ZHCA803B February 2018 – September 2024 ADS8860 , INA826 , OPA192
| 输入 | ADC 输入 | 数字输出 ADS8860 |
|---|---|---|
| -10mV | Out = 0.2V | 0A3DH 或 262110 |
| 5mV | Out = 4.8V | F5C3H 或 6291510 |
| AVDD | DVDD | Vref_INA | Vref | Vcc | Vee |
|---|---|---|---|---|---|
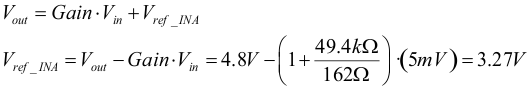
| 5.0V | 3V | 3.277V | 5.0V | 15V | -15V |
仪表放大器是将低电平传感器输出转换为高电平信号以便驱动 ADC 的常用器件。通常情况下,仪表放大器经过优化而具有低噪声、低失调电压和低温漂。遗憾的是,许多仪表放大器的带宽可能不足以在最大采样速率下实现良好的 ADC 电荷反冲趋稳。本文档介绍如何将宽带宽缓冲器与仪表放大器结合使用来实现高采样速率下的良好趋稳效果。此外,许多仪表放大器针对高压电源进行了优化,并且可能需要将高电压输出(即 ±15V)连接到较低电压的放大器(例如 5V)。该设计展示了在仪表放大器超出运算放大器输入范围的情况下如何使用限流电阻器来保护放大器免受电气过载的影响。一份相关的电路指导手册中介绍了一种不采用宽带宽缓冲器的简化方法(采用仪表放大器驱动开关电容器 SAR 电路设计)。与缓冲式设计相比,这种简化方法的采样速率受限。请注意,以下电路显示了一个桥式传感器,但此方法可用于多种不同的传感器。
该电路实施方案适用于模拟输入模块、心电图 (ECG)、脉动式血氧计、实验室仪表 和轨道交通控制单元 等应用。

| 规格 | 计算值 | 仿真值 |
|---|---|---|
| 采样速率 | 1Msps | 1Msps,趋稳至 –44µV |
| 失调电压(ADC 输入) | 40μV × 306.7 = 12.27mV | 16mV |
| 温漂 | (0.4μV/°C) × 306.7 = 123μV/°C | 不适用 |
| 噪声 | 978μV | 586μVRMS |





下图展示了 –5mV 至 +15mV 输入的线性输出响应。请观看使用仪表放大器时确定 SAR ADC 的线性范围,了解有关该主题的详细理论。在 INA826 输出超出运算放大器输入范围的情况下,ESD 二极管将会导通并限制输入。电阻器 R3 通过限制输入电流来保护放大器免受损坏(请参阅仪表放大器和运算放大器之间的过压保护滤波器 部分)。运算放大器输出在 ADS8860 的绝对最大额定值范围内 (–0.3V < VIN < REF +0.3V)。

使用 OPA320 缓冲器 (20MHz) 的原因是它能够响应 ADC8860 电荷反冲产生的快速瞬变。该类型的仿真表明已正确选择采样保持反冲电路。请参阅 SAR ADC 前端元件选择简介,了解有关此主题的详细理论。

请使用简化的噪声计算方法进行粗略估算。我们忽略来自 OPA192 的噪声,因为仪表放大器处于高增益状态,所以仪表放大器的噪声占主导地位。

请注意,计算结果与仿真结果之间匹配良好。有关放大器噪声计算的详细理论,请参阅 TI 高精度实验室 - 运算放大器:噪声 4;有关数据转换噪声,请参阅计算 ADC 系统的总噪声。

INA826 和 OPA320 之间的滤波器有两个用途。该滤波器可以保护 OPA320 免受过压影响,并可用作噪声滤波器或抗混叠滤波器。调整 INA826 增益,确保正常情况下输出位于 OPA320 范围内(即 0V 至 5V)。因此,通常不会看到施加到 OPA320 输入端的过压信号。但是,在加电期间或在传感器断开连接的情况下,INA826 输出端可能会处于任一电源轨(即 ±15V)。在过压情况下,电阻器 (R3) 会限制进入 OPA320 的电流以实现保护。OPA320 上的内部 ESD 二极管在过压事件期间会导通,并将过压信号引导至正电源或负电源。在以下示例中,过压信号引导至正电源,且瞬态电压抑制器(D1,SMAJ5.0A)将会开启以吸收电流。请注意,该电阻器会调整以便将电流限制到 OPA320 绝对最大输入电流 (10mA) 范围内。请参阅 TI 高精度实验室 - 运算放大器:电气过载 (EOS),了解有关该主题的详细理论。


下图显示了常用的仪表放大器输入滤波器。Cdif 过滤差分噪声,而 Ccm1 和 Ccm2 过滤共模噪声。请注意,建议满足 Cdif ≥ 10Ccm 条件。这样可以防止共模噪声由于组件容差而转换为差分噪声。以下滤波器旨在实现 15kHz 的差分截止频率。


| 器件 | 主要特性 | 链路 | 类似器件 |
|---|---|---|---|
| ADS8860 | 16 位分辨率,SPI,1Msps 采样速率,单端输入,Vref 输入范围为 2.5V 至 5.0V。 | 具有单端输入、SPI 和菊花链的 16 位、1MSPS、单通道 SAR ADC | 精密 ADC |
| OPA192 | 8kHz 带宽,轨到轨输出,450nA 电源电流,单位增益稳定 | 高电压、轨到轨输入/输出、5µV、0.2µV/°C、精密运算放大器 | 精密运算放大器 (Vos<1mV) |
| INA826 | 带宽 1MHz (G=1),低噪声 18nV/rtHz,低失调电压 ±40µV,低温漂 ±0.4µV/ºC,低增益漂移 0.1ppm/ºC。(典型值) | 200μA 电源电流、36V 电源精密仪表放大器 | 仪表放大器 |
主要文件链接
德州仪器 (TI),SBAC184 的源文件,软件支持