ZHCSX55A October 2024 – May 2025 BQ51013C
PRODUCTION DATA
请参考 PDF 数据表获取器件具体的封装图。
如图 9-1 所示,电容器 C1(串联)和 C2(并联)与接收器线圈构成双谐振电路。这两个电容器的大小必须符合 WPC v1.3 规范。图 9-2 展示了双谐振电路的等效电路:
图 9-2 带有接收器线圈的双谐振电路WPC v1.3 规范第 1 卷中的电源接收器设计要求详细强调了尺寸要求。总之,接收器设计人员需要使用标准测试装置进行电感测量,如图 9-3 所示:
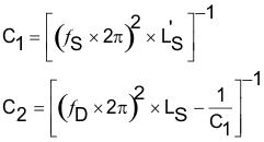
图 9-3 用于电感测量 Ls’ 的 WPC v1.3 接收器线圈测试装置(摘自《无线电源传输系统说明》第 1 卷:低功耗,第 1 部分“接口定义”,版本 1.1)主屏蔽层为 TDK Corp. 的 50mm × 50mm × 1mm 铁氧体材料 PC44。间隙 dZ 为 3.4mm。由于接收器线圈将放入最终系统(例如,如果系统需要,必须包含后盖和电池),因此接收器线圈将放置在此表面之上,电感将在 1V RMS 和 100kHz 频率下进行测量。此测量称为 Ls’。在不使用图 9-3 中所示测试装置的情况下重复相同的测量。此测量称为 Ls 或自由空间电感。然后可以使用方程式 5 计算每个电容器:

其中
在计算 C2 之前,必须先选择 C1。
品质因数必须大于 77,并且可以通过方程式 6 来确定:

其中
所有其他常数在上文中已定义。
对于此应用,所选线圈电感 Ls 为 11µH,而 Ls’ 为 16µH,直流电阻为 191mΩ。使用方程式 5,C1 计算结果为 158.3nF(范围为 144nF 至 175nF)。要获得 3 个并联电容器的理想解决方案,所选电容器分别为 68nF、47nF 和 39nF,总电容为 154nF,完全在所需范围内。使用相同的公式(以及选定的 C1 值),C2 计算结果为 2.3nF。使用 2.2nF 和 100pF 的电容器很容易满足要求。C1 和 C2 电容器的最小额定电压必须为 25V。求解品质因数(方程式 6 中的 Q),得到一个大于 500 的值。
表 9-1 列出了建议的 RX 线圈。