ZHCSBY0A December   2013  – November 2015 TLV3691

PRODUCTION DATA.  

  1. 特性
  2. 应用
  3. 说明
  4. 修订历史记录
  5. Pin Configuration and Functions
  6. Specifications
    1. 6.1 Absolute Maximum Ratings
    2. 6.2 ESD Ratings
    3. 6.3 Recommended Operating Conditions
    4. 6.4 Thermal Information
    5. 6.5 Electrical Characteristics
    6. 6.6 Switching Characteristics
    7. 6.7 Typical Characteristics
  7. Detailed Description
    1. 7.1 Overview
    2. 7.2 Functional Block Diagram
    3. 7.3 Feature Description
    4. 7.4 Device Functional Modes
      1. 7.4.1 Nano-Power
      2. 7.4.2 Rail-to-Rail Inputs
      3. 7.4.3 Push-Pull Output
  8. Application and Implementation
    1. 8.1 Application Information
      1. 8.1.1 Comparator Inputs
      2. 8.1.2 External Hysteresis
        1. 8.1.2.1 Inverting Comparator With Hysteresis
        2. 8.1.2.2 Noninverting Comparator With Hysteresis
      3. 8.1.3 Capacitive Loads
      4. 8.1.4 Setting the Reference Voltage
    2. 8.2 Typical Application
      1. 8.2.1 Window Comparator
        1. 8.2.1.1 Design Requirements
        2. 8.2.1.2 Detailed Design Procedure
        3. 8.2.1.3 Application Curve
      2. 8.2.2 Overvoltage and Undervoltage Detection
  9. Power Supply Recommendations
  10. 10Layout
    1. 10.1 Layout Guidelines
    2. 10.2 Layout Example
  11. 11器件和文档支持
    1. 11.1 器件支持
      1. 11.1.1 开发支持
        1. 11.1.1.1 TINA-TI(免费软件下载)
        2. 11.1.1.2 TI 高精度设计
    2. 11.2 文档支持
      1. 11.2.1 相关文档 
    3. 11.3 社区资源
    4. 11.4 商标
    5. 11.5 静电放电警告
    6. 11.6 Glossary
  12. 12机械、封装和可订购信息

封装选项

机械数据 (封装 | 引脚)
散热焊盘机械数据 (封装 | 引脚)
订购信息

6 Specifications

6.1 Absolute Maximum Ratings

over operating free-air temperature range (unless otherwise noted) (1)
MIN MAX UNIT
Supply voltage 7 V
Signal input terminals Voltage(2) (V–) – 0.5 (V+) + 0.5 V
Current(2) ±10 mA
Output short circuit(3) Continuous mA
Temperature Operating, TA –55 150 °C
Junction, TJ 150
Storage, Tstg –65 150
(1) Stresses beyond those listed under Absolute Maximum Ratings may cause permanent damage to the device. These are stress ratings only, which do not imply functional operation of the device at these or any other conditions beyond those indicated under Recommended Operating Conditions. Exposure to absolute-maximum-rated conditions for extended periods may affect device reliability.
(2) Input terminals are diode-clamped to the power-supply rails. Input signals that can swing more than 0.5 V beyond the supply rails should be current-limited to 10 mA or less.
(3) Short-circuit to ground, one comparator per package.

6.2 ESD Ratings

VALUE UNIT
V(ESD) Electrostatic discharge Human body model (HBM), per ANSI/ESDA/JEDEC JS-001, all pins(1) ±2500 V
Charged device model (CDM), per JEDEC specification JESD22-C101, all pins(2) ±1000
(1) JEDEC document JEP155 states that 500-V HBM allows safe manufacturing with a standard ESD control process.
(2) JEDEC document JEP157 states that 250-V CDM allows safe manufacturing with a standard ESD control process.

