ZHCSIQ7B August 2018 – October 2024 UCC28950 , UCC28951
PRODUCTION DATA
Inductor LOUT is designed for 20% inductor ripple current (∆ILOUT) calculated in Equation 60 and Equation 61:


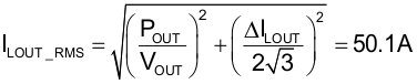
Calculate output inductor RMS current (ILOUT_RMS) using Equation 62:

A 2µH inductor from Vitec Electronics Corporation, part number 75PR8108, is suitable for this design. The inductor has the following specifications:

The output inductor DC resistance is:

Estimate output inductor losses (PLOUT) using Equation 65 and recalculate the power budget using Equation 66. Note PLOUT is an estimate of inductor losses that is twice the copper loss. Note this may vary based on magnetic manufactures. It is advisable to double check the magnetic loss with the magnetic manufacture.

