SBOS850 December   2017 OPA192-Q1 , OPA2192-Q1

PRODUCTION DATA.  

  1. Features
  2. Applications
  3. Description
  4. Revision History
  5. Pin Configuration and Functions
  6. Specifications
    1. 6.1 Absolute Maximum Ratings
    2. 6.2 ESD Ratings
    3. 6.3 Recommended Operating Conditions
    4. 6.4 Thermal Information: OPA192-Q1
    5. 6.5 Thermal Information: OPA2192-Q1
    6. 6.6 Electrical Characteristics: VS = ±4 V to ±18 V (VS = 8 V to 36 V)
    7. 6.7 Electrical Characteristics: VS = ±2.25 V to ±4 V (VS = 4.5 V to 8 V)
    8. 6.8 Typical Characteristics
    9. 6.9 Typical Characteristics
  7. Parameter Measurement Information
    1. 7.1 Input Offset Voltage Drift
  8. Detailed Description
    1. 8.1 Overview
    2. 8.2 Functional Block Diagram
    3. 8.3 Feature Description
      1. 8.3.1 Input Protection Circuitry
      2. 8.3.2 EMI Rejection
      3. 8.3.3 Phase Reversal Protection
      4. 8.3.4 Thermal Protection
      5. 8.3.5 Capacitive Load and Stability
      6. 8.3.6 Common-Mode Voltage Range
      7. 8.3.7 Electrical Overstress
      8. 8.3.8 Overload Recovery
    4. 8.4 Device Functional Modes
  9. Application and Implementation
    1. 9.1 Application Information
    2. 9.2 Typical Applications
      1. 9.2.1 16-Bit Precision Multiplexed Data-Acquisition System
        1. 9.2.1.1 Design Requirements
        2. 9.2.1.2 Detailed Design Procedure
        3. 9.2.1.3 Application Curve
      2. 9.2.2 Slew Rate Limit for Input Protection
      3. 9.2.3 Precision Reference Buffer
  10. 10Power-Supply Recommendations
  11. 11Layout
    1. 11.1 Layout Guidelines
    2. 11.2 Layout Example
  12. 12Device and Documentation Support
    1. 12.1 Device Support
      1. 12.1.1 Development Support
        1. 12.1.1.1 TINA-TI (Free Software Download)
        2. 12.1.1.2 TI Precision Designs
    2. 12.2 Related Links
    3. 12.3 Receiving Notification of Documentation Updates
    4. 12.4 Community Resources
    5. 12.5 Trademarks
    6. 12.6 Electrostatic Discharge Caution
    7. 12.7 Glossary
  13. 13Mechanical, Packaging, and Orderable Information

封装选项

机械数据 (封装 | 引脚)
散热焊盘机械数据 (封装 | 引脚)
订购信息

Specifications

Absolute Maximum Ratings(1)

over operating free-air temperature range (unless otherwise noted)
MIN MAX UNIT
Supply voltage, VS = (V+) – (V–) ±20
(40, single-supply)
V
Signal input pins Voltage Common-mode (V–) – 0.5 (V+) + 0.5 V
Differential (V+) – (V–) + 0.2
Current ±10 mA
Output short circuit(2) Continuous
Latch-up per JESD78D Class 1
Temperature Operating range –55 150 °C
Junction 150
Storage, Tstg –65 150
Stresses beyond those listed under Absolute Maximum Ratings may cause permanent damage to the device. These are stress ratings only, which do not imply functional operation of the device at these or any other conditions beyond those indicated under Recommended Operating Conditions. Exposure to absolute-maximum-rated conditions for extended periods may affect device reliability.
Short-circuit to ground, one amplifier per package.

ESD Ratings

VALUE UNIT
OPA192-Q1
V(ESD) Electrostatic discharge Human body model (HBM), per AEC Q100-002(1) ±4000 V
Charged device model (CDM), per AEC Q100-011 ±500
OPA2192-Q1
V(ESD) Electrostatic discharge Human body model (HBM), per AEC Q100-002(1) ±4000 V
Charged device model (CDM), per AEC Q100-011 ±500
AEC Q100-002 indicates HBM stressing is done in accordance with the ANSI/ESDA/JEDEC JS-001 specification.

