KOKA015A June 2020 – November 2022 LM5156 , LM5156-Q1 , LM51561 , LM51561-Q1 , LM51561H , LM51561H-Q1 , LM5156H , LM5156H-Q1
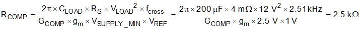
RCOMP 값은 제어 루프의 교차 주파수에 직접 영향을 미칩니다. 교차 주파수가 높을수록 제어 루프가 과도 조건에 더 빨리 반응합니다. 원하는 루프 크로스오버 주파수인 2.51kHz를 아는 상태에서 Equation25를 사용하여 RCOMP를 계산합니다.

여기서
RCOMP는 2.49kΩ으로 선택합니다. RCOMP 저항 값을 줄이면 크로스오버 주파수가 낮아지지만 제어 루프가 지정된 공급 전압 범위에서 안정적으로 유지되도록 하는 데 도움이 됩니다.