SLVSC11C June   2013  – December 2014 TPS2592AA , TPS2592AL

PRODUCTION DATA.  

  1. Features
  2. Applications
  3. Description
  4. Application Schematic
  5. Revision History
  6. Device Comparison Table
  7. Pin Configuration and Functions
  8. Specifications
    1. 8.1 Absolute Maximum Ratings
    2. 8.2 ESD Ratings
    3. 8.3 Recommended Operating Conditions
    4. 8.4 Thermal Information
    5. 8.5 Electrical Characteristics
    6. 8.6 Timing Requirements
    7. 8.7 Typical Characteristics
  9. Detailed Description
    1. 9.1 Overview
    2. 9.2 Functional Block Diagram
    3. 9.3 Feature Description
      1. 9.3.1 GND
      2. 9.3.2 VIN
      3. 9.3.3 dV/dT
      4. 9.3.4 BFET
      5. 9.3.5 EN/UVLO
      6. 9.3.6 ILIM
    4. 9.4 Device Functional Modes
  10. 10Application and Implementation
    1. 10.1 Application Information
    2. 10.2 Typical Applications
      1. 10.2.1 Simple 3.7-A eFuse Protection for Set Top Boxes
        1. 10.2.1.1 Design Requirements
        2. 10.2.1.2 Detailed Design Procedure
          1. 10.2.1.2.1 Step by Step Design Procedure
          2. 10.2.1.2.2 Programming the Current-Limit Threshold: RILIM Selection
          3. 10.2.1.2.3 Undervoltage Lockout Set Point
          4. 10.2.1.2.4 Setting Output Voltage Ramp Time (TdVdT)
            1. 10.2.1.2.4.1 Case 1: Start-up without Load: Only Output Capacitance COUT Draws Current During Start-up
            2. 10.2.1.2.4.2 Case 2: Start-up with Load: Output Capacitance COUT and Load Draws Current During Start-up
        3. 10.2.1.3 Support Component Selection - CVIN
        4. 10.2.1.4 Application Curves
      2. 10.2.2 Inrush and Reverse Current Protection for Hold-Up Capacitor Application (e.g., SSD)
        1. 10.2.2.1 Design Requirements
        2. 10.2.2.2 Detailed Design Procedure
          1. 10.2.2.2.1 Programming the Current-Limit Threshold: RILIM Selection
          2. 10.2.2.2.2 Undervoltage Lockout Set Point
          3. 10.2.2.2.3 Setting Output Voltage Ramp Time (TdVdT)
        3. 10.2.2.3 Application Curves
    3. 10.3 Maximum Device Power Dissipation Considerations
  11. 11Power Supply Recommendations
    1. 11.1 Transient Protection
    2. 11.2 Output Short-Circuit Measurements
  12. 12Layout
    1. 12.1 Layout Guidelines
    2. 12.2 Layout Example
  13. 13Device and Documentation Support
    1. 13.1 Device Support
      1. 13.1.1 Third-Party Products Disclaimer
    2. 13.2 Related Links
    3. 13.3 Trademarks
    4. 13.4 Electrostatic Discharge Caution
    5. 13.5 Glossary
  14. 14Mechanical, Packaging, and Orderable Information

封装选项

机械数据 (封装 | 引脚)
散热焊盘机械数据 (封装 | 引脚)
订购信息

8 Specifications

8.1 Absolute Maximum Ratings

over operating temperature range (unless otherwise noted) (1) (2)
MIN MAX UNIT
Supply voltage range(1) VIN –0.3 20 V
VIN (10ms Transient) 22
Output voltage OUT –0.3 VIN + 0.3 V
OUT (Transient < 1 µs) -1.2 V
Voltage ILIM –0.3 7 V
EN/UVLO –0.3 7
dV/dT –0.3 7
BFET –0.3 30
Continuous power dissipation See the Thermal Information
Maximum power dissipation(3),
PD = (VIN-VOUT)*ILIMIT
TA = –40°C to +85°C 40 W
TA = 0°C to +85°C 50
Storage temperature range, Tstg -65 150 °C
(1) Stresses beyond those listed under absolute maximum ratings may cause permanent damage to the device. These are stress ratings only and functional operation of the device at these or any conditions beyond those indicated under recommended operating conditions is not implied. Exposure to absolute-maximum-rated conditions for extended periods may affect device reliability.
(2) All voltage values, except differential voltages, are with respect to network ground terminal.
(3) Refer detailed explanation in the application section Maximum Device Power Dissipation Considerations .