Recommended Operating Conditions

over operating free-air temperature range (unless otherwise noted)
MIN NOM MAX UNIT
Supply voltage, VS = (V+) – (V–) 4.5 (±2.25) 36 (±18) V
Specified temperature –40 +125 °C

Thermal Information: OPA192-Q1

THERMAL METRIC(1) OPA192-Q1 UNIT
DGK (VSSOP)
8 PINS
RθJA Junction-to-ambient thermal resistance 180.4 °C/W
RθJC(top) Junction-to-case (top) thermal resistance 67.9 °C/W
RθJB Junction-to-board thermal resistance 102.1 °C/W
ψJT Junction-to-top characterization parameter 10.4 °C/W
ψJB Junction-to-board characterization parameter 100.3 °C/W
RθJC(bot) Junction-to-case (bottom) thermal resistance N/A °C/W
For more information about traditional and new thermal metrics, see the Semiconductor and IC Package Thermal Metrics application report.

Thermal Information: OPA2192-Q1

THERMAL METRIC(1) OPA2192-Q1 UNIT
DGK (VSSOP)
8 PINS
RθJA Junction-to-ambient thermal resistance 158 °C/W
RθJC(top) Junction-to-case (top) thermal resistance 48.6 °C/W
RθJB Junction-to-board thermal resistance 78.7 °C/W
ψJT Junction-to-top characterization parameter 3.9 °C/W
ψJB Junction-to-board characterization parameter 77.3 °C/W
RθJC(bot) Junction-to-case (bottom) thermal resistance N/A °C/W
For more information about traditional and new thermal metrics, see the Semiconductor and IC Package Thermal Metrics application report.

Electrical Characteristics: VS = ±4 V to ±18 V (VS = 8 V to 36 V)

