SLOS618F August   2009  – July 2016 TPA3111D1

PRODUCTION DATA.  

  1. Features
  2. Applications
  3. Description
  4. Revision History
  5. Pin Configuration and Functions
  6. Specifications
    1. 6.1 Absolute Maximum Ratings
    2. 6.2 ESD Ratings
    3. 6.3 Recommended Operating Conditions
    4. 6.4 Thermal Information
    5. 6.5 DC Characteristics - VCC = 24 V
    6. 6.6 DC Characteristics - VCC = 12 V
    7. 6.7 AC Characteristics - VCC = 24 V
    8. 6.8 AC Characteristics - VCC = 12 V
    9. 6.9 Typical Characteristics
  7. Detailed Description
    1. 7.1 Overview
    2. 7.2 Functional Block Diagram
    3. 7.3 Feature Description
      1. 7.3.1 Gain Setting Through GAIN0 and GAIN1 Inputs
      2. 7.3.2 SD Operation
      3. 7.3.3 PLIMIT
      4. 7.3.4 GVDD Supply
      5. 7.3.5 DC Detect
      6. 7.3.6 Short-Circuit Protection and Automatic Recovery Feature
      7. 7.3.7 Thermal Protection
    4. 7.4 Device Functional Modes
      1. 7.4.1 TPA3111D1 Modulation Scheme
  8. Application and Implementation
    1. 8.1 Application Information
    2. 8.2 Typical Application
      1. 8.2.1 Design Requirements
      2. 8.2.2 Detailed Design Procedure
        1. 8.2.2.1 Ferrite Bead Filter Considerations
        2. 8.2.2.2 Efficiency: LC Filter Required With the Traditional Class-D Modulation Scheme
        3. 8.2.2.3 When to Use an Output Filter for EMI Suppression
        4. 8.2.2.4 Input Resistance
        5. 8.2.2.5 Input Capacitor, CI
        6. 8.2.2.6 BSN and BSP Capacitors
        7. 8.2.2.7 Differential Inputs
        8. 8.2.2.8 Using Low-ESR Capacitors
      3. 8.2.3 Application Curves
  9. Power Supply Recommendations
  10. 10Layout
    1. 10.1 Layout Guidelines
    2. 10.2 Layout Example
  11. 11Device and Documentation Support
    1. 11.1 Device Support
      1. 11.1.1 Development Support
    2. 11.2 Documentation Support
      1. 11.2.1 Related Documentation
    3. 11.3 Receiving Notification of Documentation Updates
    4. 11.4 Community Resources
    5. 11.5 Trademarks
    6. 11.6 Electrostatic Discharge Caution
    7. 11.7 Glossary
  12. 12Mechanical, Packaging, and Orderable Information

封装选项

机械数据 (封装 | 引脚)
散热焊盘机械数据 (封装 | 引脚)
订购信息

6 Specifications

6.1 Absolute Maximum Ratings

over operating free-air temperature range (unless otherwise noted)(1)
MIN MAX UNIT
Supply voltage, VCC AVCC, PVCC –0.3 30 V
Interface pin voltage, VI SD, FAULT, GAIN0, GAIN1, AVCC (Pin 14)(2) –0.3 VCC + 0.3 V
<10 V/ms
PLIMIT –0.3 VGVDD + 0.3 V
INN, INP –0.3 6.3
Minimum load resistance, RL BTL 3.2 Ω
Continuous total power dissipation See Thermal Information
Operating free-air temperature, TA –40 85 °C
Operating junction temperature, TJ(3) –40 150 °C
Storage temperature, Tstg –65 150 °C
(1) Stresses beyond those listed under Absolute Maximum Ratings may cause permanent damage to the device. These are stress ratings only, which do not imply functional operation of the device at these or any other conditions beyond those indicated under Recommended Operating Conditions. Exposure to absolute-maximum-rated conditions for extended periods may affect device reliability.
(2) The voltage slew rate of these pins must be restricted to no more than 10 V/ms. For higher slew rates, use a 100-kΩ resistor in series with the pins.
(3) The TPA3111D1 incorporates an exposed thermal pad on the underside of the chip. This acts as a heatsink, and it must be connected to a thermally dissipating plane for proper power dissipation. Failure to do so may result in the device going into thermal protection shutdown. See Quad Flatpack No-Lead Logic Packages and QFN/SON PCB Attachment for more information about using the QFN thermal pad. See PowerPad™ Thermally Enhanced package for more information about using the HTQFP thermal pad.