6.3 Recommended Operating Conditions

over operating free-air temperature range (unless otherwise noted)
MIN NOM MAX UNIT
Power supply voltage 0.9 6.5 V
Ambient Temperature, TA –40 125 °C

6.4 Thermal Information

THERMAL METRIC(1) TLV3691 UNIT
DCK (SC70) DPF (X2SON)
5 PINS 6 PINS
RθJA Junction-to-ambient thermal resistance 297.4 252.4 °C/W
RθJCtop Junction-to-case (top) thermal resistance 109.3 93.9 °C/W
RθJB Junction-to-board thermal resistance 74.4 192.8 °C/W
ψJT Junction-to-top characterization parameter 3 3 °C/W
ψJB Junction-to-board characterization parameter 73.6 203.8 °C/W
RθJCbot Junction-to-case (bottom) thermal resistance N/A N/A °C/W
(1) For more information about traditional and new thermal metrics, see the Semiconductor and IC Package Thermal Metrics application report, SPRA953.

6.5 Electrical Characteristics

At TA = 25°C, VS = 0.9 V to 6.5 V, VCM = VS/2 and CL = 15 pF, unless otherwise noted.
PARAMETER TEST CONDITIONS MIN TYP MAX UNIT
OFFSET VOLTAGE
VOS Input offset voltage TA = 25°C ±3 ±15 mV
TA = –40°C to 125°C ±22 mV
VHYS Hysteresis 17 mV
dVOS/dT Input offset voltage drift TA = –40°C to 125°C ±70 µV/°C
PSRR Power-supply rejection ratio TA = –40°C to 125°C 2000 µV/V
INPUT VOLTAGE RANGE
VCM Common-mode voltage range TA = –40°C to 125°C (V–) – 0.1 (V+) + 0.1 V
Hysteresis ±17 mV
INPUT BIAS CURRENT
IB Input bias current TA = 25°C 30 100 pA
TA = –40°C to 125°C 20 nA
IOS Input offset current 8 pA
CLOAD Capacitive load drive See Typical Characteristics
OUTPUT
VOH Voltage output swing from upper rail IO = 2.5 mA, input overdrive ≥ 50 mV, VS = 6.5 V 155 165 mV
IO = 2.5 mA, input overdrive ≥ 50 mV,
VS = 6.5 V, TA = –40°C to 125°C
220 mV
IO ≤ 100 µA, input overdrive ≥ 50 mV, VS = 6.5 V 6 10 mV
IO ≤ 100 µA, input overdrive ≥ 50 mV,
VS = 6.5 V, TA = –40°C to 125°C
20 mV
IO ≤ 100 µA, input overdrive ≥ 50 mV, VS = 0.9 V 70 75 mV
IO ≤ 100 µA, input overdrive ≥ 50 mV,
VS = 0.9 V, TA = –40°C to 125°C
80 mV
VOL Voltage output swing from lower rail IO = 2.5 mA, input overdrive ≥ 50 mV, VS = 6.5 V 155 165 mV
IO = 2.5 mA, input overdrive ≥ 50 mV,
VS = 6.5 V, TA = –40°C to 125°C
220 mV
IO ≤ 100 µA, input overdrive ≥ 50 mV, VS = 6.5 V 6 10 mV
IO ≤ 100 µA, input overdrive ≥ 50 mV,
VS = 6.5 V, TA = –40°C to 125°C
20 mV
IO ≤ 100 µA, input overdrive ≥ 50 mV, VS = 0.9 V 35 40 mV
IO ≤ 100 µA, input overdrive ≥ 50 mV,
VS = 0.9 V, TA = –40°C to 125°C
45 mV
ISC Short circuit sink current VS = 6.5 V, see Typical Characteristics 42 mA
Short circuit source current VS = 6.5 V, see Typical Characteristics 35 mA
POWER SUPPLY
VS Specified voltage range 0.9 6.5 V
IQ Quiescent current (per channel) TA = 25°C 75 150 nA
TA = –40°C to 125°C 200 nA
TEMPERATURE RANGE
Specified range –40 125 °C
Operating range –55 150 °C
Storage range –65 150 °C

6.6 Switching Characteristics

At TA = 25°C, VS = 0.9 V to 6.5 V, VCM = VS/2 and CL = 15 pF, unless otherwise noted.
PARAMETER TEST CONDITIONS MIN TYP MAX UNIT
tPHL Propagation delay time High-to-low VS = 6.5 V, Input overdrive = 50 mV 32 µs
VS = 0.9 V, Input overdrive = 50 mV 45
VS = 6.5 V, Input overdrive = 100 mV 24
VS = 0.9 V, Input overdrive = 100 mV 35
tPLH Low-to-high VS = 6.5 V, Input overdrive = 50 mV 32
VS = 0.9 V, Input overdrive = 50 mV 40
VS = 6.5 V, Input overdrive = 100 mV 24
VS = 0.9 V, Input overdrive = 100 mV 28
tR Rise time Input overdrive = 100 mV ns
tF Fall time Input overdrive = 100 mV 330

