ZHCSCL1A June 2014 – June 2014 TPS22962
PRODUCTION DATA.
| MIN | MAX | UNIT | ||
|---|---|---|---|---|
| VIN | Input voltage range | –0.3 | 6 | V |
| VBIAS | Bias voltage range | –0.3 | 6 | V |
| VOUT | Output voltage range | –0.3 | 6 | V |
| VON | ON pin voltage range | –0.3 | 6 | V |
| IMAX | Maximum Continuous Switch Current, TA = 70°C | 10 | A | |
| IPLS | Maximum Pulsed Switch Current, pulse < 300 µs, 2% duty cycle | 12 | A | |
| TJ | Maximum junction temperature | 125 | °C |
| MIN | MAX | UNIT | |||
|---|---|---|---|---|---|
| Tstg | Storage temperature range | –65 | 150 | °C | |
| V(ESD) | Electrostatic discharge | Human body model (HBM), per ANSI/ESDA/JEDEC JS-001, all pins(1) | 0 | 2 | kV |
| Charged device model (CDM), per JEDEC specification JESD22-C101, all pins(2) | 0 | 1 | |||
| MIN | MAX | UNIT | |||
|---|---|---|---|---|---|
| VIN | Input voltage range | 0.8 | VBIAS | V | |
| VBIAS | Bias voltage range | 2.5 | 5.5 | V | |
| VON | ON voltage range | 0 | 5.5 | V | |
| VOUT | Output voltage range | VIN | V | ||
| VIH, ON | High-level voltage, ON | VBIAS = 2.5 V to 5.5 V | 1.2 | 5.5 | V |
| VIL, ON | Low-level voltage, ON | VBIAS = 2.5 V to 5.5 V | 0 | 0.5 | V |
| TA | Operating free-air temperature range | –40 | 85 | °C | |
| CIN | Input Capacitor | 1(1) | µF | ||
| THERMAL METRIC(1) | TPS22962 | UNIT | |
|---|---|---|---|
| DNY 8 PINS |
|||
| RθJA | Junction-to-ambient thermal resistance | 44.6 | °C/W |
| RθJCtop | Junction-to-case (top) thermal resistance | 44.4 | |
| RθJB | Junction-to-board thermal resistance | 17.6 | |
| ψJT | Junction-to-top characterization parameter | 0.4 | |
| ψJB | Junction-to-board characterization parameter | 17.4 | |
| RθJCbot | Junction-to-case (bottom) thermal resistance | 1.1 | |
| PARAMETER | TEST CONDITIONS | TA | MIN | TYP | MAX | UNIT | ||
|---|---|---|---|---|---|---|---|---|
| CURRENTS AND THRESHOLDS | ||||||||
| IQ, VBIAS | VBIAS quiescent current | IOUT = 0, VIN = VBIAS, VON = 5.0 V |
Full | 20.4 | 26.0 | µA | ||
| ISD, VBIAS | VBIAS shutdown current | VON = 0 V, VOUT = 0 V | Full | 1.1 | 1.5 | µA | ||
| ISD, VIN | VIN shutdown current | VON = 0 V, VOUT = 0 V |
VIN = 5.0 V | Full | 0.1 | µA | ||
| VIN = 3.3 V | 0.1 | |||||||
| VIN = 1.8 V | 0.1 | |||||||
| VIN = 1.05 V | 0.1 | |||||||
| VIN = 0.8 V | 0.1 | |||||||
| ION | ON pin leakage current | VON = 5.5 V | Full | 0.1 | µA | |||
| VHYS, ON | ON pin hysteresis | VBIAS = VIN | 25°C | 113 | mV | |||
| RESISTANCE CHARACTERISTICS | ||||||||
| RON | On-state resistance | IOUT = –200 mA, VBIAS = 5.0 V |
VIN = 5.0 V | 25°C | 4.4 | 5.0 | mΩ | |
| Full | 5.6 | |||||||
| VIN = 3.3 V | 25°C | 4.4 | 5.0 | mΩ | ||||
| Full | 5.6 | |||||||
| VIN = 2.5 V | 25°C | 4.4 | 5.0 | mΩ | ||||
| Full | 5.6 | |||||||
| VIN = 1.8 V | 25°C | 4.4 | 5.0 | mΩ | ||||
| Full | 5.6 | |||||||
| VIN = 1.05 V | 25°C | 4.4 | 5.0 | mΩ | ||||
| Full | 5.6 | |||||||
| VIN = 0.8 V | 25°C | 4.4 | 5.0 | mΩ | ||||
| Full | 5.6 | |||||||