6.2 ESD Ratings

VALUE UNIT
V(ESD) Electrostatic discharge Human-body model (HBM)(1) ±2000 V
Charged-device model (CDM)(2) ±500
(1) In accordance with JEDEC Standard 22, Test Method A114-B.
(2) In accordance with JEDEC Standard 22, Test Method C101-A

6.3 Recommended Operating Conditions

over operating free-air temperature range (unless otherwise noted)
MIN MAX UNIT
VCC Supply voltage PVCC, AVCC 8 26 V
VIH High-level input voltage SD, GAIN0, GAIN1 2 V
VIL Low-level input voltage SD, GAIN0, GAIN1 0.8 V
VOL Low-level output voltage FAULT, RPULLUP = 100 kΩ, VCC = 26 V 0.8 V
IIH High-level input current SD, GAIN0, GAIN1, VI = 2 V, VCC = 18 V 50 µA
IIL Low-level input current SD, GAIN0, GAIN1, VI = 0.8 V, VCC = 18 V 5 µA

6.4 Thermal Information

THERMAL METRIC(1)(2) TPA3111D1 UNIT
PWP (HTSSOP)
28 PINS
RθJA Junction-to-ambient thermal resistance 30.3 °C/W
RθJC(top) Junction-to-case (top) thermal resistance 33.5 °C/W
RθJB Junction-to-board thermal resistance 17.5 °C/W
ψJT Junction-to-top characterization parameter 0.9 °C/W
ψJB Junction-to-board characterization parameter 7.2 °C/W
RθJC(bot) Junction-to-case (bottom) thermal resistance 0.9 °C/W
(1) For more information about traditional and new thermal metrics, see the Semiconductor and IC Package Thermal Metrics application report.
(2) For thermal estimates of this device based on PCB copper area, see the TI PCB Thermal Calculator.

6.5 DC Characteristics – VCC = 24 V

TA = 25°C, RL = 8 Ω (unless otherwise noted)
PARAMETER TEST CONDITIONS MIN TYP MAX UNIT
|VOS| Class-D output offset voltage (measured differentially) VI = 0 V, Gain = 36 dB 1.5 15 mA
ICC Quiescent supply current SD = 2 V, no load, PVCC = 21 V 40 mA
ICC(SD) Quiescent supply current in shutdown mode SD = 0.8 V, no load, PVCC = 21 V 400 µA
RDS(ON) Drain-source ON-state resistance IO = 500 mA, TJ = 25°C High side 240
Low side 240
G Gain VGAIN1 = 0.8 V VGAIN0 = 0.8 V 19 20 21 dB
VGAIN0 = 2 V 25 26 27
VGAIN1 = 2 V VGAIN0 = 0.8 V 31 32 33
VGAIN0 = 2 V 35 36 37
tON Turnon time VSD = 2 V 10 ms
tOFF Turnoff time VSD = 0.8 V 2 µs
VGVDD Gate drive supply IGVDD = 2 mA 6.5 6.9 7.3 V

6.6 DC Characteristics – VCC = 12 V

TA = 25°C, RL = 8 Ω (unless otherwise noted)
PARAMETER TEST CONDITIONS MIN TYP MAX UNIT
|VOS| Class-D output offset voltage (measured differentially) VI = 0 V, Gain = 36 dB 1.5 15 mA
ICC Quiescent supply current SD = 2 V, no load, PVCC = 12 V 20 mA
ICC(SD) Quiescent supply current in shutdown mode SD = 0.8 V, no load, PVCC = 12 V 200 µA
RDS(ON) Drain-source ON-state resistance IO = 500 mA, TJ = 25°C High side 240
Low side 240
G Gain VGAIN1 = 0.8 V VGAIN0 = 0.8 V 19 20 21 dB
VGAIN0 = 2 V 25 26 27
VGAIN1 = 2 V VGAIN0 = 0.8 V 31 32 33
VGAIN0 = 2 V 35 36 37
tON Turnon time VSD = 2 V 10 ms
tOFF Turnoff time VSD = 0.8 V 2 µs
VGVDD Gate drive supply IGVDD = 2 mA 6.5 6.9 7.3 V
PLIMIT Output voltage maximum under PLIMIT control VPLIMIT = 2 V, VI = 6 V differential 6.75 7.9 8.75 V

6.7 AC Characteristics – VCC = 24 V

TA = 25°C, RL = 8 Ω (unless otherwise noted)
PARAMETER TEST CONDITIONS MIN TYP MAX UNIT
KSVR Power supply ripple rejection 200-mVPP ripple from 20 Hz to 1 kHz,
Gain = 20 dB, Inputs AC-coupled to AGND
–70 dB
PO Continuous output power f = 1 kHz, VCC = 24 V, THD+N ≤ 0.1% 10 W
THD+N Total harmonic distortion + noise f = 1 kHz, VCC = 24 V, PO = 5 W (half-power) <0.05%
VN Output integrated noise 20 Hz to 22 kHz, A-weighted filter, Gain = 20 dB 65 µV
–80 dBV
Crosstalk f = 1 kHz, VO = 1 Vrms, Gain = 20 dB –70 dB
SNR Signal-to-noise ratio Maximum output at THD+N < 1%, f = 1 kHz,
Gain = 20 dB, A-weighted
102 dB
fOSC Oscillator frequency 250 310 350 kHz
Thermal trip point 150 °C
Thermal hysteresis 15 °C

