ZHCSGF0D July   2017  – October 2019 MCP6291 , MCP6292 , MCP6294

PRODUCTION DATA.  

  1. 特性
  2. 应用
  3. 说明
    1.     Device Images
      1.      低侧电机控制
      2.      小信号过冲与负载电容间的关系
  4. 修订历史记录
  5. Device Comparison Table
  6. Pin Configuration and Functions
    1.     Pin Functions: MCP6921
    2.     Pin Functions: MCP6292
    3.     Pin Functions: MCP6294
  7. Specifications
    1. 7.1 Absolute Maximum Ratings
    2. 7.2 ESD Ratings
    3. 7.3 Recommended Operating Conditions
    4. 7.4 Thermal Information: MCP6291
    5. 7.5 Thermal Information: MCP6292
    6. 7.6 Thermal Information: MCP6294
    7. 7.7 Electrical Characteristics: VS (Total Supply Voltage) = (V+) – (V–) = 2.4 V to 5.5 V
    8. 7.8 Typical Characteristics
  8. Detailed Description
    1. 8.1 Overview
    2. 8.2 Functional Block Diagram
    3. 8.3 Feature Description
      1. 8.3.1 Rail-to-Rail Input
      2. 8.3.2 Rail-to-Rail Output
      3. 8.3.3 Overload Recovery
    4. 8.4 Device Functional Modes
  9. Application and Implementation
    1. 9.1 Application Information
    2. 9.2 Typical Application
      1. 9.2.1 Design Requirements
      2. 9.2.2 Detailed Design Procedure
      3. 9.2.3 Application Curve
  10. 10Power Supply Recommendations
    1. 10.1 Input and ESD Protection
  11. 11Layout
    1. 11.1 Layout Guidelines
    2. 11.2 Layout Example
  12. 12器件和文档支持
    1. 12.1 文档支持
      1. 12.1.1 相关文档
    2. 12.2 相关链接
    3. 12.3 接收文档更新通知
    4. 12.4 社区资源
    5. 12.5 商标
    6. 12.6 静电放电警告
    7. 12.7 Glossary
  13. 13机械、封装和可订购信息

