SNLS250E May 2008 – April 2015 DP83848H , DP83848J , DP83848K , DP83848M , DP83848T
PRODUCTION DATA.
NOTE
Information in the following applications sections is not part of the TI component specification, and TI does not warrant its accuracy or completeness. TI’s customers are responsible for determining suitability of components for their purposes. Customers should validate and test their design implementation to confirm system functionality.
The device is a physical layer Ethernet transceiver. Typical operating voltage is 3.3 V with power consumption less than 270 mW. When using the device for Ethernet application, it is necessary to meet certain requirements for normal operation of device. Following typical application and design requirements can be used for selecting appropriate component values for DP83848.
Figure 7-1 Typical Application Schematic
The design requirements for DP83848 are:
Figure 7-2 shows the recommended circuit for a 10/100 Mb/s twisted pair interface. Below is a partial list of recommended transformers. It is important that the user realize that variations with PCB and component characteristics require that the application be tested to ensure that the circuit meets the requirements of the intended application.
Figure 7-2 10/100 Mb/s Twisted Pair Interface
The DP83848x supports an external CMOS level oscillator source or a crystal resonator device.
If an external clock source is used, X1 should be tied to the clock source and X2 should be left floating.
The CMOS oscillator specifications for MII Mode are listed in Table 7-1. For RMII Mode, the CMOS oscillator specifications are listed in Table 7-2. For RMII mode, it is not recommended that the system clock out, Pin 21 of DP83848H, DP83848M, or DP83848T devices, be used as the reference clock to the MAC without first verifying the interface timing. See AN-1405 for more details.
A 25-MHz, parallel, 20-pF load crystal resonator should be used if a crystal source is desired. Figure 7-3 shows a typical connection for a crystal resonator circuit. The load capacitor values will vary with the crystal vendors; check with the vendor for the recommended loads.
The oscillator circuit is designed to drive a parallel resonance AT cut crystal with a minimum drive level of 100 µW and a maximum of 500 µW. If a crystal is specified for a lower drive level, a current limiting resistor should be placed in series between X2 and the crystal.
As a starting point for evaluating an oscillator circuit, if the requirements for the crystal are not known, CL1 and CL2 should be set at 33 pF, and R1 should be set at 0 Ω.
Specification for 25-MHz crystal are listed in Table 7-3.
Figure 7-3 Crystal Oscillator Circuit
| PARAMETER | CONDITION | MIN | TYP | MAX | UNIT |
|---|---|---|---|---|---|
| Frequency | 25 | MHz | |||
| Frequency Tolerance | Operational Temperature | 50 | ppm | ||
| Frequency Stability | 1 year aging | 50 | ppm | ||
| Rise / Fall Time | 20%–80% | 6 | nsec | ||
| Jitter | Short term | 800(1) | psec | ||
| Jitter | Long term | 800(1) | psec | ||
| Symmetry | Duty Cycle | 40% | 60% |
| PARAMETER | CONDITION | MIN | TYP | MAX | UNIT |
|---|---|---|---|---|---|
| Frequency | 50 | MHz | |||
| Frequency Tolerance | Operational Temperature | 50 | ppm | ||
| Frequency Stability | 1 year aging | 50 | ppm | ||
| Rise / Fall Time | 20%–80% | 6 | nsec | ||
| Jitter | Short term | 800(1) | psec | ||
| Jitter | Long term | 800(1) | psec | ||
| Symmetry | Duty Cycle | 40% | 60% |
| PARAMETER | CONDITION | MIN | TYP | MAX | UNIT |
|---|---|---|---|---|---|
| Frequency | 25 | MHz | |||
| Frequency Tolerance | Operational Temperature | 50 | ppm | ||
| Frequency Stability | 1 year aging | 50 | ppm | ||
| Load Capacitance | 25 | 40 | pF |
To ensure correct operation for the DP83848x, parallel caps with values of 10 µF (Tantalum) and 0.1 µF should be placed close to pin 19 (PFBOUT) of the device.
Pin 16 (PFBIN1) and pin 30 (PFBIN2) must be connected to pin 19 (PFBOUT), each pin requires a small capacitor (0.1 µF). See Figure 7-4 for proper connections.
Figure 7-4 Power Feedback Connection
The magnetics have a large impact on the PHY performance as well. While several components are listed below, others may be compatible following the requirements listed in Table 6-4. It is recommended that the magnetics include both an isolation transformer and an integrated common mode choke to reduce EMI. When doing the layout, do not run signals under the magnetics. This could cause unwanted noise crosstalk. Likewise void the planes under discrete magnetics, this will help prevent common mode noise coupling. To save board space and reduce component count, an RJ-45 with integrated magnetics may be used.
| PARAMETER | TYP | UNITS | CONDITION |
|---|---|---|---|
| Turn Ratio | 1:1 | — | ±2% |
| Insertion Loss | -1 | dB | 1-100 MHz |
| Return Loss | -16 | dB | 1-30 MHz |
| -12 | dB | 30-60 MHz | |
| 10 | dB | 60-80 MHz | |
| Differential to Common Rejection Ratio | -30 | dB | 1-50MHz |
| -20 | dB | 50-150 MHz | |
| Crosstalk | -35 | dB | 30 MHz |
| -30 | dB | 60 MHz | |
| Isolation | 1,500 | dB | HPOT |
The Media Independent Interface (MII) connects the PHYTER component to the Media Access Controller (MAC). The MAC may in fact be a discrete device, integrated into a microprocessor, CPU or FPGA. On the MII signals, the IEEE specification states the bus should be 68-Ω impedance. For space critical designs, the PHYTER family of products also support Reduced MII (RMII). For additional information on this mode of operation, refer to the AN-1405 DP83848 Single 10/100 Mb/s Ethernet Transceiver Reduced Media Independent Interface (RMII) Mode Application Report (SNLA076).
To reduce digital signal energy, 50-Ω series termination resistors are recommended for all MII output signals (including RXCLK, TXCLK, and RX Data signals.)
Although RMII and MII are synchronous bus architectures, there are a number of factors limiting signal trace lengths. With a longer trace, the signal becomes more attenuated at the destination and thus more susceptible to noise interference. Longer traces also act as antennas, and if run on the surface layer, can increase EMI radiation. If a long trace is running near and adjacent to a noisy signal, the unwanted signals could be coupled in as cross talk. It is recommended to keep the signal trace lengths as short as possible. Ideally, keep the traces under 6 inches. Trace length matching, to within 2 inches on the MII or RMII bus is also recommended. Significant differences in the trace lengths can cause data timing issues. As with any high speed data signal, good design practices dictate that impedance should be maintained and stubs should be avoided throughout the entire data path.
The following equations can be used to calculate the differential impedance of the board. For microstrip traces, a solid ground plane is needed under the signal traces. The ground plane helps keep the EMI localized and the trace impedance continuous. Because stripline traces are typically sandwiched between the ground/supply planes, they have the advantage of lower EMI radiation and less noise coupling. The trade off of using strip line is lower propagation speed.