6.8 AC Characteristics – VCC = 12 V

TA = 25°C, RL = 8 Ω (unless otherwise noted)
PARAMETER TEST CONDITIONS MIN TYP MAX UNIT
KSVR Power supply ripple rejection 200-mVPP ripple from 20 Hz to 1 kHz,
Gain = 20 dB, Inputs AC-coupled to AGND
–70 dB
PO Continuous output power f = 1 kHz, RL = 8 Ω, THD+N ≤ 10% 10 W
f = 1 kHz, RL = 4 Ω, THD+N ≤ 0.1% 10
THD+N Total harmonic distortion + noise f = 1 kHz, RL = 8 Ω, PO = 5 W (half-power) <0.06%
VN Output integrated noise 20 Hz to 22 kHz, A-weighted filter, Gain = 20 dB 65 µV
–80 dBV
Crosstalk f = 1 kHz, PO = 1 W, Gain = 20 dB –70 dB
SNR Signal-to-noise ratio Maximum output at THD+N < 1%, f = 1 kHz,
Gain = 20 dB, A-weighted
102 dB
fOSC Oscillator frequency 250 310 350 kHz
Thermal trip point 150 °C
Thermal hysteresis 15 °C

6.9 Typical Characteristics

All measurements taken at 1 kHz, unless otherwise noted. Measurements were made using the TPA3111D1 EVM.
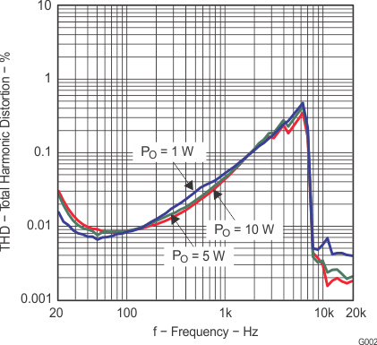
TPA3111D1 g001_los618.gif
Gain = 20 dB VCC = 12 V ZL = 8 Ω + 66 µH
Figure 1. Total Harmonic Distortion vs Frequency
TPA3111D1 g003_los618.gif
Gain = 20 dB VCC = 12 V ZL = 4 Ω + 33 µH
Figure 3. Total Harmonic Distortion vs Frequency
TPA3111D1 g005_los618.gif
Gain = 20 dB VCC = 24 V ZL = 8 Ω + 66 µH
Figure 5. Total Harmonic Distortion + Noise
vs Output Power
TPA3111D1 g007_los618.gif
Dashed line represents thermally limited region.
Gain = 20 dB VCC = 24 V ZL = 8 Ω + 66 µH
Figure 7. Maximum Output Power vs PLIMIT Voltage
TPA3111D1 g009_los618.gif
Gain = 20 dB VCC = 12 V ZL = 8 Ω + 66 µH
CI = µF VI = 0.1 VRMS
Filter = Audio Precision AUX-0225
Figure 9. Gain/Phase vs Frequency
TPA3111D1 g013_los618.gif
Gain = 20 dB VCC = 12 V ZL = 4 Ω + 33 µH
Figure 11. Efficiency vs Output Power
TPA3111D1 g015_los618.gif
Gain = 20 dB VCC = 12 V ZL = 4 Ω + 33 µH
Figure 13. Supply Current vs Total Output Power
TPA3111D1 g002_los618.gif
Gain = 20 dB VCC = 24 V ZL = 8 Ω + 66 µH
Figure 2. Total Harmonic Distortion vs Frequency
TPA3111D1 g004_los618.gif
Gain = 20 dB VCC = 12 V ZL = 8 Ω + 66 µH
Figure 4. Total Harmonic Distortion + Noise
vs Output Power
TPA3111D1 g006_los618.gif
Gain = 20 dB VCC = 12 V ZL = 4 Ω + 33 µH
Figure 6. Total Harmonic Distortion + Noise
vs Output Power
TPA3111D1 g008_los618.gif
Dashed line represents thermally limited region.
Gain = 20 dB VCC = 12 V ZL = 4 Ω + 33 µH
Figure 8. Output Power vs PLIMIT Voltage
TPA3111D1 g012_los618.gif
Gain = 20 dB ZL = 8 Ω + 66 µH
Figure 10. Efficiency vs Output Power
TPA3111D1 g014_los618.gif
Gain = 20 dB ZL = 8 Ω + 66 µH
Figure 12. Supply Current vs Total Output Power
TPA3111D1 g016_los618.gif
Gain = 20 dB VCC = 12 V ZL = 8 Ω + 66 µH
Figure 14. Supply Ripple Rejection Ratio vs Frequency