8.2 ESD Ratings

VALUE UNIT
V(ESD) Electrostatic discharge Human body model (HBM), per ANSI/ESDA/JEDEC JS-001(1) ±2000 V
Charged device model (CDM), per JEDEC specification JESD22-C101(2) ±500
(1) JEDEC document JEP155 states that 500-V HBM allows safe manufacturing with a standard ESD control process.
(2) JEDEC document JEP157 states that 250-V CDM allows safe manufacturing with a standard ESD control process.

8.3 Recommended Operating Conditions

over operating free-air temperature range (unless otherwise noted)
MIN TYP MAX UNIT
Input voltage range VIN 4.5 12 13.8 V
BFET 0 VIN+6
dV/dT, EN/UVLO 0 6
ILIM 0 3.3
Continuous output current IOUT TA = –40°C to +85°C 0 2.8 A
TA = 0°C to +85°C 0 3.4
Resistance ILIM TA = –40°C to +85°C 10 80.6
TA = 0°C to +85°C 10 100
External capacitance OUT 0.1 1 1000 µF
dV/dT 1 1000 nF
Operating junction temperature range, TJ –40 25 125 °C
Operating Ambient temperature range, TA –40 25 85 °C

8.4 Thermal Information(1)

over operating free-air temperature range (unless otherwise noted)
THERMAL METRIC TPS2592Ax UNIT
DRC (10) PINS
RθJA Junction-to-ambient thermal resistance 45.9 °C/W
RθJCtop Junction-to-case (top) thermal resistance 53
RθJB Junction-to-board thermal resistance 21.2
ψJT Junction-to-top characterization parameter 1.2
ψJB Junction-to-board characterization parameter 21.4
RθJCbot Junction-to-case (bottom) thermal resistance 5.9
(1) For more information about traditional and new thermal metrics, see the IC Package Thermal Metrics application report, SPRA953.