at TA = 25°C, VCM = VOUT = VS / 2, and RLOAD = 10 kΩ connected to VS / 2 (unless otherwise noted)
PARAMETER TEST CONDITIONS MIN TYP MAX UNIT
OFFSET VOLTAGE
VOS Input offset voltage ±5 ±25 µV
TA = 0°C to 85°C ±8 ±50
TA = –40°C to 125°C ±10 ±75
VCM = (V+) – 1.5 V ±10 ±40
TA = 0°C to 85°C ±25 ±150
TA = –40°C to 125°C ±50 ±250
dVOS/dT Input offset voltage drift TA = 0°C to 85°C ±0.1 ±0.8 µV/°C
TA = –40°C to 125°C ±0.2 ±1.0
PSRR Power-supply rejection ratio TA = –40°C to 125°C ±0.3 ±1.0 µV/V
INPUT BIAS CURRENT
IB Input bias current ±5 ±20 pA
TA = –40°C to 125°C ±5 nA
IOS Input offset current ±2 ±20 pA
TA = –40°C to 125°C ±2 nA
NOISE
En Input voltage noise (V–) – 0.1 V < VCM < (V+) – 3 V f = 0.1 Hz to 10 Hz 1.30 µVPP
(V+) – 1.5 V < VCM < (V+) + 0.1 V f = 0.1 Hz to 10 Hz 4
en Input voltage noise density (V–) – 0.1 V < VCM < (V+) – 3 V f = 100 Hz 10.5 nV/√Hz
f = 1 kHz 5.5
(V+) – 1.5 V < VCM < (V+) + 0.1 V f = 100 Hz 32
f = 1 kHz 12.5
NOISE (continued)
in Input current noise density f = 1 kHz 1.5 fA/√Hz
INPUT VOLTAGE
VCM Common-mode voltage range (V–) – 0.1 (V+) + 0.1 V
CMRR Common-mode rejection ratio (V–) – 0.1 V < VCM < (V+) – 3 V 120 140 dB
TA = –40°C to 125°C 114 126
(V+) – 1.5 V < VCM < (V+) 100 120
TA = –40°C to 125°C 86 100
(V+) – 3 V < VCM < (V+) – 1.5 V See Typical Characteristics
INPUT IMPEDANCE
ZID Differential 100 || 1.6 MΩ || pF
ZIC Common-mode 1 || 6.4 1013Ω || pF
OPEN-LOOP GAIN
AOL Open-loop voltage gain (V–) + 0.6 V < VO < (V+) – 0.6 V, RLOAD = 2 kΩ 120 134 dB
TA = –40°C to 125°C 114 126
(V–) + 0.3 V < VO < (V+) – 0.3 V, RLOAD = 10 kΩ 126 140
TA = –40°C to 125°C 120 134
FREQUENCY RESPONSE
GBW Unity gain bandwidth 10 MHz
SR Slew rate G = 1, 10-V step 20 V/µs
ts Settling time To 0.01% V S = ±18 V, G = 1, 10-V step 1.4 µs
V S = ±18 V, G = 1, 5-V step 0.9
To 0.001% V S = ±18 V, G = 1, 10-V step 2.1
V S = ±18 V, G = 1, 5-V step 1.8
tOR Overload recovery time VIN × G = VS 200 ns
THD+N Total harmonic distortion + noise G = 1, f = 1 kHz, VO = 3.5 VRMS 0.00008%
Crosstalk OPA2192-Q1 at dc 150 dB
OPA2192-Q1 at f = 100 kHz 130
OUTPUT
VO Voltage output swing from rail Positive rail No load 5 15 mV
RLOAD = 10 kΩ 95 110
RLOAD = 2 kΩ 430 500
Negative rail No load 5 15
RLOAD = 10 kΩ 95 110
RLOAD = 2 kΩ 430 500
ISC Short-circuit current ±65 mA
CLOAD Capacitive load drive See Typical Characteristics
ZO Open-loop output impedance f = 1 MHz, IO = 0 A; see Figure 29 375 Ω
POWER SUPPLY
IQ Quiescent current per amplifier IO = 0 A 1 1.2 mA
TA = –40°C to 125°C, IO = 0 A 1.5
TEMPERATURE
Thermal protection(1) 140 °C

Electrical Characteristics: VS = ±2.25 V to ±4 V (VS = 4.5 V to 8 V)

