ZHCS862E March   2012  – May 2017 TPS62125

PRODUCTION DATA.  

  1. 特性
  2. 应用
  3. 说明
  4. 修订历史记录
  5. Pin Configuration and Functions
  6. Specifications
    1. 6.1 Absolute Maximum Ratings
    2. 6.2 ESD Ratings
    3. 6.3 Recommended Operating Conditions
    4. 6.4 Thermal Information
    5. 6.5 Electrical Characteristics
    6. 6.6 Typical Characteristics
  7. Detailed Description
    1. 7.1 Overview
    2. 7.2 Functional Block Diagram
    3. 7.3 Feature Description
      1. 7.3.1 Undervoltage Lockout
      2. 7.3.2 Enable Comparator (EN / EN_hys)
      3. 7.3.3 Power Good Output and Output Discharge (PG)
      4. 7.3.4 Thermal Shutdown
    4. 7.4 Device Functional Modes
      1. 7.4.1 Pulse Width Modulation (PWM) Operation
      2. 7.4.2 Power-Save Mode
      3. 7.4.3 100% Duty Cycle Low Dropout Operation
      4. 7.4.4 Soft-Start
      5. 7.4.5 Short-Circuit Protection
  8. Application and Implementation
    1. 8.1 Application Information
    2. 8.2 Typical Application
      1. 8.2.1 Design Requirements
      2. 8.2.2 Detailed Design Procedure
        1. 8.2.2.1 Output Voltage Setting
        2. 8.2.2.2 Enable Threshold and Hysteresis Setting
        3. 8.2.2.3 Power Good (PG) Pullup and Output Discharge Resistor
        4. 8.2.2.4 Output Filter Design (Inductor and Output Capacitor)
        5. 8.2.2.5 Inductor Selection
        6. 8.2.2.6 Output Capacitor Selection
        7. 8.2.2.7 Input Capacitor Selection
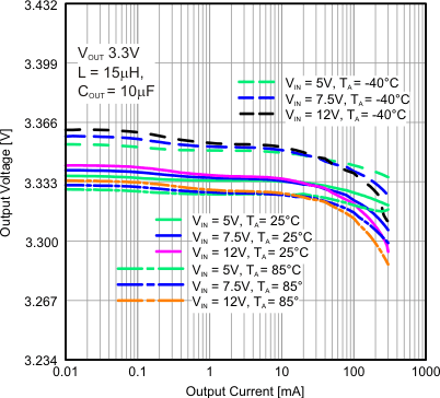
      3. 8.2.3 Application Curves
    3. 8.3 System Examples
      1. 8.3.1 TPS62125 5-V Output Voltage Configuration
      2. 8.3.2 TPS62125 5-V VOUT
      3. 8.3.3 TPS62125 Operation From a Storage Capacitor Charged From a 0.5 mA Current Source
      4. 8.3.4 5 V to -5 V Inverter Configuration
  9. Power Supply Recommendations
  10. 10Layout
    1. 10.1 Layout Guidelines
    2. 10.2 Layout Example
  11. 11器件和文档支持
    1. 11.1 器件支持
      1. 11.1.1 Third-Party Products Disclaimer
    2. 11.2 接收文档更新通知
    3. 11.3 社区资源
    4. 11.4 商标
    5. 11.5 静电放电警告
    6. 11.6 Glossary
  12. 12机械、封装和可订购信息

特性

  • 宽输入电压范围:3V 至 17V
  • 具有可调节阈值和迟滞的输入电源电压监控器 (SVS),仅消耗 6µA 静态电流
  • 1.2V 至 10V 宽输出电压范围
  • 静态电流典型值为 13µA
  • 关断电流典型值为 350nA
  • 无缝转换节能模式
  • DCS-Control™机制
  • 低输出纹波电压
  • 高达 1MHz 的开关频率
  • 在 VIN和 VOUT范围内的最高效率
  • 与 TPS62160/70 引脚到引脚兼容
  • 100% 占空比模式
  • 电源正常开漏输出
  • 输出放电功能
  • 2mm x 2mm、8 引脚晶圆级小外形无引线 (WSON) 小型封装

应用

  • 嵌入式处理
  • 由 4 节碱性电池、1 至 4 节锂离子电池供电的 应用
  • 9V 至 15V 待机电源
  • 能量采集
  • 逆变器(负 VOUT

说明

TPS62125 器件是一款高效同步降压转换器,针对低功耗/超低功耗 应用 进行了优化,输出电流高达 300mA。该器件的宽输入电压范围为 3V 至 17V,可支持由 4 节碱性电池、1 至 4 节锂离子电池串联配置以及 9V 至 15V 电压供电的 应用的输出电流传感电阻器和运算放大器而得以实现。该器件具备一个精密的低功耗使能比较器,其可用作输入电源电压监视器 (SVS),以满足系统特定的上电和断电要求。该使能比较器仅消耗 6µA 静态电流并 具备 典型值为 1.2V 的精确阈值以及可调节迟滞。借助此特性,该转换器能够从由太阳能板或者电流回路等高阻抗源供电的储能电容中提取电能,以生成电源轨。凭借其 DCS-Control 机制,该转换器可在节能模式下运行,从而在整个负载电流范围内保持最高效率。在轻载条件下,该转换器能够以脉频调制 (PFM) 模式运行并在负载电流较大时自动无缝转换至脉宽调制 (PWM) 模式。该 DCS-Control™机制已针对 PFM 模式下的低输出纹波电压进行了优化,从而最大限度地降低输出噪声 并 获得优异的交流负载稳压性能。开漏电源正常输出表示正在对输出电压进行稳压。

器件信息(1)

器件型号 封装 封装尺寸(标称值)
TPS62125 WSON (8) 2.00mm x 2.00mm
  1. 如需了解所有可用封装,请参阅数据表末尾的可订购产品附录。

典型应用电路原理图

TPS62125 TPS62125_app_3.3V.gif

效率与输入电压间的关系

TPS62125 effvs_VIN_3.3V_VLF302515_15uH.gif