封装选项

机械数据 (封装 | 引脚)
散热焊盘机械数据 (封装 | 引脚)
订购信息

Typical Characteristics

at TA = 25°C, VS = 5.5 V, RL = 10 kΩ connected to VS / 2, VCM = VS / 2, and VOUT = VS / 2 (unless otherwise noted)
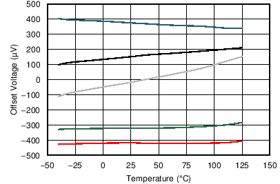
MCP6291 MCP6292 MCP6294 C003_SBOS839.png
Figure 1. Offset Voltage vs Temperature
MCP6291 MCP6292 MCP6294 C004_2_SBOS879.gif
VS = 2.4 V to 5.5 V
Figure 3. Offset Voltage vs Power Supply
MCP6291 MCP6292 MCP6294 C007_SBOS878.gifFigure 5. Closed-Loop Gain vs Frequency
MCP6291 MCP6292 MCP6294 C009_SBOS839.png
V+ = 2.75 V, V– = –2.75 V
Figure 7. Output Voltage Swing vs Output Current
MCP6291 MCP6292 MCP6294 C012_SBOS839.png
VS = 5.5 V VCM = (V–) – 0.1 V to (V+) + 0.1 V
TA= –40°C to 125°C RL= 10 kΩ
Figure 9. CMRR vs Temperature
MCP6291 MCP6292 MCP6294 C013_SBOS839.png
VS = 2.4 V to 5.5 V
Figure 11. PSRR vs Temperature
MCP6291 MCP6292 MCP6294 C015_SBOS878.gif
Figure 13. Input Voltage Noise Spectral Density vs Frequency
MCP6291 MCP6292 MCP6294 C018_SBOS839.png
VS = 5.5 V VCM = 2.5 V RL = 2 kΩ
G = 1 BW = 80 kHz f = 1 kHz
Figure 15. THD + N vs Amplitude
MCP6291 MCP6292 MCP6294 C020_2_SBOS879.gif
Figure 17. Quiescent Current vs Supply Voltage
MCP6291 MCP6292 MCP6294 C024_SBOS878.gif
Figure 19. Open-Loop Output Impedance vs Frequency
MCP6291 MCP6292 MCP6294 C026_SBOS839.png
V+ = 2.75 V V– = –2.75 V G = –1 V/V
RL = 10 kΩ VOUT step = 100 mVp-p
Figure 21. Small-Signal Overshoot vs Load Capacitance
MCP6291 MCP6292 MCP6294 C028_SBOS839.png
V+ = 2.75 V V– = –2.75 V G = –10 V/V
Figure 23. Overload Recovery
MCP6291 MCP6292 MCP6294 C031_SBOS839.png
V+ = 2.75 V V– = –2.75 V CL = 100 pF
G = 1 V/V
Figure 25. Large-Signal Step Response
MCP6291 MCP6292 MCP6294 C041_SBOS839.png
PRF = –10 dBm
Figure 27. Electromagnetic Interference Rejection Ratio
Referred to Noninverting Input (EMIRR+) vs Frequency
MCP6291 MCP6292 MCP6294 C037_SBOS839.png
VS = 5.5 V
Figure 29. Phase Margin vs Capacitive Load
MCP6291 MCP6292 MCP6294 C032_SBOS839.png
Figure 31. Large Signal Settling Time (Positive)
MCP6291 MCP6292 MCP6294 C005_SBOS839.png
V+ = 2.75 V, V– = –2.75 V
Figure 2. Offset Voltage vs Common-Mode Voltage
MCP6291 MCP6292 MCP6294 C006b_SBOS879.gif
CL = 10 pF
Figure 4. Open-Loop Gain and Phase vs Frequency
MCP6291 MCP6292 MCP6294 C008_SBOS839.pngFigure 6. Input Bias Current vs Temperature
MCP6291 MCP6292 MCP6294 C011_SBOS878.gif
Figure 8. CMRR and PSRR vs Frequency
(Referred to Input)
MCP6291 MCP6292 MCP6294 C016_SBOS839.png
VS = 5.5 V VCM = (V–) – 0.1 V to (V+) – 1.4 V
RL= 10 kΩ TA= –40°C to 125°C
Figure 10. CMRR vs Temperature
MCP6291 MCP6292 MCP6294 C014_SBOS839.png
VS = 2.4 V to 5.5 V
Figure 12. 0.1-Hz to 10-Hz Input Voltage Noise
MCP6291 MCP6292 MCP6294 C017_SBOS878.gif
VS = 5.5 V VCM = 2.5 V RL = 2 kΩ
VOUT = 0.5 VRMS G = 1 BW = 80 kHz
Figure 14. THD + N vs Frequency
MCP6291 MCP6292 MCP6294 C019_SBOS839.png
VS = 5.5 V VCM = 2.5 V RL = 2 kΩ
G = –1 BW = 80 kHz f = 1 kHz
Figure 16. THD + N vs Amplitude
MCP6291 MCP6292 MCP6294 C021_SBOS839.png
Figure 18. Quiescent Current vs Temperature
MCP6291 MCP6292 MCP6294 C025_SBOS839.png
V+ = 2.75 V V– = –2.75 V G = 1 V/V
RL = 10 kΩ VOUT step = 100 mVp-p
Figure 20. Small-Signal Overshoot vs Load Capacitance
MCP6291 MCP6292 MCP6294 C036_SBOS839.png
V+ = 2.75 V, V– = –2.75 V
Figure 22. No Phase Reversal
MCP6291 MCP6292 MCP6294 C030_SBOS839.png
V+ = 2.75 V V– = –2.75 V G = 1 V/V
Figure 24. Small-Signal Step Response
MCP6291 MCP6292 MCP6294 C034_SBOS839.png
Figure 26. Short-Circuit Current vs Temperature
MCP6291 MCP6292 MCP6294 C038_SBOS878.gif
V+ = 2.75 V, V– = –2.75 V
Figure 28. Channel Separation vs Frequency
MCP6291 MCP6292 MCP6294 C023_SBOS839.png
VS = 5.5 V
Figure 30. Open Loop Voltage Gain vs Output Voltage
MCP6291 MCP6292 MCP6294 C033_SBOS839.png
Figure 32. Large Signal Settling Time (Negative)