ZHCSBK5B June   2013  – November 2015 TLV716P

PRODUCTION DATA.  

  1. 特性
  2. 应用
  3. 说明
  4. 修订历史记录
  5. Pin Configuration and Functions
  6. Specifications
    1. 6.1 Absolute Maximum Ratings
    2. 6.2 ESD Ratings
    3. 6.3 Recommended Operating Conditions
    4. 6.4 Thermal Information
    5. 6.5 Electrical Characteristics
    6. 6.6 Typical Characteristics
  7. Detailed Description
    1. 7.1 Overview
    2. 7.2 Functional Block Diagram
    3. 7.3 Feature Description
      1. 7.3.1 Internal Current Limit
      2. 7.3.2 Shutdown
      3. 7.3.3 Undervoltage Lockout (UVLO)
    4. 7.4 Device Functional Modes
      1. 7.4.1 Capacitor-Free Operation
  8. Application and Implementation
    1. 8.1 Application Information
    2. 8.2 Typical Application
      1. 8.2.1 Design Requirements
      2. 8.2.2 Detailed Design Procedure
        1. 8.2.2.1 Input and Output Capacitor Requirements
        2. 8.2.2.2 Dropout Voltage
      3. 8.2.3 Application Curves
  9. Power Supply Recommendations
  10. 10Layout
    1. 10.1 Layout Guidelines
    2. 10.2 Layout Example
    3. 10.3 Thermal Considerations
    4. 10.4 Power Dissipation
  11. 11器件和文档支持
    1. 11.1 相关链接
    2. 11.2 社区资源
    3. 11.3 商标
    4. 11.4 静电放电警告
    5. 11.5 Glossary
  12. 12机械、封装和可订购信息

封装选项

机械数据 (封装 | 引脚)
散热焊盘机械数据 (封装 | 引脚)
订购信息

6 Specifications

6.1 Absolute Maximum Ratings

at TJ = –40°C to 125°C, unless otherwise noted. (1)
MIN MAX UNIT
Voltage (2) IN –0.3 6 V
EN1, EN2 –0.3 VIN + 0.3 V
OUT1, OUT2 –0.3 3.6 or VIN + 0.3 V
Current, OUT1, OUT2 –30 Internally limited mA
Output short circuit duration Indefinite s
TJ Operating junction temperature –55 150 °C
Tstg Storage temperature –55 150 °C
(1) Stresses beyond those listed under Absolute Maximum Ratings may cause permanent damage to the device. These are stress ratings only, which do not imply functional operation of the device at these or any other conditions beyond those indicated under Recommended Operating Conditions. Exposure to absolute-maximum-rated conditions for extended periods may affect device reliability.
(2) All voltages are with respect to ground.

6.2 ESD Ratings

VALUE UNIT
V(ESD) Electrostatic discharge Human body model (HBM), per ANSI/ESDA/JEDEC JS-001, all pins (1) ±2000 V
Charged device model (CDM), per JEDEC specification JESD22-C101, all pins (2) ±500
(1) JEDEC document JEP155 states that 500-V HBM allows safe manufacturing with a standard ESD control process.
(2) JEDEC document JEP157 states that 250-V CDM allows safe manufacturing with a standard ESD control process.

6.3 Recommended Operating Conditions

over operating junction temperature range (unless otherwise noted).
MIN NOM MAX UNIT
VIN Input voltage 1.4 5.5 V
VEN Enable range: VEN1, VEN2 0 VIN V
IOUT Output current: IOUT1, IOUT2 0 150 mA
CIN Input capacitor 0 1 µF
COUT Output capacitor: COUT1, COUT2 0 0.1 100 µF
TJ Operating junction temperature range –40 125 °C

6.4 Thermal Information

THERMAL METRIC (1) TLV716, TLV716P UNIT
DPQ (X2SON)
6 PINS
RθJA Junction-to-ambient thermal resistance 149.3 °C/W
RθJC(top) Junction-to-case (top) thermal resistance 93 °C/W
RθJB Junction-to-board thermal resistance 110.1 °C/W
ψJT Junction-to-top characterization parameter 3.4 °C/W
ψJB Junction-to-board characterization parameter 114.9 °C/W
RθJC(bot) Junction-to-case (bottom) thermal resistance 91 °C/W
(1) For more information about traditional and new thermal metrics, see the Semiconductor and IC Package Thermal Metrics application report, SPRA953.

