |||
| GAINdVdT | dV/dT to OUT gain(1) | ΔVdVdT | 4.85 | V/V | ||
| ILIM (CURRENT LIMIT PROGRAMMING) | ||||||
| IILIM | ILIM Bias current(1) | 10 | µA | |||
| IOL | Overload current limit(2) | RILIM = 45.3 kΩ, VVIN-OUT = 1 V | 1.79 | 2.10 | 2.42 | A |
| IOL-R-Short | RILIM = 0 Ω, Shorted Resistor Current Limit (Single Point Failure Test: UL60950)(1) | 0.7 | A | |||
| IOL-R-Open | RILIM = OPEN, Open Resistor Current Limit (Single Point Failure Test: UL60950)(1) | 0.55 | A | |||
| ISCL | Short-circuit current limit(2) | RILIM = 45.3 kΩ, VVIN-OUT = 12 V | 1.66 | 1.98 | 2.29 | A |
| RATIOFASTRIP | Fast-Trip comparator level w.r.t. overload current limit(1) | IFASTRIP : IOL | 160% | |||
| VOpenILIM | ILIM Open resistor detect threshold(1) | VILIM Rising, RILIM = OPEN | 3.1 | V | ||
| OUT (PASS FET OUTPUT) | ||||||
| RDS(on) | FET ON resistance | TJ = 25°C | 21 | 28 | 33 | mΩ |
| TJ = 125°C | 39 | 46 | ||||
| IOUT-OFF-LKG | OUT Bias current in off state | VEN/UVLO = 0 V, VOUT = 0 V (Sourcing) | –5 | 0 | 1 | µA |
| IOUT-OFF-SINK | VEN/UVLO = 0V, VOUT = 300 mV (Sinking) | 10 | 15 | 20 | ||
| BFET (BLOCKING FET GATE DRIVER) | ||||||
| IBFET | BFET Charging current(1) | VBFET = VOUT | 2 | µA | ||
| VBFETmax | BFET Clamp voltage(1) | VVIN + 6.4 | V | |||
| RBFETdisch | BFET Discharging resistance to GND | VEN/UVLO = 0 V, IBFET = 100 mA | 15 | 26 | 36 | Ω |
| TSD (THERMAL SHUT DOWN) | ||||||
| TSHDN | TSD Threshold, rising(1) | 160 | °C | |||
| TSHDNhyst | TSD Hysteresis(1) | 10 | °C | |||
| Thermal fault: latched or autoretry | TPS2592ZL | LATCHED | ||||
| TPS2592ZA | AUTO-RETRY | |||||
| PARAMETER | TEST CONDITIONS | MIN | TYP | MAX | UNIT | |
|---|---|---|---|---|---|---|
| TON | Turn-on delay(1) | EN/UVLO → H to IVIN = 100 mA, 1-A resistive load at OUT | 220 | µs | ||
| tOFFdly | Turn Off delay(1) | EN↓ to BFET↓, CBFET = 0 | 0.4 | µs | ||
| dV/dT (OUTPUT RAMP CONTROL) | ||||||
| tdVdT | Output ramp time | EN/UVLO → H to OUT = 11.7 V, CdVdT = 0 | 0.7 | 1 | 1.3 | ms |
| EN/UVLO → H to OUT = 11.7 V, CdVdT = 1 nF(1) |
12 | |||||
| ILIM (CURRENT LIMIT PROGRAMMING) | ||||||
| tFastOffDly | Fast-Trip comparator delay(1) | IOUT > IFASTRIP to IOUT= 0 (Switch Off) | 3 | µs | ||
| BFET (BLOCKING FET GATE DRIVER) | ||||||
| tBFET-ON | BFET Turn-On duration(1) | EN/UVLO → H to VBFET = 12 V, CBFET = 1 nF | 4.2 | ms | ||
| EN/UVLO → H to VBFET = 12 V, CBFET = 10 nF | 42 | |||||
| tBFET-OFF | BFET Turn-off duration(1) | EN/UVLO → L to VBFET = 1 V, CBFET = 1 nF | 0.4 | µs | ||
| EN/UVLO → L to VBFET = 1 V, CBFET = 10 nF | 1.4 | |||||


| TPS2592Zx | ||



| TPS2592Zx, CdVdT = OPEN, COUT = 4.7 µF | ||

| EN↓ | ||


| 45.3 kΩ | ||

| RILIM = OPEN | ||


| ILOAD Stepped From 50% to 120%, back to 50% | ||

| TPS2592ZL | ||



| TPS2592Zx | ||


| EN ↓ | ||

| VIN↓ | ||

| 45.3 kΩ | ||

| RILIM = 0 | ||



| TPS2592ZA | ||

| TPS2592Zx, CdVdT = OPEN, COUT = 10 µF | ||