Figure 7-5 Microstrip Impedance – Single-Ended

Figure 7-6 Stripline Impedance – Single-Ended

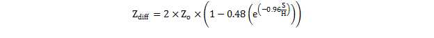
Figure 7-7 Microstrip Impedance – Differential

Figure 7-8 Stripline Impedance – Differential
Figure 7-9 Sample 100 Mb/s Waveform (MLT-3)
Figure 7-10 Sample 10 Mb/s Waveform
Place the 49.9-Ω,1% resistors, and 0.1-μF decoupling capacitor near the PHYTER TD+/- and RD+/- pins and via directly to the VDD plane.
Stubs should be avoided on all signal traces, especially the differential signal pairs. See Figure 7-11. Within the pairs (for example, TD+ and TD-) the trace lengths should be run parallel to each other and matched in length. Matched lengths minimize delay differences, avoiding an increase in common mode noise and increased EMI. See Figure 7-11.
Figure 7-11 Differential Signal Pair - Stubs
Ideally, there should be no crossover or via on the signal paths. Vias present impedance discontinuities and should be minimized. Route an entire trace pair on a single layer if possible. PCB trace lengths should be kept as short as possible.
Signal traces should not be run such that they cross a plane split. See Figure 7-12. A signal crossing a plane split may cause unpredictable return path currents and would likely impact signal quality as well, potentially creating EMI problems.
Figure 7-12 Differential Signal Pair-Plane Crossing
MDI signal traces should have 50 Ω to ground or 100-Ω differential controlled impedance. Many tools are available online to calculate this.
To meet signal integrity and performance requirements, at minimum a 4-layer PCB is recommended for implementing PHYTER components in end user systems. The following layer stack-ups are recommended for four, six, and eight-layer boards, although other options are possible.
Figure 7-13 PCB Stripline Layer Stacking
Within a PCB it may be desirable to run traces using different methods, microstrip vs. stripline, depending on the location of the signal on the PCB. For example, it may be desirable to change layer stacking where an isolated chassis ground plane is used. Figure 7-14 illustrates alternative PCB stacking options.
Figure 7-14 Alternative PCB Stripline Layer Stacking
Figure 7-15 Layout Example
The device VDD supply pins should be bypassed with low-impedance 0.1-μF surface mount capacitors. To reduce EMI, the capacitors should be places as close as possible to the component VDD supply pins, preferably between the supply pins and the vias connecting to the power plane. In some systems it may be desirable to add 0-Ω resistors in series with supply pins, as the resistor pads provide flexibility if adding EMI beads becomes necessary to meet system level certification testing requirements. (See Figure 7-14) It is recommended the PCB have at least one solid ground plane and one solid VDD plane to provide a low impedance power source to the component. This also provides a low impedance return path for non-differential digital MII and clock signals. A 10.0-μF capacitor should also be placed near the PHY component for local bulk bypassing between the VDD and ground planes.
Figure 7-16 VDD Bypass Layout