ZHCA798B January 2018 – September 2024 ADS7044 , ADS7047 , ADS7054 , ADS7057
| 输入 | ADC 输入 | 数字输出 ADS7057 |
|---|---|---|
| Vin 最小值 = –3.3V | AINP = 0V AINM = 3.3V |
2000H 819210 |
| Vin 最大值 = 3.3V | AINP = 3.3V AINM = 0V |
1FFFH 819110 |
| AVDD | GND | DVDD |
|---|---|---|
| 3.3V | 0V | 1.8V |
本设计旨在演示如何将单极、单端信号转换成单极、全差分信号并驱动差分 ADC(有关这些信号及其他信号类型的更多信息,请参阅标题为 SAR ADC 输入类型 的 TI 高精度实验室 培训)。与单端器件相比,全差分 ADC 具有 2 倍的动态范围,这使得转换器的交流性能得以提高。许多常见系统(如声纳接收器、流量计 和电机控制)均可受益于差分 ADC 较高的性能。此设计中的组件选择公式和说明可根据系统规格和需求进行定制。有关使用双极输入的类似设计的更多信息,请参阅标题为对双极信号采用运算放大器和 FDA 进行单端到差分信号转换 的电路指导手册。
| 规格 | 计算值 | 仿真值 |
|---|---|---|
| 瞬态 ADC 输入趋稳 (250ksps) | < 0.5 × LSB = 201µV | 144.8µV |
| 调节信号范围 (250ksps) | > 99% ADC FSR = > 6.53V | 6.60V |
| 噪声 | 43.8µV/√Hz | 44.3µV/√Hz |





运算放大器用于保护传感器免遭 ADC 连接或断开采样电容器时发生的任何电荷反冲。若传感器输出阻抗高,则可能不需要该放大器。基于传感器采用负电源轨运行的假设,OPA320 和 THS4551 均使用负电源轨;这样也可以通过提供满量程输入范围来实现 ADC 的最高性能。
下图所示为 0V - 3.3V 输入的仿真输出。模拟前端的线性输出为 ±3.3V,与该 ADC 的满量程 (FSR) (AVDD = 3.3V) 相匹配。
模拟前端的带宽在 0dB 的增益(线性增益为 1)下仿真为 4.12MHz。此带宽允许 ADC 的输入充分地向 250ksps 输入信号趋稳。
以下仿真显示了 ADC 采样保持电容器向 3.3V 直流输入信号趋稳的情况。该仿真结果表明,模拟前端能够以较大的阶跃输入(从 0V 至 3.3V)驱动 ADC,因此可在分配的采集时间 (95ns) 内稳定在 ½ LSB(约 200µV)以内。请参阅 SAR ADC 前端元件选择简介 了解有关此主题的详细理论,并使用此设计结尾的链接下载这些仿真文件。
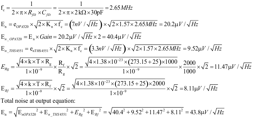
本部分概要介绍简化的噪声计算方法,将粗略估算的结果与仿真结果进行比较。该计算中包含电阻器噪声,因为它是系统整体噪声的重要部分。请注意,通过使用较小电阻值的电阻器可以降低电阻器噪声,但会以增加反馈网络的功耗为代价。
注意,计算结果与仿真结果匹配良好。请参阅 TI 高精度实验室 - ADC 培训视频系列,了解有关此主题的详细理论。
| 器件 | 主要特性 | 链接 | 类似器件 |
|---|---|---|---|
| ADS7057 | 14 位,2.5Msps,全差分输入,SPI,2.25mm2 封装 | 14 位 2.5MSPS 差分输入小型低功耗 SAR ADC | 精密 ADC |
| THS4551 | 150MHz,3.3nV/√Hz 输入电压噪声,全差分放大器 | 低噪声精密 150MHz 全差分放大器 | 全差分放大器 |
| OPA320 | 精密,零交叉,20MHz,0.9pA Ib,RRIO,运算放大器 | 零交叉、20MHz、0.9pA Ib、RRIO、CMOS 精密运算放大器 | 运算放大器 |
ADS7057 使用 AVDD 作为参考输入端。使用高 PSRR LDO(如 TPS7A47)作为电源。
德州仪器 (TI),SBAA264 的设计文件,SBAC188 软件支持