6.5 Electrical Characteristics

over operating temperature range of TA = –40°C to 85°C, VIN = VOUT(TYP) + 0.5 V or 2 V (whichever is greater), IOUT = 1 mA, VEN1 = VEN2 = 0.9 V, and CIN = COUT1 = COUT2 = 1 μF, unless otherwise noted. Typical values are at TJ = 25°C
PARAMETER TEST CONDITIONS MIN TYP MAX UNIT
VIN Input voltage range 1.4 5.5 V
VOUT Output voltage accuracy TJ = 25°C, VOUT > 1.2 V –1% 0.33% 1%
TJ = 25°C, VOUT ≤ 1.2 V –20 20 mV
TJ = –40°C to 85°C, VOUT > 1.2 V –1.5% 1.5%
TJ = –40°C to 85°C, VOUT ≤ 1.2 V –50 50 mV
IOUT Output current Each channel 150 mA
ΔVOUT / ΔVIN Line regulation VOUT + 0.5 V < VIN ≤ 5.5 V 0.02 0.2 %/V
ΔVOUT / ΔIOUT Load regulation 1 mA < IOUT < 150 mA 0.07 0.2 mV/mA
ΔVOUT / ΔIOUT Cross load regulation 1 mA < IOUT < 150 mA 0.005 0.066 mV/mA
VDO Dropout voltage IOUT = 150 mA, 1 V ≤ VOUT < 1.2 V 0.78 1 V
IOUT = 150 mA, 1.2 V ≤ VOUT < 1.8 V 0.6 0.9 V
IOUT = 150 mA, 1.8 V ≤ VOUT < 2.1 V 0.35 0.575 V
IOUT = 150 mA, 2.1 V ≤ VOUT < 2.5 V 0.29 0.48 V
IOUT = 150 mA, 2.5 V ≤ VOUT < 3 V 0.23 0.45 V
IOUT = 150 mA, 3 V ≤ VOUT < 3.3 V 0.21 0.42 V
VHI Enable high voltage 0.9 VIN V
VLO Enable low voltage 0 0.4 V
RPD Output pulldown resistance TLV716P only 120 Ω
ICL Output current limit VIN = VOUT(TYP) + 0.5 V or 2.1 V
(whichever is greater)
160 500 mA
ISC Output short current limit VOUT = 0 V 40 mA
IGND Ground pin current Per channel, IOUT = 0 mA, VIN = 5.5 V 50 75 µA
ISHUTDOWN Shutdown current Per channel, VIN = 5.5 V, TJ = 25°C 0.1 1 μA
PSRR Power-supply rejection ratio f = 100 Hz, VOUT = 2.8 V, IOUT = 30 mA 80 dB
f = 10 kHz, VOUT = 2.8 V, IOUT = 30 mA 46 dB
VN Output noise voltage BW = 10 Hz to 100 kHz, VOUT = 1.8 V,
VIN = 2.3 V, IOUT = 10 mA
70 μVRMS
tSTR Start-up time (1) VOUT = 1 V, IOUT = 150 mA 170 μs
VOUT = 3.3 V, IOUT = 150 mA 900 μs
TSD Thermal shutdown temperature Shutdown, temperature increasing 158 °C
Reset, temperature decreasing 140 °C
TJ Operating Junction Temperature –40 125 °C
(1) Start-up time = time from EN assertion to 0.98 × VOUT(NOM).

6.6 Typical Characteristics

Over operating temperature range of TJ = –40°C to 125°C, VIN = VOUT(TYP) + 0.5 V or 2 V (whichever is greater), VEN1 = VEN2 = VIN, IOUT1 = IOUT2 = 10 mA, CIN = 1 μF, COUT1 = 1 μF, and COUT2 = 1 μF, unless otherwise noted. Output current plots show typical performance with a single output current sweep. Typical values are at TJ = 25°C.
TLV716 TLV716P C001_BVS217.png
Figure 1. Line Regulation
%VOUT Deviation vs VIN (VOUT = 1 V)
TLV716 TLV716P C003_BVS217.png
Figure 3. Load Regulation
VOUT vs IOUT (VOUT = 1 V)
TLV716 TLV716P C005_BVS217.png
Figure 5. Shutdown Current vs VIN
TLV716 TLV716P C007_BVS217.png
Figure 7. Ground Pin Current vs IOUT
TLV716 TLV716P C010_BVS217.png
Figure 9. Output Voltage vs
Output Current (VOUT = 1 V)
(Foldback Current Limit)
TLV716 TLV716P C012_BVS217.png
Figure 11. Power-Supply Rejection Ratio vs Frequency (VOUT = 3.3 V)
TLV716 TLV716P line_tran_1_SBVS217.gif
Figure 13. Line Transient
TLV716 TLV716P line_tran_3_SBVS217.gif
Figure 15. Line Transient
TLV716 TLV716P load_tran_3_SBVS217.gif
Figure 17. Load Transient
TLV716 TLV716P start_up_1_SBVS217.gif
Figure 19. Start-Up
TLV716 TLV716P start_up_EN_1_SBVS217.gif
Figure 21. Start-Up With EN
TLV716 TLV716P shut_down_EN_SBVS217.gif
Figure 23. Shutdown With EN
TLV716 TLV716P C002_BVS217.png
Figure 2. Line Regulation
%VOUT Deviation vs VIN (VOUT = 3.3 V)
TLV716 TLV716P C004_BVS217.png
Figure 4. Load Regulation
VOUT vs IOUT (VOUT = 3.3 V)
TLV716 TLV716P C006_BVS217.png
Figure 6. Ground Pin Current vs VIN
TLV716 TLV716P C008_BVS217.png
Figure 8. Dropout Voltage vs IOUT
(VOUT = 3.3 V)
TLV716 TLV716P C011_BVS217.png
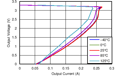
Figure 10. Output Voltage vs
Output Current (VOUT = 3.3 V)
(Foldback Current Limit)
TLV716 TLV716P C013_BVS217.png
Figure 12. Output Spectral Noise Density
TLV716 TLV716P line_tran_2_SBVS217.gif
Figure 14. Line Transient
TLV716 TLV716P load_tran_2_SBVS217.gif
Figure 16. Load Transient
TLV716 TLV716P fold_cur_limit_SBVS217.gif
Figure 18. Foldback Current Limit
TLV716 TLV716P start_up_2_SBVS217.gif
Figure 20. Start-Up
TLV716 TLV716P start_up_EN_2_SBVS217.gif
Figure 22. Start-Up With EN