ZHCSLN5D december 2010 – september 2020 BQ24133
PRODUCTION DATA
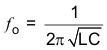
The IC provides internal loop compensation. With this scheme, the best stability occurs when the LC resonant frequency, fo, is approximately 15 kHz to 25 kHz for the IC.

Table 10-2 summarizes typical LC components for various charge currents.
| CHARGE CURRENT | 1 A | 2 A |
|---|---|---|
| Output inductor L | 6.8 µH | 3.3 µH |
| Output capacitor C | 10 µF | 20 µF |