at TA = 25°C, VCM = VOUT = VS / 2, and RLOAD = 10 kΩ connected to VS / 2 (unless otherwise noted)
PARAMETER TEST CONDITIONS MIN TYP MAX UNIT
OFFSET VOLTAGE
VOS Input offset voltage VCM = (V+) – 3 V ±5 ±25 µV
TA = 0°C to 85°C ±8 ±50
TA = –40°C to 125°C ±10 ±75
(V+) – 3.5 V < VCM < (V+) – 1.5 V See Common-Mode Voltage Range
VCM = (V+) – 1.5 V ±10 ±40 µV
TA = 0°C to 85°C ±25 ±150
TA = –40°C to 125°C ±50 ±250
dVOS/dT Input offset voltage drift VCM = (V+) – 3 V TA = 0°C to 85°C ±0.1 ±0.8 µV/°C
TA = –40°C to 125°C ±0.2 ±1.1
VCM = (V+) – 1.5 V, TA = –40°C to 125°C ±0.5 ±3
PSRR Power-supply rejection ratio TA = –40°C to 125°C, VCM = VS / 2 – 0.75 V ±1 µV/V
INPUT BIAS CURRENT
IB Input bias current ±5 ±20 pA
TA = –40°C to 125°C ±5 nA
IOS Input offset current ±2 ±20 pA
TA = –40°C to 125°C ±2 nA
NOISE
En Input voltage noise (V–) – 0.1 V < VCM < (V+) – 3 V, f = 0.1 Hz to 10 Hz 1.30 µVPP
(V+) – 1.5 V < VCM < (V+) + 0.1 V, f = 0.1 Hz to 10 Hz 4
en Input voltage noise density (V–) – 0.1 V < VCM < (V+) – 3 V f = 100 Hz 10.5 nV/√Hz
f = 1 kHz 5.5
(V+) – 1.5 V < VCM < (V+) + 0.1 V f = 100 Hz 32
f = 1 kHz 12.5
in Input current noise density f = 1 kHz 1.5 fA/√Hz
INPUT VOLTAGE
VCM Common-mode voltage range (V–) – 0.1 (V+) + 0.1 V
CMRR Common-mode rejection ratio (V–) – 0.1 V < VCM < (V+) – 3 V 94 110 dB
TA = –40°C to 125°C 90 104
(V+) – 1.5 V < VCM < (V+) 100 120
TA = –40°C to 125°C 84 100
(V+) – 3 V < VCM < (V+) – 1.5 V See Typical Characteristics
INPUT IMPEDANCE
ZID Differential 100 || 1.6 MΩ || pF
ZIC Common-mode 1 || 6.4 1013Ω || pF
OPEN-LOOP GAIN
AOL Open-loop voltage gain (V–) + 0.6 V < VO < (V+) – 0.6 V, RLOAD = 2 kΩ 110 120 dB
TA = –40°C to 125°C 100 114
(V–) + 0.3 V < VO < (V+) – 0.3 V, RLOAD = 10 kΩ 110 126
TA = –40°C to 125°C 110 120
FREQUENCY RESPONSE
GBW Unity gain bandwidth 10 MHz
SR Slew rate G = 1, 10-V step 20 V/µs
ts Settling time To 0.01% VS = ±3 V, G = 1, 5-V step 1 µs
tOR Overload recovery time VIN× G = VS 200 ns
Crosstalk OPA2192-Q1 at dc 150 dB
OPA2192-Q1 f = 100 kHz 130
OUTPUT
VO Voltage output swing from rail Positive rail No load 5 15 mV
RLOAD = 10 kΩ 95 110
RLOAD = 2 kΩ 430 500
Negative rail No load 5 15
RLOAD = 10 kΩ 95 110
RLOAD = 2 kΩ 430 500
ISC Short-circuit current ±65 mA
CLOAD Capacitive load drive See Typical Characteristics
ZO Open-loop output impedance f = 1 MHz, IO = 0 A; see Figure 29 375 Ω
POWER SUPPLY
IQ Quiescent current per amplifier IO = 0 A 1 1.2 mA
TA = –40°C to 125°C 1.5
TEMPERATURE
Thermal protection(1) 140 °C
For a detailed description of thermal protection, see Thermal Protection .

Typical Characteristics

Table 1. Table of Graphs

DESCRIPTION FIGURE
Offset Voltage Production Distribution Figure 1 to Figure 6
Offset Voltage Drift Distribution Figure 7 to Figure 8
Offset Voltage vs Temperature Figure 9
Offset Voltage vs Common-Mode Voltage Figure 10 to Figure 12
Offset Voltage vs Power Supply Figure 13
Open-Loop Gain and Phase vs Frequency Figure 14
Closed-Loop Gain and Phase vs Frequency Figure 15
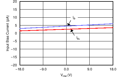
Input Bias Current vs Common-Mode Voltage Figure 16
Input Bias Current vs Temperature Figure 17
Output Voltage Swing vs Output Current (maximum supply) Figure 18
CMRR and PSRR vs Frequency Figure 19
CMRR vs Temperature Figure 20
PSRR vs Temperature Figure 21
0.1-Hz to 10-Hz Noise Figure 22
Input Voltage Noise Spectral Density vs Frequency Figure 23
THD+N Ratio vs Frequency Figure 24
THD+N vs Output Amplitude Figure 25
Quiescent Current vs Supply Voltage Figure 26
Quiescent Current vs Temperature Figure 27
Open Loop Gain vs Temperature Figure 28
Open Loop Output Impedance vs Frequency Figure 29
Small Signal Overshoot vs Capacitive Load (100-mV Output Step) Figure 30, Figure 31
No Phase Reversal Figure 32
Positive Overload Recovery Figure 33
Negative Overload Recovery Figure 34
Small-Signal Step Response (100 mV) Figure 35, Figure 36
Large-Signal Step Response Figure 37
Settling Time Figure 38 to Figure 41
Short-Circuit Current vs Temperature Figure 42
Maximum Output Voltage vs Frequency Figure 43
Propagation Delay Rising Edge Figure 44
Propagation Delay Falling Edge Figure 45
Crosstalk vs Frequency Figure 46

