ZHCSJP0A May   2019  – November 2019 ATL431LI-Q1 , ATL432LI-Q1

PRODUCTION DATA.  

  1. 特性
  2. 应用
  3. 说明
    1.     Device Images
      1.      简化原理图
  4. 修订历史记录
  5. Device Comparison Table
  6. Pin Configuration and Functions
    1.     Pin Functions
  7. Specifications
    1. 7.1 Absolute Maximum Ratings
    2. 7.2 ESD Ratings
    3. 7.3 Recommended Operating Conditions
    4. 7.4 Thermal Information
    5. 7.5 Electrical Characteristics
    6. 7.6 Typical Characteristics
  8. Parameter Measurement Information
    1. 8.1 Temperature Coefficient
    2. 8.2 Dynamic Impedance
  9. Detailed Description
    1. 9.1 Overview
    2. 9.2 Functional Block Diagram
    3. 9.3 Feature Description
    4. 9.4 Device Functional Modes
      1. 9.4.1 Open Loop (Comparator)
      2. 9.4.2 Closed Loop
  10. 10Applications and Implementation
    1. 10.1 Application Information
    2. 10.2 Typical Applications
      1. 10.2.1 Comparator With Integrated Reference
      2. 10.2.2 Design Requirements
      3. 10.2.3 Detailed Design Procedure
        1. 10.2.3.1 Basic Operation
          1. 10.2.3.1.1 Overdrive
        2. 10.2.3.2 Output Voltage and Logic Input Level
          1. 10.2.3.2.1 Input Resistance
      4. 10.2.4 Application Curves
      5. 10.2.5 Precision LED Lighting Current Sink Regulator
        1. 10.2.5.1 Design Requirements
        2. 10.2.5.2 Detailed Design Procedure
          1. 10.2.5.2.1 Basic Operation
            1. 10.2.5.2.1.1 Output Current Range and Accuracy
          2. 10.2.5.2.2 Power Consumption
      6. 10.2.6 Shunt Regulator/Reference
        1. 10.2.6.1 Design Requirements
        2. 10.2.6.2 Detailed Design Procedure
          1. 10.2.6.2.1 Programming Output/Cathode Voltage
          2. 10.2.6.2.2 Total Accuracy
          3. 10.2.6.2.3 Stability
          4. 10.2.6.2.4 Start-Up Time
        3. 10.2.6.3 Application Curves
      7. 10.2.7 Isolated Flyback with Optocoupler
        1. 10.2.7.1 Design Requirements
          1. 10.2.7.1.1 Detailed Design Procedure
            1. 10.2.7.1.1.1 ATL431LI-Q1 Biasing
            2. 10.2.7.1.1.2 Resistor Feedback Network
      8. 10.2.8 Adjustable Reference for Tracking LDO
        1. 10.2.8.1 Design Requirements
        2. 10.2.8.2 Detailed Design Procedure
          1. 10.2.8.2.1 External Capacitors
    3. 10.3 System Examples
  11. 11Power Supply Recommendations
  12. 12Layout
    1. 12.1 Layout Guidelines
    2. 12.2 Layout Example
  13. 13器件和文档支持
    1. 13.1 器件支持
      1. 13.1.1 器件命名规则
    2. 13.2 文档支持
      1. 13.2.1 相关文档
    3. 13.3 相关链接
    4. 13.4 接收文档更新通知
    5. 13.5 支持资源
    6. 13.6 商标
    7. 13.7 静电放电警告
    8. 13.8 Glossary
  14. 14机械、封装和可订购信息

封装选项

机械数据 (封装 | 引脚)
散热焊盘机械数据 (封装 | 引脚)
订购信息

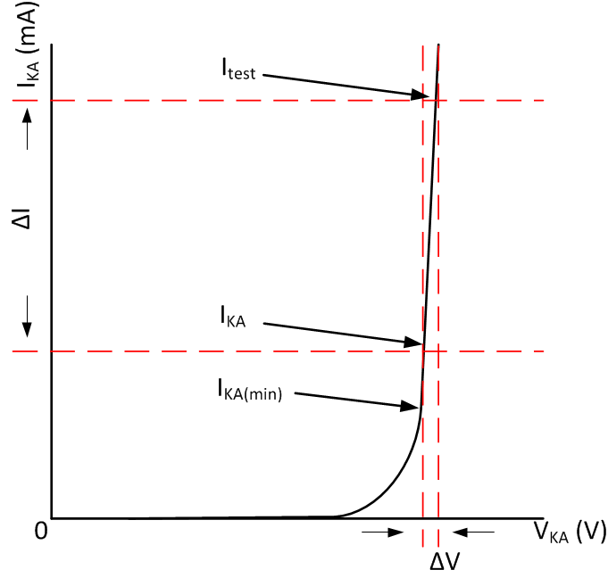
Dynamic Impedance

The dynamic impedance is defined as: ATL431LI-Q1 ATL432LI-Q1 Dynamic-Impedance-EQ1.gif. When the device is operating with two external resistors (see Figure 18), the total dynamic impedance of the circuit is given by: ATL431LI-Q1 ATL432LI-Q1 Dynamic-Impedance-EQ2.gif, which is approximately equal to ATL431LI-Q1 ATL432LI-Q1 Dynamic-Impedance-EQ3.gif.

The VKA of the ATL431LI-Q1 can be affected by the dynamic impedance. The ATL431LI-Q1 test current Itest for VKA is specified in the Electrical Characteristics. Any deviation from Itest can cause deviation on the output VKA. Figure 20 shows the effect of the dynamic impedance on the VKA.

ATL431LI-Q1 ATL432LI-Q1 Dynamic-Impedance.gifFigure 20. Dynamic Impedance