SLOS429C May 2004 – May 2016 TPA6204A1
PRODUCTION DATA.
请参考 PDF 数据表获取器件具体的封装图。
The TPA6204A1 is a fully differential amplifier with differential inputs and outputs. The fully differential amplifier consists of a differential amplifier and a common-mode amplifier. The differential amplifier ensures that the amplifier outputs a differential voltage that is equal to the differential input times the gain. The common-mode feedback ensures that the common-mode voltage at the output is biased around VDD/2 regardless of the common-mode voltage at the input.
Class-AB amplifiers are inefficient. The primary cause of these inefficiencies is voltage drop across the output stage transistors. There are two components of the internal voltage drop. One is the headroom or DC voltage drop that varies inversely to output power. The second component is due to the sinewave nature of the output. The total voltage drop can be calculated by subtracting the RMS value of the output voltage from VDD. The internal voltage drop multiplied by the average value of the supply current, IDD(avg), determines the internal power dissipation of the amplifier.
An easy-to-use equation to calculate efficiency starts out as being equal to the ratio of power from the power supply to the power delivered to the load. To accurately calculate the RMS and average values of power in the load and in the amplifier, the current and voltage waveform shapes must first be understood (see Figure 15).
Figure 15. Voltage and Current Waveforms for BTL Amplifiers
Although the voltages and currents for SE and BTL are sinusoidal in the load, currents from the supply are different between SE and BTL configurations. In an SE application the current waveform is a half-wave rectified shape, whereas in BTL it is a full-wave rectified waveform. This means RMS conversion factors are different. Keep in mind that for most of the waveform both the push and pull transistors are not on at the same time, which supports the fact that each amplifier in the BTL device only draws current from the supply for half the waveform. Figure 13 and are the basis for calculating amplifier efficiency.

where

where

where
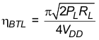
Therefore,

Substituting PL and PSUP in Equation 5,

where

Therefore,

where
Table 2 and Table 3 employ Equation 5 to calculate efficiencies for four different output power levels. Note that the efficiency of the amplifier is quite low for lower power levels and rises sharply as power to the load is increased resulting in a nearly flat internal power dissipation over the normal operating range. Note that the internal dissipation at full output power is less than in the half power range. Calculating the efficiency for a specific system is the key to proper power supply design. For a 1-W audio system with 8-Ω loads and a 5-V supply, the maximum draw on the power supply is almost 1.6 W.
A final point to remember about Class-AB amplifiers is how to manipulate the terms in the efficiency equation to the utmost advantage when possible.
A simple formula for calculating the maximum power dissipated, PDmax, may be used for a differential output application:

The PDmax for a 5-V, 8-Ω system is 0.64 W.
The maximum ambient temperature depends on the heat sinking ability of the PCB system. The derating factor for the 3 mm × 3 mm DRB package is shown in the dissipation rating table. Converting this to RθJA:

Given RθJA, the maximum allowable junction temperature, and the maximum internal dissipation, the maximum ambient temperature can be calculated with the following equation. The maximum recommended junction temperature for the TPA6204A1 is 150°C.

Equation 7 shows that the maximum ambient temperature is 120.6°C (package limited to 85°C) at maximum power dissipation with a 5-V supply.
Table 2 shows that for most applications no airflow is required to keep junction temperatures in the specified range. The TPA6204A1 is designed with thermal protection that turns the device off when the junction temperature surpasses 150°C to prevent damage to the IC. In addition, using speakers with an impedance higher than 8-Ω dramatically increases the thermal performance by reducing the output current.
| OUTPUT POWER (W) | EFFICIENCY (%) | INTERNAL DISSIPATION (W) | POWER FROM SUPPLY (W) | MAX AMBIENT TEMPERATURE(2) (°C) |
|---|---|---|---|---|
| 0.1 | 27.6 | 0.262 | 0.36 | 85 |
| 0.2 | 39.0 | 0.312 | 0.51 | 85 |
| 0.5 | 61.7 | 0.310 | 0.81 | 85 |
| 0.6 | 67.6 | 0.288 | 0.89 | 85 |
| OUTPUT POWER (W) | EFFICIENCY (%) | INTERNAL DISSIPATION (W) | POWER FROM SUPPLY (W) | MAX AMBIENT TEMPERATURE(2) (°C) |
|---|---|---|---|---|
| 0.5 | 44.4 | 0.625 | 1.13 | 85 |
| 1 | 62.8 | 0.592 | 1.60 | 85 |
| 1.36 | 73.3 | 0.496 | 1.86 | 85 |
| 1.7 | 81.9 | 0.375 | 2.08 | 85 |
The TPA6204A1 can be put in shutdown mode when asserting SHUTDOWN pin to a logic LOW level. While in shutdown mode, the device is turned off, making the current consumption very low. The device exits shutdown mode when a HIGH logic level is applied to SHUTDOWN pin.