8.5 Electrical Characteristics

–40°C ≤ TJ ≤ 125°C, VIN = 12 V, VEN /UVLO = 2 V, RILIM = 45.3 kΩ, CdVdT = OPEN. All voltages referenced to GND (unless otherwise noted)
PARAMETER TEST CONDITIONS MIN TYP MAX UNIT
VIN (INPUT SUPPLY)
VUVR UVLO threshold, rising 4.15 4.3 4.45 V
VUVhyst UVLO hysteresis(1) 5.4%
IQON Supply current Enabled: EN/UVLO = 2 V 0.2 0.42 0.65 mA
IQOFF EN/UVLO = 0 V 0.1 0.25 mA
VOVC Over-voltage clamp VIN > 16.5 V, IOUT = 10 mA 13.8 15 16.5 V
EN/UVLO (ENABLE/UVLO INPUT)
VENR EN Threshold voltage, rising 1.37 1.4 1.44 V
VENF EN Threshold voltage, falling 1.32 1.35 1.39 V
IEN EN Input leakage current 0 V ≤ VEN ≤ 5 V –100 0 100 nA
dV/dT (OUTPUT RAMP CONTROL)
IdVdT dV/dT Charging current(1) VdVdT = 0 V 220 nA
RdVdT_disch dV/dT Discharging resistance EN/UVLO = 0 V, IdVdT = 10 mA sinking 50 73 100 Ω
VdVdTmax dV/dT Max capacitor voltage(1) 5.5 V
GAINdVdT dV/dT to OUT gain(1) ΔVdVdT 4.85 V/V
ILIM (CURRENT LIMIT PROGRAMMING)
IILIM ILIM Bias current(1) 10 µA
IOL Overload current limit(2) RILIM = 45.3 kΩ, VVIN-OUT = 1 V 1.79 2.10 2.42 A
RILIM = 80.6 kΩ, VVIN-OUT = 1 V 3.1
RILIM = 100 kΩ, VVIN-OUT = 1 V, TJ = 0°C to 125°C 3.46 3.75 4.03
IOL-R-Short RILIM = 0 Ω, Shorted Resistor Current Limit (Single Point Failure Test: UL60950)(1) 0.7 A
IOL-R-Open RILIM = OPEN, Open Resistor Current Limit (Single Point Failure Test: UL60950)(1) 0.55 A
ISCL Short-circuit current limit(2) RILIM = 45.3 kΩ, VVIN-OUT = 12 V 1.66 1.98 2.29 A
RILIM = 100 kΩ, VVIN-OUT = 12 V 2.90 3.32 3.75
RATIOFASTRIP Fast-Trip comparator level w.r.t. overload current limit(1) IFASTRIP : IOL 160%
VOpenILIM ILIM Open resistor detect threshold(1) VILIM Rising, RILIM = OPEN 3.1 V
OUT (PASS FET OUTPUT)
RDS(on) FET ON resistance TJ = 25°C 21 28 33
T= 125°C 39 46
IOUT-OFF-LKG OUT Bias current in off state VEN/UVLO = 0 V, VOUT = 0 V (Sourcing) –5 0 1 µA
IOUT-OFF-SINK VEN/UVLO = 0 V, VOUT = 300 mV (Sinking) 10 15 20
BFET (BLOCKING FET GATE DRIVER)
IBFET BFET Charging current(1) VBFET = VOUT 2 µA
VBFETmax BFET Clamp voltage(1) VVIN + 6.4 V
RBFETdisch BFET Discharging resistance to GND VEN/UVLO = 0 V, IBFET = 100 mA 15 26 36 Ω
TSD (THERMAL SHUT DOWN)
TSHDN TSD Threshold, rising(1) 160 °C
TSHDNhyst TSD Hysteresis(1) 10 °C
Thermal fault: latched or autoretry TPS2592AL LATCHED
TPS2592AA AUTO-RETRY
(1) These parameters are provided for reference only and do not constitute part of TI's published device specifications for purposes of TI's product warranty.
(2) Pulsed testing techniques used during this test maintain junction temperature approximately equal to ambient temperature.

8.6 Timing Requirements

PARAMETER TEST CONDITIONS MIN TYP MAX UNIT
TON Turn-on delay(1) EN/UVLO → H to IVIN = 100 mA, 1-A resistive load at OUT 220 µs
tOFFdly Turn Off delay(1) EN/UVLO↓ to BFET↓, CBFET = 0 0.4 µs
dV/dT (OUTPUT RAMP CONTROL)
tdVdT Output ramp time EN/UVLO → H to OUT = 11.7 V, CdVdT = 0 0.7 1 1.3 ms
EN/UVLO → H to OUT = 11.7 V,
CdVdT = 1 nF(1)
12
ILIM (CURRENT LIMIT PROGRAMMING)
tFastOffDly Fast-Trip comparator delay(1) IOUT > IFASTRIP to IOUT= 0 (Switch Off) 3 µs
BFET (BLOCKING FET GATE DRIVER)
tBFET-ON BFET Turn-On duration(1) EN/UVLO → H to VBFET = 12 V, CBFET = 1 nF 4.2 ms
EN/UVLO → H to VBFET = 12 V, CBFET = 10 nF 42
tBFET-OFF BFET Turn-Off duration(1) EN/UVLO → L to VBFET = 1 V, CBFET = 1 nF 0.4 µs
EN/UVLO → L to VBFET = 1 V, CBFET = 10 nF 1.4
(1) These parameters are provided for reference only and do not constitute part of TI's published device specifications for purposes of TI's product warranty.