Typical Characteristics

at TA = 25°C, VS = ±18 V, VCM = VS / 2, RLOAD = 10 kΩ connected to VS / 2, and CL = 100 pF, (unless otherwise noted)
OPA192-Q1 OPA2192-Q1 C032_.png
TA = 25°C
Figure 1. Offset Voltage Production Distribution at 25°C
OPA192-Q1 OPA2192-Q1 sbos850_c027_ot.gif
TA = 85°C
Figure 3. Offset Voltage Production Distribution at 85°C
OPA192-Q1 OPA2192-Q1 sbos850_c025_ot.gif
TA = –25°C
Figure 5. Offset Voltage Production Distribution at –25°C
OPA192-Q1 OPA2192-Q1 sbos850_c045_ot.gif
OPA192-Q1IDGK and OPA2192-Q1IDGK
TA = –40°C to +125°C
Figure 7. Offset Voltage Drift Distribution
OPA192-Q1 OPA2192-Q1 C035_OT.png
Figure 9. Offset Voltage vs Temperature
OPA192-Q1 OPA2192-Q1 C003_OT.png
Figure 11. Offset Voltage vs Common-Mode Voltage
OPA192-Q1 OPA2192-Q1 sbos850_c006_ot.gif
VS = ±2.25 V to ±18 V
Figure 13. Offset Voltage vs Power Supply
OPA192-Q1 OPA2192-Q1 C003_SBOS620.png
Figure 15. Closed-Loop Gain and Phase vs Frequency
OPA192-Q1 OPA2192-Q1 C015_OT.png
Figure 17. Input Bias Current vs Temperature
OPA192-Q1 OPA2192-Q1 C012_SBOS620.png
Figure 19. CMRR and PSRR vs Frequency
OPA192-Q1 OPA2192-Q1 C007_OT.png
Figure 21. PSRR vs Temperature
OPA192-Q1 OPA2192-Q1 C002_SBOS620.png
Figure 23. Input Voltage Noise Spectral Density
vs Frequency
OPA192-Q1 OPA2192-Q1 sbos850_c008_sbos620.gif
f = 1 kHz, BW = 80 kHz
Figure 25. THD+N vs Output Amplitude
OPA192-Q1 OPA2192-Q1 C011_OT.png
Figure 27. Quiescent Current vs Temperature
OPA192-Q1 OPA2192-Q1 C016_SBOS620.png
Figure 29. Open-Loop Output Impedance vs Frequency
OPA192-Q1 OPA2192-Q1 sbos850_c013b_sbos620.gif
G = 1
Figure 31. Small-Signal Overshoot vs Capacitive Load
(100-mV Output Step)
OPA192-Q1 OPA2192-Q1 sbos850_c009_sbos620.gif
RI = 1 kΩ RF = 10 kΩ G = –10
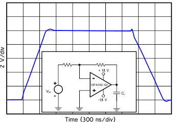
Figure 33. Positive Overload Recovery
OPA192-Q1 OPA2192-Q1 sbos850_c015_sbos620.gif
CL = 10 pF G = 1
Figure 35. Small-Signal Step Response (100 mV)
OPA192-Q1 OPA2192-Q1 sbos850_c005_sbos620.gif
RL = 1 kΩ CL = 10 pF G = –1
Figure 37. Large-Signal Step Response
OPA192-Q1 OPA2192-Q1 sbos850_c034b_.gif
G = 1
Figure 39. Settling Time (5-V Positive Step)
OPA192-Q1 OPA2192-Q1 sbos850_c034b_.gif
G = 1
Figure 41. Settling Time (5-V Negative Step)
OPA192-Q1 OPA2192-Q1 C033_.png
Figure 43. Maximum Output Voltage vs Frequency
