ZHCSLD8G April 1999 – April 2025 UCC2813-0 , UCC2813-1 , UCC2813-2 , UCC2813-3 , UCC2813-4 , UCC2813-5 , UCC3813-0 , UCC3813-1 , UCC3813-2 , UCC3813-3 , UCC3813-4 , UCC3813-5
PRODUCTION DATA
可以通过 方程式 10 来计算 MOSFET 的峰值电流。

MOSFET 峰值电流为 1.425A。
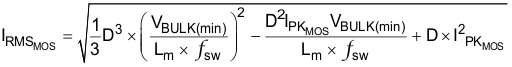
MOSFET 的 RMS 电流可如 方程式 11 所示计算。

其中

MOSFET RMS 电流为 0.75A。当导通电阻小于 0.9Ω 时,选择 IRFB9N65A 作为初级侧 MOSFET。
二极管峰值电流是次级侧的反射 MOSFET 峰值电流。

二极管电压应力是输出电压加上反射的输入电压。二极管上的电压应力可以通过 方程式 14 计算。

考虑到振铃电压尖峰和电压降额,二极管的额定电压必须高于 50V。
二极管平均电流是输出电流 (4A),因此选择了额定电压为 60V,平均电流能力为 40A 的 48CTQ060-1。