8.7 Typical Characteristics

TJ = 25°C, VVIN = 12 V, VEN/UVLO = 2 V, RILIM = 100 kΩ, CVIN = 0.1 µF, COUT = 1 µF, CdVdT = OPEN (unless stated otherwise)
TPS2592AA TPS2592AL C001_SLVSC11.png
Figure 1. Input UVLO vs Temperature
TPS2592AA TPS2592AL C003_SLVSC11.png
TPS2592Ax
Figure 3. IVIN-ON vs VIN
TPS2592AA TPS2592AL fig07_revB_SLVSC11.gif
TPS2592Ax
Figure 5. Transient: Over-Voltage Clamp
TPS2592AA TPS2592AL C010_SLVSC11.png
Figure 7. IdVdT vs Temperature
TPS2592AA TPS2592AL C015_revB_SLVSC11.gif
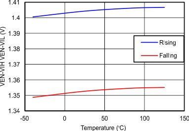
Figure 9. VEN_VIH, VEN_VIL vs Temperature
TPS2592AA TPS2592AL fig17_revB2_lvsc11.gif
TPS2592Ax, CdVdT = OPEN, COUT = 4.7 µF
Figure 11. Transient: Output Ramp
TPS2592AA TPS2592AL fig21_revB2_lvsc11.gif
EN ↓
Figure 13. Transient: Turn Off Delay
TPS2592AA TPS2592AL fig23_revB2_lvsc11.gif
VIN↓
Figure 15. Turn Off Delay to BFET
TPS2592AA TPS2592AL C028_SLVSC11.gif
100 kΩ
Figure 17. IOUT vs VVIN-OUT
TPS2592AA TPS2592AL C031_SLVSC11.png
100 kΩ
Figure 19. IOL, ISC vs Temperature
TPS2592AA TPS2592AL C033_SLVSC11.png
RILIM = 0
Figure 21. IOL-R-Short vs Temperature
TPS2592AA TPS2592AL C035_SLVSC11.png
Figure 23. VOpenILIM vs Temperature
TPS2592AA TPS2592AL fig037_revB_SLVSC11.gif
Figure 25. Short Circuit (Zoom): Fast-Trip Comparator
TPS2592AA TPS2592AL fig39_revB2_lvsc11.gif
Figure 27. Transient: Wake Up to Short Circuit
TPS2592AA TPS2592AL fig41_revB2_lvsc11.gif
TPS2592AA
Figure 29. Transient: Thermal Fault Auto-Retry
TPS2592AA TPS2592AL D002_SLVSC11.gif
Figure 31. Accuracy vs Overload Current Limit
TPS2592AA TPS2592AL C002_SLVSC11.png
Figure 2. IQOFF vs VIN
TPS2592AA TPS2592AL C005_SLVSC11.png
TPS2592Ax
Figure 4. VOVC vs Temperature Across IOUT
TPS2592AA TPS2592AL C009B_SLVSC11.png
Figure 6. TON vs Temperature
TPS2592AA TPS2592AL C013_SLVSC11.png
TPS2592Ax
Figure 8. TdVdT vs CdVdT
TPS2592AA TPS2592AL C016_SLVSC11.png
Figure 10. IEN (Leakage Current) vs VEN
TPS2592AA TPS2592AL fig18_revB2_lvsc11.gif
TPS2592Ax, CdVdT = 1 nF, COUT= 10 µF, ROUT = 5.7 Ω
Figure 12. Transient: Output Ramp
TPS2592AA TPS2592AL fig022_revB_SLVSC11.gif
EN↓
Figure 14. Turn Off Delay to BFET
TPS2592AA TPS2592AL C026_SLVSC11.png
Figure 16. RDSON vs Temperature
TPS2592AA TPS2592AL C029_SLVSC11.gif
45.3 kΩ
Figure 18. IOUT vs VVIN-OUT
TPS2592AA TPS2592AL C032_SLVSC11.png
45.3 kΩ
Figure 20. IOL, ISC vs Temperature
TPS2592AA TPS2592AL C034_SLVSC11.png
RILIM = OPEN
Figure 22. IOL-R-Open vs Temperature
TPS2592AA TPS2592AL fig36_revB2_lvsc11.gif
Figure 24. Transient: Output Short Circuit
TPS2592AA TPS2592AL fig38_revB2_lvsc11.gif
Figure 26. Transient: Recovery From Short Circuit / Over Current
TPS2592AA TPS2592AL fig40_revB2_lvsc11.gif
ILOAD Stepped From 50% to 120%, back to 50%
Figure 28. Transient: Overload Current Limit
TPS2592AA TPS2592AL fig42_revB2_lvsc11.gif
TPS2592AL
Figure 30. Transient: Thermal Fault Latched
TPS2592AA TPS2592AL D004_SLVSC11.gif
Figure 32. IRILM Resistor vs Overload Current Limit