| RPD | Output pulldown resistance | VIN = 5.0 V, VON = 0 V, VOUT = 1 V | Full | 224 | 233 | Ω | ||
| PARAMETER | TEST CONDITIONS | TA | MIN | TYP | MAX | UNIT | ||
|---|---|---|---|---|---|---|---|---|
| CURRENTS AND THRESHOLDS | ||||||||
| IQ, VBIAS | VBIAS quiescent current | IOUT = 0, VIN = VBIAS, VON = 5.0 V |
Full | 9.9 | 12.5 | µA | ||
| ISD, VBIAS | VBIAS shutdown current | VON = 0 V, VOUT = 0 V | Full | 0.5 | 0.65 | µA | ||
| ISD, VIN | VIN shutdown current | VON = 0 V, VOUT = 0 V |
VIN = 2.5 V | Full | 0.1 | µA | ||
| VIN = 1.8 V | 0.1 | |||||||
| VIN = 1.05 V | 0.1 | |||||||
| VIN = 0.8 V | 0.1 | |||||||
| ION | ON pin input leakage current | VON = 5.5 V | Full | 0.1 | µA | |||
| VHYS, ON | ON pin hysteresis | VBIAS = VIN | 25°C | 83 | mV | |||
| RESISTANCE CHARACTERISTICS | ||||||||
| RON | On-state resistance | IOUT = –200 mA, VBIAS = 2.5 V |
VIN =2.5 V | 25°C | 4.7 | 5.3 | mΩ | |
| Full | 6.0 | |||||||
| VIN =1.8 V | 25°C | 4.6 | 5.2 | mΩ | ||||
| Full | 5.8 | |||||||
| VIN =1.05 V | 25°C | 4.5 | 5.1 | mΩ | ||||
| Full | 5.7 | |||||||
| VIN = 0.8 V | 25°C | 4.5 | 5.1 | mΩ | ||||
| Full | 5.7 | |||||||
| RPD | Output pulldown resistance | VIN = 2.5 V, VON = 0 V, VOUT = 1 V | Full | 224 | 233 | Ω | ||
| PARAMETER | TEST CONDITION | MIN | TYP | MAX | UNIT | |
|---|---|---|---|---|---|---|
| VIN = 5 V, VON = VBIAS = 5 V, TA = 25ºC (unless otherwise noted) | ||||||
| tON | Turn-on time | RL = 10 Ω, CL = 0.1 µF | 2397 | µs | ||
| tOFF | Turn-off time | 4 | ||||
| tR | VOUT rise time | 2663 | ||||
| tF | VOUT fall time | 2 | ||||
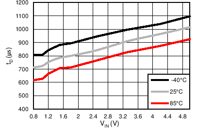
| tD | Delay time | 1009 | ||||
| VIN = 3.3 V, VON = VBIAS = 5 V, TA = 25ºC (unless otherwise noted) | ||||||
| tON | Turn-on time | RL = 10 Ω, CL = 0.1 µF | 1811 | µs | ||
| tOFF | Turn-off time | 4 | ||||
| tR | VOUT rise time | 1756 | ||||
| tF | VOUT fall time | 2 | ||||
| tD | Delay time | 897 | ||||
| VIN = 0.8 V, VON = VBIAS = 5 V, TA = 25ºC (unless otherwise noted) | ||||||
| tON | Turn-on time | RL = 10 Ω, CL = 0.1 µF | 981 | µs | ||
| tOFF | Turn-off time | 4 | ||||
| tR | VOUT rise time | 500 | ||||
| tF | VOUT fall time | 2 | ||||
| tD | Delay time | 714 | ||||
| VIN = 2.5 V, VON = 5 V, VBIAS = 2.5 V, TA = 25ºC (unless otherwise noted) | ||||||
| tON | Turn-on time | RL = 10Ω, CL = 0.1 µF | 1576 | µs | ||
| tOFF | Turn-off time | 8 | ||||
| tR | VOUT rise time | 1372 | ||||
| tF | VOUT fall time | 2 | ||||
| tD | Delay time | 865 | ||||
| VIN = 1.8V, VON = 5 V, VBIAS = 2.5 V, TA = 25ºC (unless otherwise noted) | ||||||
| tON | Turn-on time | RL = 10 Ω, CL = 0.1 µF | 1343 | µs | ||
| tOFF | Turn-off time | 7 | ||||
| tR | VOUT rise time | 1006 | ||||
| tF | VOUT fall time | 2 | ||||
| tD | Delay time | 815 | ||||
| VIN = 0.8 V, VON = 5V, VBIAS = 2.5 V, TA = 25ºC (unless otherwise noted) | ||||||
| tON | Turn-on time | RL = 10 Ω, CL = 0.1 µF | 994 | µs | ||
| tOFF | Turn-off time | 8 | ||||
| tR | VOUT rise time | 502 | ||||
| tF | VOUT fall time | 2 | ||||
| tD | Delay time | 723 | ||||