OPA192-Q1 OPA2192-Q1 C026_.png
Figure 45. Propagation Delay Falling Edge
OPA192-Q1 OPA2192-Q1 sbos850_c028_ot.gif
TA = 125°C
Figure 2. Offset Voltage Production Distribution at 125°C
OPA192-Q1 OPA2192-Q1 sbos850_c026_ot.gif
TA = 0°C
Figure 4. Offset Voltage Production Distribution at 0°C
OPA192-Q1 OPA2192-Q1 sbos850_c024_ot.gif
TA = –40° C
Figure 6. Offset Voltage Production Distribution at –40°C
OPA192-Q1 OPA2192-Q1 sbos850_c044_ot.gif
OPA192-Q1IDGK and OPA2192-Q1IDGK
TA = 0°C to 85°C
Figure 8. Offset Voltage Drift Distribution
OPA192-Q1 OPA2192-Q1 C002_OT.png
Figure 10. Offset Voltage vs Common-Mode Voltage
OPA192-Q1 OPA2192-Q1 sbos850_c005_ot.gif
VS = ±2.25 V
Figure 12. Offset Voltage vs Common-Mode Voltage
OPA192-Q1 OPA2192-Q1 sbos850_c004_sbos620.gif
CLOAD = 15 pF
Figure 14. Open-Loop Gain and Phase vs Frequency
OPA192-Q1 OPA2192-Q1 C017_OT.png
Figure 16. Input Bias Current vs Common-Mode Voltage
OPA192-Q1 OPA2192-Q1 C018_OT.png
Figure 18. Output Voltage Swing vs Output Current (Maximum Supply)
OPA192-Q1 OPA2192-Q1 C008_OT.png
Figure 20. CMRR vs Temperature
OPA192-Q1 OPA2192-Q1 C001_SBOS620.png
Figure 22. 0.1-Hz to 10-Hz Noise
OPA192-Q1 OPA2192-Q1 sbos850_c007_sbos620.gif
VOUT = 3.5 VRMS BW = 80 kHz
Figure 24. THD+N Ratio vs Frequency
OPA192-Q1 OPA2192-Q1 C012_OT.png
Figure 26. Quiescent Current vs Supply Voltage
OPA192-Q1 OPA2192-Q1 sbos850_c009_ot.gif
RL = 10 kΩ
Figure 28. Open-Loop Gain vs Temperature
OPA192-Q1 OPA2192-Q1 sbos850_c013_sbos620.gif
RI = 1 kΩ RF = 1 kΩ G = –1
Figure 30. Small-Signal Overshoot vs Capacitive Load
(100-mV Output Step)
OPA192-Q1 OPA2192-Q1 sbos850_c011_sbos620.gif
Figure 32. No Phase Reversal
OPA192-Q1 OPA2192-Q1 sbos850_c010_sbos620.gif
RI = 1 kΩ G = –10 RF = 10 kΩ
Figure 34. Negative Overload Recovery
OPA192-Q1 OPA2192-Q1 sbos850_c006_sbos620.gif
RL = 1 kΩ CL = 10 pF G = –1
Figure 36. Small-Signal Step Response (100 mV)
OPA192-Q1 OPA2192-Q1 sbos850_c034_.gif
G = 1
Figure 38. Settling Time (10-V Positive Step)
OPA192-Q1 OPA2192-Q1 sbos850_c034c_.gif
G = 1
Figure 40. Settling Time (10-V Negative Step)
OPA192-Q1 OPA2192-Q1 C016_OT.png
Figure 42. Short-Circuit Current vs Temperature
OPA192-Q1 OPA2192-Q1 C025_.png
Figure 44. Propagation Delay Rising Edge
OPA192-Q1 OPA2192-Q1 D001_SBOS620.gif
Figure 46. Crosstalk vs Frequency