6.7 Typical Characteristics

At TA = 25°C, VS = 0.9 V to 6.5 V, and input overdrive = 100 mV, unless otherwise noted.
TLV3691 C001_SBOS694.png
Figure 1. Quiescent Current vs Supply Voltage
TLV3691 C012_SBOS694.png
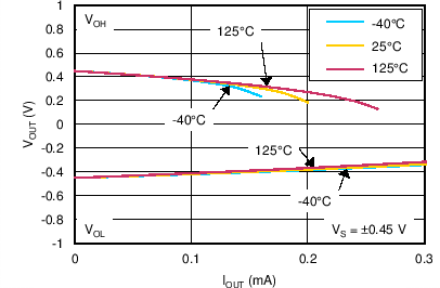
VS = 0.9 V
Figure 3. Output Voltage vs Output Current
TLV3691 C005_SBOS694.png
VS = 0.9 V
Figure 5. Short Circuit Current vs Temperature
TLV3691 C009_SBOS694.png
VS = 0.9 V
Figure 7. Propagation Delay vs Input Overdrive
TLV3691 C017_SBOS694.png
Figure 9. Propagation Delay (TPLH) vs Capacitive Load
TLV3691 C023_SBOS694.png
VS = 0.9 V Overdrive = 50 mV
Figure 11. Propagation Delay (TPLH)
TLV3691 C013_SBOS694.png
VS = 6.5 V Overdrive = 50 mV
Figure 13. Propagation Delay (TPLH)
TLV3691 C025_SBOS694.png
VS = 0.9 V, Overdrive = 100 mV
Figure 15. Propagation Delay (TPLH)
TLV3691 C015_SBOS694.png
VS = 6.5 V Overdrive = 100 mV
Figure 17. Propagation Delay (TPLH)
TLV3691 C010_SBOS694.png
Figure 19. Propagation Delay vs Temperature
TLV3691 C020_SBOS694.png
VS = 0.9 V
Figure 21. Offset Voltage Production Distribution
TLV3691 C028_SBOS694.png
VS = 0.9 V
Figure 23. Offset Voltage vs Common-Mode Voltage
TLV3691 C021_SBOS694.png
VS = 0.9 V
Figure 25. Hysteresis Production Distribution
TLV3691 C006_SBOS694.png
Figure 2. Input Bias Current vs Temperature
TLV3691 C011_SBOS694.png
VS = 6.5 V
Figure 4. Output Voltage vs Output Current
TLV3691 C003_SBOS694.png
VS = 6.5 V
Figure 6. Short Circuit Current vs Temperature
TLV3691 C008_SBOS694.png
VS = 6.5 V
Figure 8. Propagation Delay vs Input Overdrive
TLV3691 C018_SBOS694.png
Figure 10. Propagation Delay (TPHL) vs Capacitive Load
TLV3691 C024_SBOS694.png
VS = 0.9 V Overdrive = 50 mV
Figure 12. Propagation Delay (TPHL)
TLV3691 C014_SBOS694.png
VS = 6.5 V Overdrive = 50 mV
Figure 14. Propagation Delay (TPHL)
TLV3691 C026_SBOS694.png
VS = 0.9 V Overdrive = 100 mV
Figure 16. Propagation Delay (TPHL)
TLV3691 C016_SBOS694.png
VS = 6.5 V Overdrive = 100 mV
Figure 18. Propagation Delay (TPHL)
TLV3691 C029_SBOS694.png
Figure 20. Start-Up Time
TLV3691 C019_SBOS694.png
VS = 6.5 V
Figure 22. Offset Voltage Production Distribution
TLV3691 C027_SBOS694.png
VS = 6.5 V
Figure 24. Offset Voltage vs Common-Mode Voltage
TLV3691 C022_SBOS694.png
VS = 6.5 V
Figure 26. Hysteresis Production Distribution