Figure 2. Timing Waveforms

| VIN = VBIAS | VON = 5 V | IOUT = 0 A |

| VBIAS = 5 V | VON = 0 V | VOUT = 0 V |

| VBIAS = 5 V | VON = 5 V | IOUT = –200 mA |

| VBIAS = 5 V | VON = 5 V | IOUT = –200 mA |

| VON = 0 V | VIN = 1.05 V | VOUT = 1 V |

| VBIAS = 5 V | VON = 5 V | IOUT = –10 A |

| VBIAS = 5 V | VON = 5 V | TA = 25°C |

| VIN = VBIAS | IOUT = 0 A | |

| VBIAS = 2.5 V | RL = 10 Ω | CL = 0.1 µF |

| VBIAS = 2.5 V | RL = 10 Ω | CL = 0.1 µF |

| VBIAS = 2.5 V | RL = 10 Ω | CL = 0.1 µF |

| VBIAS = 2.5 V | RL = 10 Ω | CL = 0.1 µF |

| VBIAS = 2.5 V | RL = 10 Ω | CL = 0.1 µF |

| TA = 25°C | RL = 10 Ω | CL = 0.1 µF |

| VIN = VBIAS | VON = 0 V | VOUT = 0 V |

| VBIAS = 2.5 V | VON = 5 V | IOUT = –200 mA |

| VBIAS = 2.5 V | VON = 5 V | IOUT = –200 mA |

| TA = 25°C | VON = 5 V | IOUT = –200 mA |

| VBIAS = 2.5 V | VON = 5 V | IOUT = –10 A |

| VBIAS = 2.5 V | VON = 5 V | TA = 25°C |

| VIN = VBIAS | ||

| VIN = VBIAS | IOUT = 0 A | |

| VBIAS = 5 V | RL = 10 Ω | CL = 0.1 µF |

| VBIAS = 5 V | RL = 10 Ω | CL = 0.1 µF |

| VBIAS = 5 V | RL = 10 Ω | CL = 0.1 µF |

| VBIAS = 5 V | RL = 10 Ω | CL = 0.1 µF |

| VBIAS = 5 V | RL = 10 Ω | CL = 0.1 µF |

| TA = 25°C | RL = 10 Ω | CL = 0.1 µF |