ZHCSCC6D May   2013  – March 2018 ADS7250 , ADS7850 , ADS8350

PRODUCTION DATA.  

  1. 特性
  2. 应用范围
  3. 说明
    1.     功能方框图
  4. 修订历史记录
  5. Pin Configuration and Functions
    1.     Pin Functions
  6. Specifications
    1. 6.1  Absolute Maximum Ratings
    2. 6.2  ESD Ratings
    3. 6.3  Recommended Operating Conditions
    4. 6.4  Thermal Information
    5. 6.5  Electrical Characteristics: All Devices
    6. 6.6  Electrical Characteristics: ADS7250
    7. 6.7  Electrical Characteristics: ADS7850
    8. 6.8  Electrical Characteristics: ADS8350
    9. 6.9  Timing Requirements
    10. 6.10 Switching Characteristics
    11. 6.11 Typical Characteristics: ADS7250
    12. 6.12 Typical Characteristics: ADS7850
    13. 6.13 Typical Characteristics: ADS8350
    14. 6.14 Typical Characteristics: All Devices
  7. Detailed Description
    1. 7.1 Overview
    2. 7.2 Functional Block Diagram
    3. 7.3 Feature Description
      1. 7.3.1 Reference
      2. 7.3.2 Analog Input
        1. 7.3.2.1 Analog Input Full-Scale Range
      3. 7.3.3 ADC Transfer Function
    4. 7.4 Device Functional Modes
      1. 7.4.1 Serial Interface
      2. 7.4.2 Short-Cycling, Frame Abort, and Reconversion Feature
  8. Application and Implementation
    1. 8.1 Application Information
    2. 8.2 Typical Applications
      1. 8.2.1 DAQ Circuit: Maximum SINAD for a 10-kHz Input Signal at 750-kSPS Throughput
        1. 8.2.1.1 Design Requirements
        2. 8.2.1.2 Detailed Design Procedure
          1. 8.2.1.2.1 ADC Reference Driver
          2. 8.2.1.2.2 ADC Input Driver
            1. 8.2.1.2.2.1 Input Amplifier Selection
            2. 8.2.1.2.2.2 Antialiasing Filter
        3. 8.2.1.3 Application Curve
      2. 8.2.2 DAQ Circuit: Maximum SINAD for a 100-kHz Input Signal at 750-kSPS Throughput
        1. 8.2.2.1 Design Requirements
        2. 8.2.2.2 Detailed Design Procedure
          1. 8.2.2.2.1 ADC Reference Driver
          2. 8.2.2.2.2 ADC Input Driver
        3. 8.2.2.3 Application Curve
  9. Power Supply Recommendations
  10. 10Layout
    1. 10.1 Layout Guidelines
    2. 10.2 Layout Example
  11. 11器件和文档支持
    1. 11.1 文档支持
      1. 11.1.1 相关文档
    2. 11.2 相关链接
    3. 11.3 接收文档更新通知
    4. 11.4 社区资源
    5. 11.5 商标
    6. 11.6 静电放电警告
    7. 11.7 Glossary
  12. 12机械、封装和可订购信息

封装选项

机械数据 (封装 | 引脚)
散热焊盘机械数据 (封装 | 引脚)
订购信息

Input Amplifier Selection

Selection criteria for the input amplifiers is highly dependent on the input signal type and the performance goals of the data acquisition system. Some key amplifier specifications to consider while selecting an appropriate amplifier to drive the inputs of the ADC are:

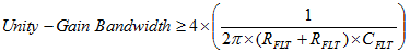
  • Small-signal bandwidth. Select the small-signal bandwidth of the input amplifiers to be as high as possible after meeting the power budget of the system. Higher bandwidth reduces the closed-loop output impedance of the amplifier, thus allowing the amplifier to more easily drive the low cutoff frequency RC filter at the ADC inputs. Higher bandwidth also minimizes the harmonic distortion at higher input frequencies. In order to maintain the overall stability of the input driver circuit, the amplifier bandwidth should be selected as described in Equation 7:
  • Equation 7. ADS8350 ADS7850 ADS7250 apps_eqn_ugb_bas547.gif
  • Noise. Noise contribution of the front-end amplifiers should be as low as possible to prevent any degradation in SNR performance of the system. As a rule of thumb, to ensure that the noise performance of the data acquisition system is not limited by the front-end circuit, the total noise contribution from the front-end circuit should be kept below 20% of the input-referred noise of the ADC. Noise from the input driver circuit is band-limited by designing a low cutoff frequency RC filter, as explained in Equation 8.
  • Equation 8. ADS8350 ADS7850 ADS7250 apps_eqn_noise_bas547.gif

    where

    • V1 / f_AMP_PP is the peak-to-peak flicker noise in µVRMS,
    • en_RMS is the amplifier broadband noise density in nV/√Hz,
    • f–3dB is the 3-dB bandwidth of the RC filter, and
    • NG is the noise gain of the front-end circuit, which is equal to '1' in a buffer configuration.
  • Distortion. Both the ADC and the input driver introduce nonlinearity in a data acquisition block. As a rule of thumb, to ensure that the distortion performance of the data acquisition system is not limited by the front-end circuit, the distortion of the input driver should be at least 10 dB lower than the distortion of the ADC, as shown in Equation 9.
  • Equation 9. ADS8350 ADS7850 ADS7250 apps_eqn_thd_bas547.gif
  • Settling Time. For dc signals with fast transients that are common in a multiplexed application, the input signal must settle to the desired accuracy at the inputs of the ADC during the acquisition time window. This condition is critical to maintain the overall linearity performance of the ADC. Typically, the amplifier data sheets specify the output settling performance only up to 0.1% to 0.001%, which may not be sufficient for the desired accuracy. Therefore, the settling behavior of the input driver should always be verified by TINA™-SPICE simulations before selecting the amplifier.