SPRUJ17I March 2022 – August 2025 AM2631 , AM2631-Q1 , AM2632 , AM2632-Q1 , AM2634 , AM2634-Q1
Building on the 4-bit fractional divider M (BRSR[27:24], the superfractional divider uses an additional 3-bit modulating value, illustrated in Table 13-290. The sync field (0x55), the identifier field, and the response field can all be seen as 8-bit data bytes flanked by a start bit and a stop bit. The bits with a 1 in the table have an additional VCLK period added to the Tbit. In LIN commander mode, bit modulation applies to sync field + identifier field + response field. In LIN responder mode, bit modulation applies to identifier field + response field.
| BRSR[30:28] | Start Bit | D[0] | D[1] | D[2] | D[3] | D[4] | D[5] | D[6] | D[7] | Stop Bit |
|---|---|---|---|---|---|---|---|---|---|---|
| 0h | 0 | 0 | 0 | 0 | 0 | 0 | 0 | 0 | 0 | 0 |
| 1h | 1 | 0 | 0 | 0 | 0 | 0 | 0 | 0 | 1 | 0 |
| 2h | 1 | 0 | 0 | 0 | 1 | 0 | 0 | 0 | 1 | 0 |
| 3h | 1 | 0 | 1 | 0 | 1 | 0 | 0 | 0 | 1 | 0 |
| 4h | 1 | 0 | 1 | 0 | 1 | 0 | 1 | 0 | 1 | 0 |
| 5h | 1 | 1 | 1 | 0 | 1 | 0 | 1 | 0 | 1 | 1 |
| 6h | 1 | 1 | 1 | 0 | 1 | 1 | 1 | 0 | 1 | 1 |
| 7h | 1 | 1 | 1 | 1 | 1 | 1 | 1 | 0 | 1 | 1 |
The baud rate varies over a LIN data field to average according to the BRSR[30:28] value by a d fraction of the peripheral internal clock: 0<d<1.
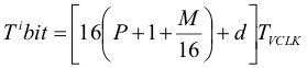
The instantaneous bit time is expressed in terms of TVCLK as follows:
For all P other than 0, and all M and d (0 or 1),

For P = 0, Tbit = 32TVCLK
The averaged bit time is expressed in terms of TVCLK as follows:
For all P other than 0, and all M and d (0 < d <1),

For P = 0, Tbit = 32TVCLK