ZHCSJC8I February 2019 – August 2021 OPA2990 , OPA4990 , OPA990
PRODUCTION DATA
TA = 25°C 时,VS = ±20V,VCM = VS /2,RLOAD = 10kΩ(连接至 VS /2),并且 CL = 10pF(除非另有说明)

| TA = 25°C 时 15526 个放大器的分配 |

| VCM = V+ | ||
| 每种颜色代表一个样本器件。 |

| TA = 25°C | ||
| 每种颜色代表一个样本器件。 |

| TA = 125°C | ||
| 每种颜色代表一个样本器件。 |

| VCM = V– | ||
| 每种颜色代表一个样本器件。 |
图 6-11 闭环增益与频率间的关系
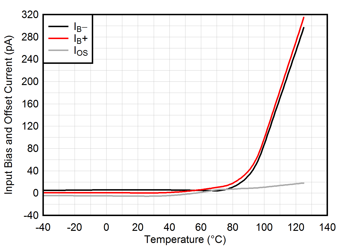
图 6-13 输入偏置电流与温度间的关系

| VS = 5V |

| f = 0Hz |
图 6-21 0.1Hz 至 10Hz 噪声
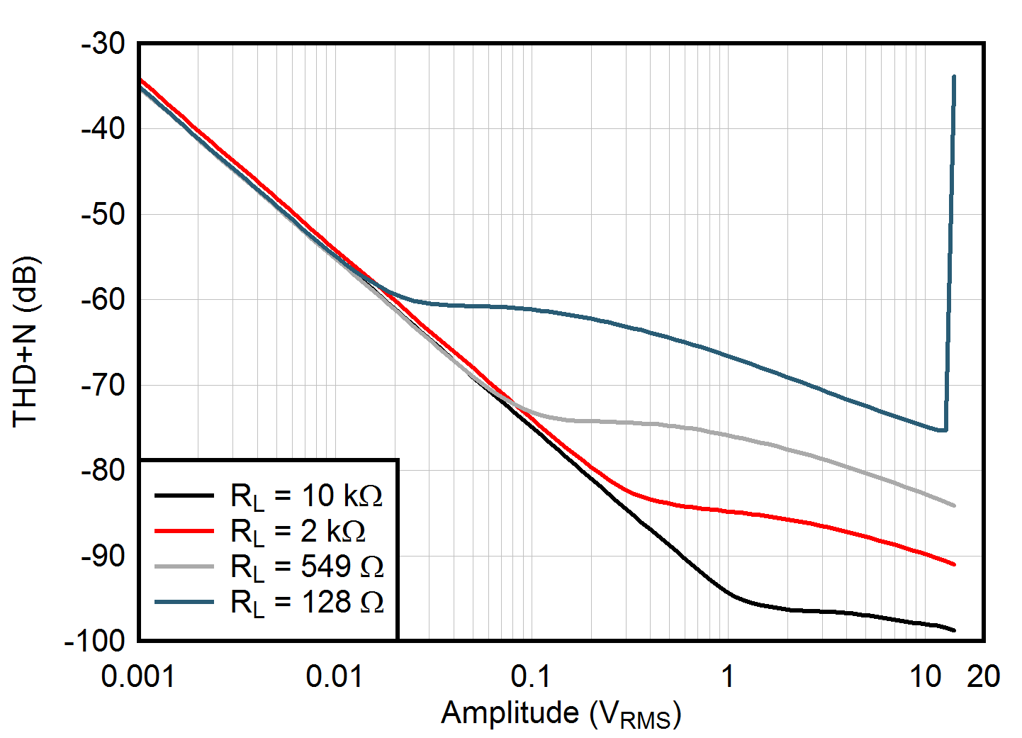
| BW = 80kHz,VOUT = 1VRMS |

| VCM = V– |
图 6-27 开环电压增益与温度间的关系 (dB)
| RL = 2kΩ |

| RL = 10kΩ |

| G = –1,10mV 输出阶跃 |


| G = -10 |

| CL = 20pF,G = 1,20mV 阶跃响应 |

| CL = 20pF,G = 1 |

| CL = 20pF,G = -1 |
图 6-45 最大输出电压与频率间的关系
图 6-47 EMIRR(电磁干扰抑制比)与频率间的关系
| 190 个放大器的分配 |

| VCM = V– | ||
| 每种颜色代表一个样本器件。 |

| TA = 25°C | ||
| 每种颜色代表一个样本器件。 |

| TA = -40°C | ||
| 每种颜色代表一个样本器件。 |

| CL = 20pF |
图 6-12 输入偏置电流与共模电压间的关系
图 6-14 输出电压摆幅与输出电流(拉电流)间的关系
| VS = 5V |


| f = 0Hz |
图 6-22 输入电压噪声频谱密度与频率间的关系
| BW = 80kHz,f = 1kHz |

图 6-28 开环输出阻抗与频率间的关系
| RL = 2kΩ |

| RL = 10kΩ |

| G = 1,10mV 输出阶跃 |

| VIN = ±20V;VS = VOUT = ±17V |

| G = -10 |

| CL = 20pF,G = -1,20mV 阶跃响应 |

| CL = 20pF,G = 1 |

图 6-46 通道隔离与频率间的关系